CONTACT: Yao Di, e-mail: yd20050@mail.sdu.edu.cn
Abstract: The diffusion of industrial robot technology has coincided with increasing divergence in firms’ market shares, potentially leading to enhanced market power and shifts in the distribution of factor income. This paper investigates the impact of industrial robot adoption on firms’ labor income share and explores the underlying mechanisms, with particular attention to the rise of superstar firms. The findings suggest that, overall, the use of industrial robots contributes to an increase in labor’s income share, reflecting a generally favorable trend for labor’s position in primary income distribution. This effect, however, is markedly heterogeneous across different types of firms, regions, and industries. A significant concern is that robot adoption strengthens firms’ relative market power within industries, fueling the emergence of superstar firms. These firms jointly influence labor income share through both a competition effect and a demonstration effect: the former is the main cause of declining labor shares, while the latter introduces a new channel through which labor’s share is further reduced. Although antitrust policies can help improve labor’s income share, they are not well-suited to curbing the market power expansion driven by industrial robot adoption. Thus, the concern over superstar firms’ suppression of labor income remains. Amid the intensifying trend of “machines replacing humans”, this paper offers empirical insights into how to address the distributional implications brought about by the rise of superstar firms.
Keywords: Industrial robot adoption; Labor income share; Superstar firms; Competition effect; Demonstration effect
1. Introduction
The Report to the 20th National Congress of the Communist Party of China (CPC) in 2022 emphasized the need to increase the share of residents’ income in national income distribution and raise the proportion of labor compensation in primary distribution. As a core technology in the new wave of scientific and technological revolution, industrial robots are accelerating China’s transition toward an intelligent economy, but they also exert significant influence on the distribution of factor income. According to data from the International Federation of Robotics (IFR), China has ranked among the top five countries globally in industrial robot installations since 2006, and became the world leader in 2013. Notably, the adoption of industrial robots often requires substantial upfront investment, which only financially strong firms—typically industry leaders, especially superstar firms—can afford.
While robot adoption enhances productivity through more efficient resource allocation, it also contributes to widening disparities in firm size and market competitiveness. This can lead to a rapid increase in market power among a few superstar firms, giving rise to a “superstar effect” that may negatively impact the labor income share (Autor et al., 2020). In light of this, the paper investigates the impact of industrial robot adoption on firms’ labor income share and its underlying mechanisms, focusing on the role of superstar firms. The goal is to provide micro-level empirical insights and policy recommendations to support more equitable income distribution in China.
Existing literature has explored the determinants of labor income share from multiple perspectives. At the macro level, scholars have identified capital prices, changes in industrial structure, macroeconomic fluctuations, and the global division of labor as key factors influencing shifts in labor income share (Liu et al., 2022).At the micro level, both Chinese and international researchers have examined the impact of factors such as capital deepening, labor protection policies, and tax burdens (Smith et al., 2022; Wang, 2023; Qian & Shi, 2024). A growing body of research also focuses on how labor income share evolves in imperfectly competitive markets. One widely supported view is that increasing market dominance by a few superstar firms leads to a decline in firms’ labor income share. For instance, based on Chinese industrial enterprise data from 1998 to 2005, the research of Bai et al. (2008), found that greater market concentration—reflecting rising monopolistic power— results in a decline in the labor income share. In a subsequent study based on industrial sector data from 1995 to 2003 , Bai & Qian (2009) ,found that market monopolization could explain 30% of the decline in labor income share. Similar conclusions have been reached by Wen & Lu (2018), Xiao et al. (2023), and others. These findings suggest that the rise of superstar firms exacerbates inequality in the distribution of factor income, giving rise to the so-called “superstar effect” (Autor et al., 2020).
Given that intensified monopolization by a few superstar firms can significantly reduce firms’ labor income share and exacerbate inequality in factor income distribution, scholars have investigated the underlying causes of the “superstar effect” from both exogenous environmental and endogenous technological perspectives.
From the perspective of external environmental factors, industrial policy guidance plays a significant role in economic development and the formation of monopolies. Blanchard et al. (1997) identified administrative regulation as a key contributor to monopolistic structures, which in turn worsen income inequality. Jia & Sun (2019) similarly argued that administrative monopolies are one of the drivers of widening income gaps. Their numerical simulations suggest that fostering a competitive environment and eliminating monopolies—especially administrative ones—are essential to achieving both equity and efficiency. Based on data from Chinese industrial enterprises from 1998 to 2007, Jian et al. (2016) found that imperfect competition in product markets generates monopoly rents, most of which are captured as corporate profits, thereby reducing the labor income share. They concluded that such imperfect competition is primarily caused by administrative monopolies. Industrial policy guidance—especially in the form of policy preferences to large enterprises, particularly state-owned ones—is a major contributing factor (Wang et al., 2017).
Regarding technological factors, although Bai & Qian (2009) found that capital deepening explains only about 9% of imperfect competition in product markets—suggesting that capital-biased technological progress is not the primary cause—recent advancements in technologies such as industrial robotics have shifted scholarly attention toward the monopolistic effects of technology on labor income share. Current literature increasingly emphasizes the critical role of technology in both the emergence and persistence of superstar firms. For example, Chen & Qin (2022) found that the adoption of industrial robots generates monopoly rents, enabling firms to earn excess profits. Similarly, Autor et al. (2020), using U.S. industry data, found that technologically more innovative sectors exhibit faster rising market concentration and greater declines in labor income share. This is largely due to the falling costs of adopting new technologies and the resulting economies of scale, which strengthen the “superstar effect” and contribute to the erosion of labor’s share in income.
A review of existing literature reveals that research by Chinese academics primarily investigated the causes underlying the decline in labor income share resulting from industry market concentration through the lens of government intervention, while paying scant attention to technological factors. In contrast, international studies—most notably Autor et al. (2020)—have begun to examine the role of technology in explaining declining labor income shares in Western economies such as the United States. However, these studies have yet to focus specifically on frontier technologies like industrial robots. Unlike previous waves of technological progress, industrial robotics fundamentally transforms production processes and has emerged as a strategic technology at the forefront of the new scientific and industrial revolution. As such, it is expected to drive more profound changes in market structure and to have far-reaching implications for the distribution of factor income.
