
编者按
本次解读的文章发表于 Manufacturing & Service Operations Management,原文信息:Yao Cui, Ming Hu, Jingchen Liu (2023) Value and Design of Traceability-Driven Blockchains. Manufacturing & Service Operations Management. https://doi.org/10.1287/msom.2022.1161
原文摘要总结如下。问题定义:本文对不同供应链结构下可溯源性区块链的价值和设计进行了理论研究。研究方法/主要结论:采用博弈论方法探讨了不同供应链结构(串行供应链、平行供应链)一个买方和两个供应商的产品批发价格与质量均衡,并总结了可溯源性区块链的两个基本功能。在串行供应链中,可溯源性技术能够有效缓解双重道德风险,提高产品质量和所有企业的利润并实现双赢;在平行供应链中,可溯源性技术能够使产品召回变得更加灵活,使供应链中的买方受益但会损害供应商利润,导致供应链中存在激励冲突。管理见解:在不同类型的供应链结构中,采用可溯源性区块链可能会面临独特的挑战。首先,在串行供应链中,每个企业都可以成为采用区块链技术的发起者;而在平行供应链中,则是买方作为发起者并应该给予供应商适当的补偿。其次,在串行供应链中,受限的数据许可政策(每个供应商与买方共享自己的可追溯性数据,但不与其他供应商共享)可以提高供应链利润,而在平行供应链中,限制企业对可追溯性数据的访问总是不利的。第三,相较于平行供应链,串行供应链中的供应商更具有加强数据质量治理的动机。
1 问题背景
随着供应链的复杂化和全球化,企业通常将生产过程的各个阶段外包给不同的供应商,并从多个供应商处采购相同的产品。由于供应商在提高产品质量方面的努力程度通常是不可观察和不可契约化的(unobservable and noncontractible),因此可能会出现产品质量问题以及道德风险。在农产品、制药、汽车和智能手机等行业中,由于产品质量导致的产品召回时常发生。例如,2006年,美国26个州爆发了由菠菜中大肠杆菌引起的食源性疾病,导致276人患病和3人死亡,全国范围内各类新鲜菠菜和含菠菜产品被召回;2007年,世界上最大的玩具公司 Mattel 召回了1900万件含铅涂料超标的玩具;2009年,美国豌豆坚果公司生产的含大量沙门氏菌的花生导致361家公司召回3913种不同种类的产品。上述案例的共同点是:产品质量问题难以溯源,这也给质量管理带来了更大的挑战。然而,区块链技术的最新发展为企业克服供应链缺乏可追溯性带来了希望。
区块链(Blockchain)是一种去中心化的数字分账技术,能够有效、可验证并永久地记录双方之间的交易信息,最早被称为比特币加密货币背后的技术。区块链技术可以实现整个供应链从产品生产到消费整个过程的溯源,包括由理人、处理时间、处理地点以及处理方式。目前为止,全球已存在很多区块链平台(例如,Provenation、BlockVerify、SkuChain、VeChain、Factom、Bext360等),实现了各类产品供应链的追溯。区块链平台也已经被零售巨头采纳,例如,沃尔玛采用IBM提供的区块链平台Hyperledger Fabric,使用区块链技术追溯中国的猪肉供应链,并要求猪肉供应商加入加入FoodTracking区块链,如图1所示,记录在区块链中的信息包括(但不限于)供应商名称、生产日期、包装尺寸和重量,以及与质量相关的详细信息,例如温度、湿度、光照条件和疫苗接种。

图1 区块链平台追溯猪肉供应链示例
区块链中的数据多是由高科技传感器、跟踪设备和射频识别芯片产生的。当缺陷发生时,这些与质量相关的信息可用于识别哪个供应商以及供应链的哪个阶段出现了问题。此外,智能合约(Smart Contract)通过不可篡改的或有结果共识的自我执行协议来促进供应链中各成员间支付的自动化。鉴于区块链的快速发展及其在改善供应链可追溯性方面的应用前景,本研究旨在了解可溯源性如何影响供应链运营以及企业应如何设计具有可溯源性的区块链。本文考虑如下的研究问题:
第一,供应链可溯源性如何影响供应链以及供应商的产品质量决策的?
第二,可溯源性的价值是什么,是否依赖于供应链的结构?
第三,可溯源性区块链的发起者是谁?
第四,企业应如何选择可溯源区块链在数据许可、共识机制和数据治理方面的优化设计?
针对上述研究问题,作者分别构建了串行、并行供应链结构下的可溯源性区块链模型。