Differing from existing literature, this paper, from a micro-level firm perspective in China, investigates whether industrial robot technology leads to the concentration of industry market share among a few superstar firms, thereby inducing a “superstar effect” that causes a sustained decline in firms’ labor income share. We also delve into the deeper underlying logic behind this conclusion. Simultaneously, in light of the “superstar effect” potentially triggered by industrial robot adoption and its impact on factor income distribution, it is imperative to proactively refine counter-measures. While legal policies, exemplified by the Anti-Monopoly Law of the People’s Republic of China (“Anti-Monopoly Law”), have been proven effective in addressing the decline in labor income share caused by unfair competition (Xiao et al., 2023), the existing literature has not explored whether the Anti-Monopoly Law can effectively address the “superstar effect” arising from industrial robot adoption, especially in the context of strong national support for firms’ intelligent transformation and upgrading.
Therefore, this paper utilizes Chinese industrial enterprise data from 2000-2015 to examine the impact and formation mechanisms of industrial robot adoption on labor income share from the perspective of superstar firms. The study reveals that industrial robot adoption, overall, exhibits a “beneficial” effect on firms’labor income share. However, an analysis of the mechanisms from the superstar firm perspective uncovers that industrial robot adoption also triggers a “superstar effect”, intensifying the growing concern of a declining labor income share. A deeper logical analysis of the formation of this underlying concern reveals that the “competition effect” of superstar firms applying industrial robots is the primary cause, while the “demonstration effect” is a newly emerging and increasingly prominent factor. Furthermore, by constructing a quasi-natural experiment on the implementation of the Anti-Monopoly Law, we find that the current Anti-Monopoly Law cannot yet effectively mitigate the adverse effects brought about by industrial robot adoption.
This paper offers several potential marginal contributions to the existing literature:
(1) In contrast to previous studies that primarily examine the impact of industrial robot adoption on labor income share through conventional channels, this paper approaches the issue from the perspective of superstar firms. It investigates whether the adoption of industrial robots yields overall benefits or conceals underlying concerns related to the emergence of the “superstar effect”. This represents a meaningful attempt to explore how rapid technological advancement affects factor income distribution.
(2) It further reveals the underlying mechanisms behind these concerns by distinguishing whether the “superstar effect” arises mainly from a “competition effect” or a “demonstration effect”. This distinction provides valuable insights for policymakers seeking to address the root causes of widening income distribution gaps.
(3) Taking the Anti-Monopoly Law as a case study, the paper conducts a quantitative evaluation of the costs and benefits of government responses from the dual perspectives of fairness and efficiency. It also assesses the relevance of such measures in addressing market power expansion driven by industrial robot technology, offering empirical support for the improvement of relevant legal and policy frameworks.
(4) Drawing on the theoretical foundations of Melitz & Ottaviano (2008) and Lv et al. (2023), the paper incorporates industrial robot technology to systematically examine whether its adoption contributes to the formation of the “superstar effect” and exacerbates the decline in labor income share. This enriches the theoretical discourse on the relationship between emerging technologies and the “superstar effect”.
2. Theoretical Model
The adoption of frontier technologies is one of the key strategies for firms to maintain a competitive edge in increasingly intense markets. Inspired by the models of Melitz & Ottaviano (2008) and Lv et al. (2023), this paper develops a theoretical framework to explain the underlying mechanism by which the adoption of industrial robots contributes to the formation of the “superstar effect” and ultimately leads to a decline in firms’ labor income share.
2.1 Basic Setup
On the input side of production factors, Melitz & Ottaviano (2008) assume that firms use only general labor in the production process. However, with the rapid rise of the “human-to-machine substitution” trend, industrial robots are increasingly regarded as a new form of labor in the Industry 4.0 era. They serve as an independent and complementary factor to human labor. Ignoring industrial robots as an “intelligent factor” would weaken the realism and credibility of the model. Existing studies (e.g., Acemoglu et al., 2020; Lv et al., 2023) show that the widespread adoption of industrial robots is a significant contributor to declining employment, indicating that in certain production tasks, the cost of using robots is lower than that of general labor. In such contexts, increasing robot input can more effectively reduce marginal production costs.
Following Lv et al. (2023), this paper expresses the cost of robot input in wage-equivalent units, where the wage of general labor is denoted as Wla and the usage cost (wage equivalent) of industrial robots is denoted as Wai . For simplicity, and in line with Melitz & Ottaviano (2008), we standardize the usage cost of industrial robot factors Wai to 1, Wla ≥Wai =1. Under this assumption, the total factor input can be expressed as: li =lla+lai, where lla is the total quantity of general labor input, and lai is the total quantity of industrial robot input.
Without considering industrial robot inputs, firms are assumed to use only general labor. For production, homogeneous products exhibit constant returns to scale, while differentiated products show increasing returns. The marginal cost of production is denoted as ci(Wla,tfpi)=Wla/tfpi. Firm productivity, tfpi for firm i, has an upper bound tfpM and follows a Pareto distribution. Higher productivity implies lower marginal cost, that is, ∂ci /∂tfpi < 0. Under monopolistic competition, the profit-maximizing condition yields a shutdown cost threshold of cd =pmaxd , where pmaxd represents the upper price limit of the product. Based on these conditions, the firm’s optimal price, quantity, and markup are pd (ci)=(cd+ci)/2,qd(ci)=Ld(cd−ci)/2γ,and mkpd(ci)=(cd-ci)/2, respectively. The corresponding production cost function is C(qi)=ciqid=Ldci(cd-ci)/2γ.
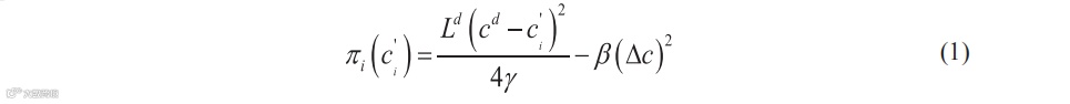
Whe a firm increase its industrial robot input (lai), its marginal production cost becomes ci′(Wla,Wai,tfpi)=Wi/tfpi, where Wi=(Wlalla+lai)/(lla+lai), where denotes the average factor usage cost after the increased input. Based on the earlier assumption, i.e., Wla ≥Wai=1, it is clear that ci >c'i. To maintain generality and following the approach of Gervais (2015), suppose that to reduce unit production cost by Δc∈(0,ci), the firm must incur a fixed cost of Wailai=lai=β(Δc)2 for industrial robot input. The parameter β>0 captures the curvature of robot input costs, implying that as marginal production costs decrease, robot input increases. Taking into account the changes in both marginal and fixed costs due to robot adoption, the firm’s production cost function becomes C(qi)=c′iqid′=Ldc′i(cd−c′i)/2γ+lai, and the resulting profit is:
According to the profit maximization condition ∂πi(c′i)/∂Δc=0, the reduction in a firm’s marginal cost due to industrial robot input under equilibrium conditions is:
In equation (2), γ represents the elasticity of substitution between differentiated products, and Ld denote the number of consumers in the market. To ensure the analysis remains meaningful, we assume 4γβ-Ld>0. As shown in equation (2), the extent to which industrial robot input reduces marginal costs is influenced by various factors, including the quantity of robot input, lai.
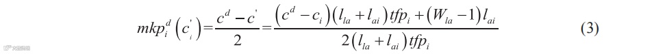
Based on this, the firm’s markup rate after introducing industrial robot input is given by:
Prior studies often use markup rates as a proxy for market power (Jiang, 2021), so equation (3) reflects how a firm’s market power shifts with increased industrial robot adoption. When firms have not yet introduced industrial robots, substituting the previously derived expressions for production quantity and market power into the general labor income share Sila function gives:
Following Melitz & Ottaviano (2008), the number of consumers (Ld) is assumed to be relatively stable over time, with no significant short-term changes. From Equation (4), a firm’s labor income share is jointly influenced by general labor wages (Wla), labor quantity (lla), product pricing (pid ), and firm market power (mkpdi ). Increases in labor wages or labor quantity, as well as lower product prices, tend to raise the labor income share, whereas stronger market power tends to reduce it. This paper focuses on how industrial robot adoption affects labor income share by altering firm market power. As firms gain market power, they acquire greater pricing autonomy, capture higher profits and market shares, and may evolve into superstar firms. This process, through economies of scale, reduces the amount of general labor required per unit of output, ultimately lowering the firm’s labor income share (Autor et al., 2020).
According to equation (2), the input of industrial robots leads to changes in both the quantity of general labor and wage levels. Furthermore, by reducing marginal production costs, robot adoption also influences firms’ product pricing and market power, as indicated by the expressions for pricing and market dynamics. In conjunction with Equation (4), these affected variables—wages, labor quantity, product pricing, and market power—are key determinants of a firm’s labor income share. This suggests that industrial robots can influence the labor income share through multiple channels.
From a theoretical perspective, on one hand, industrial robots can substitute for low-skilled workers whose tasks are poorly matched with automation, thereby weakening their wage bargaining power. At the same time, the adoption of robots can enhance product quality and improve firms’ competitiveness, which in turn may increase their market power. According to the implications of Equation (4), this could lead to a reduction in the labor income share. On the other hand, industrial robots also create new demand for labor, particularly for high-skilled positions that require specific expertise (Acemoglu & Restrepo, 2018), thereby improving the overall wage level of general labor. In addition, robots enhance coordination among production inputs, lower marginal costs, and enable firms to pursue a “low-price, high-volume” strategy, i.e., selling more units at a lower profit margin. These effects, as also suggested by Equation (4), can contribute to an increase in the firm’s labor income share.
In the context of China, the country’s sustained high-speed economic growth has significantly increased the demand for labor, thereby weakening the substitution effect of industrial robot technology and limiting its ability to suppress the wage bargaining power of low-skilled workers. Moreover, empirical studies based on micro-level labor data in China have found that the creative effect of industrial robot adoption outweighs its substitution effect, generally contributing to an increase in labor quantity (Li et al., 2021).
In particular, the adoption of industrial robots tends to increase the demand for high-skilled labor, which helps improve overall wage levels and promotes a rise in firms’ labor income share. Additionally, there may be a manifestation of the “new Solow paradox”, whereby the effectiveness of industrial robot adoption is constrained by regional endowments such as human capital, institutional environment, and infrastructure (Brynjolfsson et al., 2017). This implies that in the short term, although the development of industrial robot technology requires a large supply of high-skilled labor, it may not fully enhance firms’ market power, thereby weakening the channel through which robot adoption negatively affects labor income share.
However, in the long run, as robot technology advances and complementary conditions improve, industrial robot adoption may lead to reductions in labor quantity and wage levels, while simultaneously enhancing product quality and strengthening firms’ market power. These developments may ultimately hinder improvements in firms’ labor income share.
2.2 Analysis of Transmission Mechanisms
(1) Industrial Robot Adoption and Firms’Labor Income Share. Based on the derivation above, the impact of industrial robot adoption on firms’ labor income share can be summarized as follows:
As shown in equation (5), industrial robot adoption influences labor income share through several channels, including general wage levels, labor quantity, product pricing, and firms’ market power. According to both the theoretical framework and China’s specific context discussed earlier, the adoption of industrial robots currently has a positive effect on firms’ labor income share. Therefore, this paper proposes the following:
Hypothesis 1: The adoption of industrial robots helps to increase firms’ labor income share.
(2) Mechanism Analysis from the Perspective of Superstar Firms.According to equation (3), a firm’s market power depends on its marginal cost and the critical marginal production cost across all firms in the industry. Accordingly, this paper examines how industrial robot adoption affects labor income share through market power from two perspectives:
First, when the effects of industrial robot adoption are confined to a single firm and have not yet diffused throughout the industry—meaning the industry’s critical marginal production cost remains unchanged—the change in the firm’s market power resulting from robot adoption can be expressed as:
Based on the prior condition Wla ≥Wai =1, the derivative of equation (6) is consistently positive, indicating that industrial robot adoption strengthens a firm’s market power. In conjunction with equation (4), this enhanced market power—driven by robot adoption—leads to a reduction in labor income share,as shown by (∂Sila/∂mkpid)⋅(∂mkpid/∂lai)<0 . This implies that, all else being equal, increased investment in industrial robots reduces labor costs and per-unit production costs, thereby boosting market power and lowering the labor income share.
Secondly, when a firm’s adoption of industrial robots influences the entire industry, the critical marginal cost of production shifts. The use of robots lowers a firm’s marginal cost, allowing it to offer lower product prices. As more firms adopt industrial robots, price competition across the market intensifies.According to the profit maximization condition cd=pmaxd, the critical marginal cost—originally cd—declines to cd’, i.e., ∂cd/∂lai<0, and cd>cd’. Firms that do not adopt robots, and whose marginal costs fall within (cd’, cd), face the risk of being driven out of the market. As a result, their market share is absorbed by firms that have adopted robots. When considering widespread adoption across the industry, the change in a firm’s relative market power (mkprid)—as expressed in equation (3)—is represented by:
Equation (7) shows that industrial robot adoption affects a firm’s relative market power through two opposing forces: an increase in the firm’s own market power due to robot use, and a decrease caused by heightened industry-wide price competition resulting from broader adoption. However, given the currently low adoption rate of industrial robots among Chinese firms, the effect of intensified price competition across the industry, i.e., ∂cd/∂lai in Equation (7), is relatively limited. Additionally, as profit-oriented entities, firms are unlikely to engage in excessive price competition that would entirely forgo monopoly rents simply to expand market share. Therefore, in practice, industrial robot adoption tends to increase a firm’s relative market power, i.e., ∂mkprid/∂lai >0.
In the short term, robot adoption strengthens a firm’s individual market power. Over time, it enhances the firm’s relative market position within the industry. This shift reallocates labor and other productive resources from non-adopting firms to those that adopt robots, facilitating a redistribution of resources across firms within the market. Such reallocation lays the foundation for the emergence of “superstar firms” capable of capturing monopoly profits. This phenomenon, known as the “superstar effect”, contributes to a decline in the labor income share (Autor et al., 2020).Accordingly, we propose:
Hypothesis 2: Industrial robot adoption enhances both a firm’s own and relative market power, is a key driver of the “superstar effect”, and leads to a reduction in labor income share.
Our theoretical analysis suggests that the industry-wide impact of industrial robot adoption expands as the technology becomes more widely implemented across firms. In reality, superstar firms—owing to their advantages in capital, scale, and other resources—are typically the earliest adopters of new technologies such as industrial robots (Autor et al., 2020; Babina et al., 2024). According to equations (6) and (7), once superstar firms invest in industrial robots, they can significantly lower their production costs and improve their competitiveness. This leads to a “competition effect”, whereby they erode the market share of other firms, consolidate and expand their own market power, reinforce the “superstar effect”, and further drive down the labor income share.
At the same time, small and medium-sized enterprises (SMEs) tend to follow the lead of successful peers in their industry (Yang et al., 2020). Once superstar firms begin to reap the benefits of robot adoption, non-superstar firms, influenced by this “demonstration effect”, also start incorporating industrial robots into their production processes.As a result, these non-superstar firms gain market power as well, contributing further to the decline in labor income share.
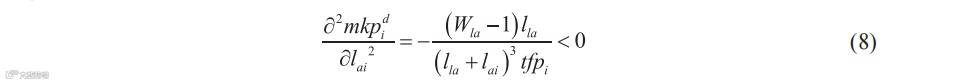
The intensity of the “competition effect” and the “demonstration effect” thus plays a key role in determining the source and scale of the decline in labor income share. These effects are reflected in the extent to which both superstar and non-superstar firms gain market power after adopting industrial robots. To investigate this further, we examine the second derivative of a firm’s market power with respect to its investment in industrial robots:
Equation (8) indicates that as a firm increases its investment in industrial robots, the marginal gain in market power gradually declines. The optimal level of market power is achieved when the cost of each additional unit of robot investment equals the market power benefit it yields. However, in practice, firms are often constrained by various factors and are unable to reach this optimal investment level.
On one hand, when robot investment falls short of the optimal level, firms miss out on potential market power gains from further investment, resulting in an overall loss of market power benefits. This scenario is typically observed among non-superstar firms, which often lack sufficient financial resources to invest adequately in industrial robots, thereby failing to maximize their market power.
On the other hand, excessive investment in industrial robots also leads to diminished overall returns in market power. According to Acemoglu & Restrepo (2018), industrial policy guidance and labor market frictions are key factors driving overinvestment. Since both superstar and non-superstar firms face the same labor market conditions, access to government support becomes the critical determinant of whether a firm overinvests. As Wang et al. (2017) point out, large superstar firms—due to their lower regulatory costs—can quickly ramp up production in response to stimulus policies. To promote local economic development, Chinese local governments often offer policy preferences to these firms, which may lead to robot investment exceeding the optimal level, ultimately reducing market power gains rather than enhancing them.
This analysis shows that the market power gains from robot investment for both superstar and non-superstar firms are shaped by their financial capacity and the extent of government intervention. As a result, the relative strength of the “competition effect” versus the “demonstration effect” remains uncertain.Accordingly, we propose:
Hypothesis 3: While the “competition effect” of industrial robot adoption contributes to a decline in firms’ labor income share, the “demonstration effect” also emerges as a new driver of this decline.
3. Research Design
3.1 Data Sources
This study uses data from the China Industrial Enterprise Database and the China Customs Database, covering the period from 2000 to 2015. Following the approach of Acemoglu et al. (2020) and Li et al. (2021), we measure industrial robot adoption based on firms’ import records of industrial robots. These imports are identified using HS 8-digit product codes from the China Customs Database. The customs data are matched to the China Industrial Enterprise Database using firm name, phone number, and postal code, resulting in 5,659 matched records of industrial robot imports. Next, we exclude records with missing values for key variables such as “wages payable to employees” and “product sales revenue”.Finally, we organize the data and winsorize firm-level variables at the 1st and 99th percentiles to mitigate the influence of outliers. The resulting dataset consists of 3,176,994 observations from 754,620 firms, including 2,884 firms that adopted industrial robots and 751,736 that did not.
3.2 Core Variable Measurement
Firm Labor Share (LSV).Following the methodology of Wen & Lu (2018), we measure a firm’s labor share (LSV) using the income approach. Specifically, LSV is calculated as the ratio of total labor compensation to value-added, defined as: Total Wages / (Total Wages + Operating Profit + Depreciation + Interest + Indirect Taxes). For robustness, and in line with Autor et al. (2020), we also compute an alternative measure of labor share (LSR) as the ratio of total labor compensation to main business revenue.
Industrial Robot Adoption (Robot). Given that the vast majority of industrial robots in China are imported, we adopt the approach of Acemoglu et al. (2020) and Li et al. (2021), using the natural logarithm of (1 + cumulative value of industrial robot imports) as a proxy for robot adoption. This measure reflects the extent of industrial robot utilization within firms.
Superstar Firms (Star).Superstar firms are characterized by their significant share of product sales within an industry (Autor et al., 2020; Stiebale et al., 2020). Following Stiebale et al. (2020), we identify firms whose annual sales market share ranks in the top 10% within their 4-digit industry classification as superstar firms, using a binary dummy variable. Our dataset reveals that these top 10% firms account for an average of 52.4% of total industry sales, validating the 10% threshold as a meaningful cutoff for identifying dominant firms in the Chinese context.
3.3 Model Selection
We employ a two-way fixed-effects model to examine the impact of industrial robot adoption on a firm’s labor income share. The model is specified as:
where i denotes the firm, and t denotes time. LSVit and LSRit represents the dependent variables—firm labor share (LSV) and labor share based on revenue (LSR). Robotit is the key explanatory variable capturing industrial robot adoption. Controlit refers to the set of control variables, including the asset-liability ratio, total asset contribution rate, capital-labor ratio, financing constraints, industrial policy guidance, and firm ownership type. μi captures firm fixed effects, vt denotes year fixed effects, and εit is the random error term.
4. Empirical Analysis
4.1 Baseline Regression
Table 1 reports the results of the baseline regression. Across all model specifications—whether control variables are included or whether the dependent variable is measured as LSV or LSR—the coefficient of Robot is consistently positive and statistically significant at the 1% level. This indicates that industrial robot adoption significantly increases a firm’s labor income share. One possible explanation is as follows: Although previous studies have found that industrial robots, as advanced production technologies, can substitute for less efficient labor—thereby optimizing resource allocation and strengthening firm market power, which may lead to a concentration of market share among a few
Specifically, robot adoption tends to increase demand for high-skilled workers and for low-skilled workers in roles that complement automation. This increase in labor demand may outweigh the displacement effects, leading to a rise in the wage share. Moreover, by reducing per-unit production costs, industrial robot adoption enables firms to pursue a “low-margin, high-volume” strategy—selling products at lower prices to attract more customers and boost overall revenue through increased sales volume. This expansion can further increase the labor income share, potentially offsetting or even surpassing the negative effect of enhanced market power. Overall, the adoption of industrial robots appears to enhance a firm’s labor income share, indicating a positive effect on the position of general labor in primary income distribution. These results provide empirical support for Hypothesis 1.
4.2 Endogeneity Treatment
An increase in a firm’s labor income share raises labor cost proportions, potentially encouraging industrial robot adoption to reduce these costs, creating reverse causality and endogeneity issues that may bias regression results. To address this, we use an instrumental variable (IV) approach, following Artuc et al. (2023), with an occupation substitutability index as the IV for industrial robot adoption. Columns (1)-(3) of Table 2 shows a positive correlation between the IV and robot adoption, with an F-statistic well above 10, rejecting the weak IV hypothesis. The results confirm a significantly positive effect of robot adoption on labor income share. Using a heteroscedasticity-robust IV method, columns (4) and (5) show consistent, significantly positive coefficients, reinforcing that industrial robot adoption increases labor income share.
To validate the instrumental variable‘s rationality, we test its exclusion restriction using two methods: (1) We include control variables related to both the instrumental variable and labor income share in the regression to minimize alternative pathways; (2) We conduct a falsification test to indirectly confirm the instrumental variable’s suitability. Both tests confirm that the instrumental variable meets the exclusion restriction requirement.
4.3 Robustness Checks
We perform several robustness checks: (1) Core Variable Replacement: We use a binary indicator for industrial robot imports and firm-level robot penetration (from IFR data) as proxies for robot adoption. Following Bai et al. (2008), we recalculate labor income share (LST) excluding indirect taxes. (2) Multidimensional Fixed Effects: We control for province-year and industry fixed effects to reduce spurious correlations. (3) Sample Selection Bias: Following Li et al. (2021), we exclude industrial robot manufacturers to address bias from undifferentiated robot import purposes. (4) Sample Self-Selection Effects: We mitigate self-selection by excluding the four industries with the highest robot adoption, applying nearest-neighbor propensity score matching, and using a treatment effects model to control for observable and unobservable factors. (5) Quantile Regression: We use quantile regression to confirm that baseline results hold across different quantiles, ruling out the influence of extreme values. All robustness checks align with expectations, confirming the robustness of our conclusions.
4.4 Heterogeneity Analysis
The extent to which industrial robot adoption raises labor income share depends not only on policy context but also on regional and industry characteristics.
(1) Firm Heterogeneity. As noted by Acemoglu & Restrepo (2018), robot adoption is often shaped by government intervention. In China, this is reflected in support for state-owned enterprises (SOEs) and the use of incentives to guide firm behavior. To examine heterogeneity, we constructs interaction terms between the core explanatory variable, firm ownership (SOE) and and government subsidies (Subsidy), creating interaction terms IV×SOE and IV×Subsidy. Regression results show that IV×SOE has no significant effect. This likely reflects recent reforms promoting profit orientation in SOEs, narrowing behavioral differences with non-SOEs in capital-labor allocation and robot adoption decisions. In contrast, IV×Subsidy has a significantly positive effect. Policy incentives enhance firms’ financial capacity, facilitating the hiring of workers complementary to robots. They also reflect policy goals to stabilize employment, indirectly boosting labor income share.
(2) Regional Heterogeneity. According to Brynjolfsson et al. (2017), regional endowments—such as human capital and infrastructure—are key to the effective use of industrial robots. We measure human capital (Hr) as the ratio of college students to total population in each city, and supporting infrastructure (Smc) as a dummy variable equal to 1 if the city is listed as a smart city by China’s Ministry of Housing and Urban-Rural Development, and 0 otherwise. We construct interaction terms IV×Hr and IV×Smc to test whether the effect of robot adoption on labor income share varies by these local conditions. Results show both IV×Hr and IV×Smc have significant positive effects, suggesting that higher human capital and better infrastructure enhance the effectiveness of robot adoption, strengthen its wage-raising impact, and lead to greater improvements in labor income share.
(3) Industry Heterogeneity. Industrial robot adoption varies significantly across industries. As Brynjolfsson et al. (2017) note, only when robot penetration reaches a certain threshold can it overcome the “new Solow paradox” and meaningfully affect labor income share. Our analysis shows two key patterns: First, industries with significantly positive regression coefficients outnumber those with negative ones. These industries generally have medium to high robot penetration, where mature technology allows robots to more effectively raise labor income share. Second, industries showing a significantly negative impact on labor income share typically have low to medium robot adoption. These are often energy-intensive, highly repetitive, and physically demanding sectors where robots tend to fill undesirable or hazardous roles, which ultimately limits any gains in labor income share.
5. Mechanism Analysis from the Superstar Firm Perspective
Our previous research found that industrial robot adoption primarily increases labor’s income share by promoting employment, improving worker wages, and lowering firm product prices. However, as industrial robot technology advances and its adoption rate rises, an increasing number of workers will face the risk of being replaced. This could lead to a continuous decline in workers’ overall wage bargaining power, potentially even causing wage growth to stagnate, a trend already observed in the United States (Acemoglu & Restrepo, 2022). In the long run, the positive impact of industrial robot adoption on labor’s income share may not be sustainable.
Meanwhile, the negative impact of new technologies, exemplified by industrial robots, on labor’s income share is gaining increasing attention.Autor et al. (2020) found that the “superstar effect”—where market share concentrates in a few superstar firms due to new technology adoption—is the dominant factor behind the sustained decline in labor’s income share in the U.S. This suggests that industrial robot technology, as a frontier technology, significantly boosts firms’ market power within their industries, playing an increasingly crucial role in the formation and reinforcement of the “superstar effect”. This could become a growing concern, fueling a noticeable downward trend in labor’s income share and potentially even reversing the overall positive impact of industrial robot adoption on firm labor income share in the future.
Therefore, this paper will explore whether industrial robot adoption in China will lead to a “superstar effect” and investigate its underlying mechanisms, all from the perspective of superstar firms.
5.1 Industrial Robots and the Rise of Superstar Firms
According to our theoretical model, industrial robot adoption strengthens a firm’s market power in the short term and enhances its relative position within the industry over time, fostering the emergence of “superstar firms” and driving the formation of the superstar effect. To test this, we use occupation substitutability as an instrumental variable (IV). Table 3 reports the regression results.
(1) Does robot adoption promote the emergence of superstar firms? To examine this, we replace the dependent variable in Equation (9) with a binary indicator for whether a firm is a superstar (Star). As shown in column (1) of Table 3, industrial robot adoption significantly increases the likelihood of a firm becoming a superstar. This suggests that robots enhance efficiency and competitiveness, helping firms rise above their peers. As these firms grow or maintain their superstar status, they capture a larger share of the market. This concentration reduces the overall labor income share, illustrating the superstar effect. Therefore, robot adoption is a key driver behind this dynamic. Over time, it may even shift labor income share from growth to decline—posing a potential long-term concern.
(2) What drives the formation of superstar firms? To explore how industrial robot adoption contributes to both the short-term and long-term rise of superstar firms, we construct a firm-level market power indicator (Lerner) following Wang et al. (2017). We then calculate relative market power (RLerner) by subtracting the sales-weighted average market power of peer firms in the same industry from the firm’s own market power. For robustness, we also compute two alternative versions using employment-weighted (RLernerl) and asset-weighted (RLernerf) industry averages. These indices capture a firm’s monopolistic strength within its industry, offering a measure of its competitive edge relative to peers (Wang et al., 2017) —key to understanding how firms achieve and maintain superstar status in the context of rising industrial robot adoption.
Column (2) of Table 3 reflects the static impact of industrial robot adoption on the formation of superstar firms. The results show that robot adoption significantly increases a firm’s own market power. Columns (3)-(5) present the dynamic effects, indicating that robot adoption also significantly enhances a firm’s relative market power within the industry. This positive impact remains strong even after 1-4 periods of lag and holds when alternative weighting methods are used, confirming that robot adoption helps firms strengthen their market position in both the short and long term. These findings suggest that industrial robots enhance firms’ static market power and competitiveness, and dynamically provide them with a sustained relative market power advantage over peers. This long-term advantage not only solidifies the dominant position of existing superstar firms but also enables some ordinary firms to gradually scale up and potentially grow into new superstar firms. In the long run, this process poses a structural risk of further declines in labor income share, thereby validating Hypothesis 2.
This conclusion is also supported by real-world data. According to productivity estimates from the China Industrial Enterprise Database, the average productivity of robot-adopting firms is 1.77, higher than that of non-adopting firms (1.71). This indirectly demonstrates that industrial robot adoption can improve firm-level efficiency, expand market power, and contribute to the formation and reinforcement of the “superstar effect”.
5.2 Internal Mechanism of the “Superstar Effect” on Labor Income Share
According to the theoretical model, the “competition effect” and “demonstration effect” of industrial robot adoption are the underlying channels through which the “superstar effect” leads to a decline in labor income share. To examine the demonstration effect, this study constructs a spillover indicator (Horiz) that captures the influence of robot adoption by superstar firms on non-superstar firms within the same industry, following the approach of Acemoglu et al. (2020). The analysis empirically tests both mechanisms.
The regression results presented in Table 4 reflect how these two effects influence labor income share. Columns (1) and (2), which exclude robot-adopting non-superstar firms, show that compared to firms not using industrial robots, superstar firms that adopt them significantly increase their competitiveness within the industry. This indicates that industrial robot adoption enhances firms’ market power and reinforces the superstar effect through the competition effect. Column (3) further confirms that the increase in market power has a significant negative effect on labor income share, suggesting that the competition effect drives a persistent downward trend in labor income share.
In contrast, columns (4) to (6), which exclude robot-adopting superstar firms, show that superstar firms’ robot adoption also induces non-superstar firms within the same industry to adopt robots. This behavior significantly improves the competitiveness and market power of non-superstar firms as well, indicating that superstar firms exert a strong demonstration effect. The logic behind this finding lies in the nature of industrial robots as a frontier production technology, which, by enhancing coordination among production factors, can improve both efficiency and product quality (Acemoglu & Restrepo, 2018). Superstar firms, leveraging their advantages, are usually the first to adopt such technologies, thereby gaining a competitive edge in market competition. Through the competition effect, they expand their market power, which in turn contributes to the continuous decline in labor income share (Autor et al., 2020).
Meanwhile, prior research has shown that large firms tend to be early adopters of new technologies, while smaller firms often emulate high-performing peers in the same industry (Yang et al., 2020). Consequently, under the influence of the demonstration effect, some non-superstar firms increase their investment in industrial robots in an effort to expand their own market power. This presents a new channel through which the decline in labor income share may continue, reinforcing the structural implications of the superstar effect.
Column (7) of Table 4 further investigates the relative magnitude of market power gains stemming from the “competition effect” and the “demonstration effect”. To do so, this study defines a non-superstar firm dummy variable (Nstar), which takes the value of 1 for non-superstar firms and 0 otherwise. The regression coefficient on the interaction term IV×Nstar is found to be significantly positive, indicating that non-superstar firms achieve a greater increase in market power from adopting industrial robots. This suggests that the demonstration effect driven by superstar firms’ robot usage imposes substantial competitive pressure on non-superstar firms, prompting them to enhance their technological capabilities and competitiveness more aggressively.
This conclusion is consistent with empirical realities. Calculations based on the China Industrial Enterprise Database show that the average productivity of robot-adopting superstar firms is 1.75, while that of robot-adopting non-superstar firms is 1.79—both higher than that of firms not using robots, which stands at 1.71. This indicates that non-superstar firms, through the adoption of industrial robots, have realized greater productivity improvements than their superstar counterparts.
A possible explanation for this phenomenon lies in differences in firm incentives and institutional support. Superstar firms, more likely to receive industrial policy incentives and preferences, may have weaker incentives to fully exploit the benefits of industrial robots, becoming relatively complacent in their innovation efforts (Wang et al., 2017). In contrast, non-superstar firms—facing less favorable policy environments—are more motivated to actively harness the productivity potential of industrial robots. Moreover, these firms may benefit from a “late-mover advantage”, learning from the experiences and outcomes of early adopters to implement robots more efficiently. As a result, non-superstar firms can increasingly improve their competitiveness, potentially surpassing incumbent superstar firms and emerging as a new source of downward pressure on labor income share.
Columns (8) and (9) of Table 4 show that industry-level industrial robot adoption (IV_Industry) significantly reduces the overall market share of superstar firms that have not adopted robots (CRStar), while significantly increasing the overall market share of firms that have adopted robots (CRRobot). This suggests that non-superstar firms adopting robots mainly gain market share at the expense of non-adopting superstar firms, exerting relatively limited competitive pressure on superstar firms that also adopt robots.
As a result, superstar firms that adopt industrial robots are able to reinforce their “superstar effect” through a “competition effect”, and continue to be the main contributors to the intensifying trend of declining labor income shares. At the same time, the “demonstration effect” of robot adoption by superstar firms has only a limited negative impact on their own “competition effect”. Instead, it primarily squeezes the market share of non-adopting superstar firms, gradually emerging as a new driver of the continued decline in the labor income share. These findings confirm Hypothesis 3.
To more concretely illustrate the impact of industrial robot adoption by superstar firms on labor income share, this study further calculates firm-level productivity and market power indicators using the China Industrial Enterprise Database as supporting evidence. As shown in Figure 1, the average market power of both superstar and non-superstar firms that adopt robots has generally trended upward over time. However, superstar firms consistently exhibit higher market power, indicating that industrial robot adoption enhances firms’ market power overall. Moreover, superstar firms may reinforce their “superstar effect” through a “competition effect”, remaining key drivers of the intensifying decline in the labor income share.
At the same time, while non-superstar firms using robots had significantly lower market power than their superstar counterparts in 2000, the gap has narrowed substantially over time. This suggests that non-superstar firms have derived relatively greater gains in market power from robot adoption and may even be catching up to superstar firms, thereby generating a “superstar effect” of their own. As the empirical analysis shows, this could be attributed to the “demonstration effect” of robot adoption by superstar firms, which encourages adoption among non-superstar firms. Additionally, non-superstar firms experience faster productivity growth following robot adoption—an observation supported by a comparison of annual productivity trends between the two groups. Taken together, these findings provide real-world validation for the conclusions drawn in this study.
6. Further Extended Analysis
As demonstrated in the previous analysis, industrial robot adoption plays a key role in the formation of the “superstar effect”, which in turn accelerates the decline in the labor income share. This contributes to widening disparities in factor income distribution, raising concerns about growing income inequality and undermining the fairness of primary income allocation. Addressing this issue calls for a rational and balanced perspective. On one hand, China’s labor income share remains relatively low compared to major Western economies. Therefore, proactive measures are necessary to prevent further declines and to advance the broader goal of achieving “common prosperity”. Prior literature has shown that excessive market power concentrated in a few firms enhances their ability to set wages in the labor market. In pursuit of higher monopoly profits, these firms may suppress workers’ wage bargaining power, placing labor at a disadvantage in the distribution of primary income (Wen & Lu , 2018).
On the other hand, it is essential to respect fundamental economic principles. While ensuring fairness in primary income distribution, care must be taken not to undermine firms’ production efficiency. Although promoting full market competition is widely regarded as a key mechanism for achieving Pareto improvement, other studies suggest that allowing firms to maintain a reasonable level of market share can help realize economies of scale. In this sense, a certain degree of monopolistic behavior may enhance efficiency and contribute to Pareto improvement (Wang , 2017).
In line with the principle of balancing fairness and efficiency, this study examines the cost-benefit implications of China’s landmark 2008 Anti-Monopoly Law, aiming to assess whether it can help mitigate the potential risks associated with industrial robot adoption—specifically, the risk of excessive market power concentration among dominant superstar firms. Drawing on the methodologies of Autor et al. (2020) and Yu et al. (2021), we define dominant superstar firms as those ranking among the top four in industry market share consistently from 2003 to 2007. These firms constitute the treatment group, while all other firms serve as the control group. Based on this classification, we employ a difference-in-differences (DID) approach to estimate the impact of the law’s implementation. The wage variable (Wage) is measured as the natural logarithm of total wage payments divided by the number of employees.
Columns (1) and (2) of Table 5 use firm labor income share as the dependent variable. The results indicate that the implementation of the 2008 Anti-Monopoly Law significantly increased labor income shares across firms, and the estimates satisfy the parallel trends assumption, confirming the robustness of the identification strategy. Column (3) further shows that the law significantly restrained the growth of market power among dominant superstar firms, thereby contributing to a more equitable primary income distribution. This finding is reinforced by the results in column (4), which demonstrate that the law significantly increased worker wages. The underlying mechanism is that curbing firm-level market power weakens the wage-setting dominance of superstar firms, thereby strengthening workers’ bargaining power in wage negotiations and ultimately raising the labor income share.
These results suggest that reducing the market power of dominant superstar firms and promoting more competitive market conditions is an effective policy tool for safeguarding fairness in primary income distribution, consistent with the original intent of the Anti-Monopoly Law. However, column (5) reveals a potential trade-off: the implementation of the law may, to some extent, impede firms from achieving Pareto-optimal production levels. This aligns with the findings of Wang (2017) and Yu et al. (2021), who argue that restricting the market power of dominant firms may hinder their ability to enhance resource allocation efficiency through external expansion strategies such as mergers, acquisitions, or corporate restructuring. As a result, it could limit their ability to realize economies of scale, thereby reducing overall production efficiency.
Building on the finding that the Anti-Monopoly Law generally promotes improvements in firms’ labor income share, we further examine whether its implementation amplifies the positive impact of industrial robot adoption on labor income share. However, as shown in Table 5, column (6), the law did not significantly strengthen this effect. Moreover, column (7) reveals that the Anti-Monopoly Law did not constrain the increase in market power among dominant superstar firms resulting from robot adoption.
The rationale behind this result lies in the nature of the law’s enforcement scope. While the Anti-Monopoly Law effectively limits the expansion of market power stemming from administrative favoritism or policy-driven advantages—thereby contributing to more equitable primary income distribution—it does not target the market power that arises from technological advancements, such as industrial robot adoption (Wang & Jiang, 2020). Consequently, the law fails to mitigate the structural risks associated with the growing dominance of robot-adopting firms.
This finding is also consistent with the legal framework itself. Article 5 of the 2008 Anti-Monopoly Law explicitly states that “business operators may, through fair competition and voluntary alliances, lawfully implement concentration to expand operational scale and improve market competitiveness”. The use of industrial robots to boost productivity and gain market share—leading to increased dominance by leading firms—clearly falls within the bounds of legitimate competitive behavior. As such, it does not trigger regulatory intervention under the current anti-monopoly framework. In sum, while the Anti-Monopoly Law contributes to overall improvements in labor income share, it is insufficient to address the deeper structural concerns associated with industrial robot adoption and its role in reinforcing market concentration and inequality.
7. Conclusion and Policy Implications
This study investigates the impact of industrial robot adoption on the labor income share of firms in China from 2000 to 2015, with a particular focus on superstar firms. It also explores the underlying mechanisms driving this relationship and evaluates the broader economic implications, especially in the framework of industrial and regulatory policy. Empirical findings suggest that, overall, the adoption of industrial robots contributes positively to increasing firms’ labor income share, indicating a favorable effect on narrowing factor income distribution disparities. The heterogeneity analysis further reveals that this positive effect is more evident in firms receiving more industrial policy support, in regions with more abundant human capital and better infrastructure, and in industries with higher robot penetration.
However, mechanism analysis from the superstar firm perspective highlights a more complex picture: robot adoption significantly enhances both absolute and relative market power, reinforcing the “superstar effect”. This, in turn, intensifies the risk of a declining labor income share. Specifically, the “competition effect”—whereby robot-adopting firms outcompete others—is the main driver of this downward trend, while the “demonstration effect”, whereby superstar firms influence others to adopt robots, is becoming an increasingly important secondary factor. Further investigation shows that the Anti-Monopoly Law can effectively suppress the expansion of market power among dominant superstar firms, leading to improved worker wages and a higher labor income share. However, this comes at the cost of reduced productivity, as such regulations may inhibit resource allocation efficiency by limiting mergers, acquisitions, and other forms of firm expansion. More critically, current anti-monopoly measures do not address market power gains arising from technological adoption, particularly robot use. Therefore, the structural risks associated with the competition and demonstration effects remain unresolved.
From a superstar firm perspective, our analysis reveals that industrial robot adoption increases both a firm’s absolute and relative market power, thereby reinforcing the “superstar effect” and heightening the underlying risk of a continued decline in labor income share. Further investigation into this risk indicates that superstar firms exert their influence primarily through two mechanisms: the competition effect and the demonstration effect. Among these, the competition effect remains the dominant driver behind the declining labor income share, while the demonstration effect is emerging as a new contributing factor.
Additional analysis shows that anti-monopoly policies are effective in curbing the market power of dominant superstar firms and in raising labor income share by improving worker wages. However, these gains often come at the cost of reduced productivity. Moreover, such policies are not designed to counter the expansion of market power resulting specifically from industrial robot adoption. As a result, the risks to labor income share posed by the competition and demonstration effects remain unaddressed. Based on these findings, we offer the following policy recommendations:
(1) Promote industrial robot adoption with targeted support. Industrial robots have generally had a positive impact on firms, and so far, they have not led to widespread displacement of labor. However, the effects vary significantly across different firms, regions, and industries. At present, China should consider accelerating the integration of industrial robots into production processes. This could not only enhance firms’ market competitiveness but also help raise the relatively low share of labor income. To maximize the benefits, policies should be tailored to specific contexts. Priority should be given to firms with stronger labor income performance and substantial industrial policy support, regions with a highly skilled workforce and well-developed infrastructure, and industries where robot usage is already more prevalent. Such targeted deployment can better leverage the productivity gains and broader dividends of industrial automation.
(2) Manage the rise of superstar firms to support fairer income distribution. The adoption of industrial robots is a key driver behind the emergence of superstar firms and the growing concentration of market power. This “superstar effect” contributes to the downward pressure on labor’s share of income. A balanced approach is needed to navigate this dynamic. On one hand, it is important to support firms in expanding their market presence through technological advancement, including the use of industrial robots, to realize scale economies and boost productivity. On the other hand, stronger policy support—through tools such as taxation and access to financing—should be directed toward firms that have yet to adopt these technologies. This can help reduce the risk of market concentration becoming excessive, curb the pricing power of dominant firms, and enhance workers’ wage bargaining power. Such a dual-track strategy would help ensure that the gains from automation do not come at the cost of widening income disparities, keeping factor income distribution within a more equitable range.
(3) Support SME robot adoption and strengthen equitable redistribution. Among superstar firms, the “competition effect” of industrial robot adoption outweighs the “demonstration effect”, making it the primary driver behind the intensified “superstar effect” and the resulting downward trend in labor income share. To address this, the government should actively support eligible SMEs in incorporating industrial robots into their production processes. This can be achieved through targeted tax incentives and complementary infrastructure support, aimed at boosting SMEs’market competitiveness and slowing the decline in labor’s share of income.At the same time, it is essential to guard against excessive substitution of labor by automation. Reforms to labor and capital taxation systems should be advanced to reinforce redistributive mechanisms and promote a fair and balanced allocation of income among different production factors.
This study also has some limitations. First, it uses data on imported industrial robots as a proxy for robot adoption, without accounting for domestic purchases or cases where robots are acquired but underutilized. Second, given the rapid proliferation of industrial robots over the past decade, the trajectory of the “superstar effect” may be shifting, warranting further investigation and long-term monitoring.
China Economist (Chinese Title: 《中国经济学人》) is an academic journal supervised by the Chinese Academy of Social Sciences (CASS) and sponsored by the Institute of Industrial Economics, CASS. Launched in March 2006, China Economist is a bilingual (Chinese and English) publication with a global distribution. It is dedicated to disseminating cutting-edge research in economics and management from China to the world, providing a platform for international scholars to exchange ideas, and representing the fundamental interests of the Chinese people through its scholarly contributions. The journal aims to enhance understanding of China among foreign audiences, thereby increasing the country’s international influence and discursive power.China Economist has been indexed by prominent databases such as EconLit, EBSCO, ProQuest, and SCOPUS. It has also been selected for the AMI Chinese Humanities and Social Sciences Journals by the Chinese Academy of Social Sciences, being recognized as a journal that represents the highest level of English-language publications in the humanities and social sciences in China.

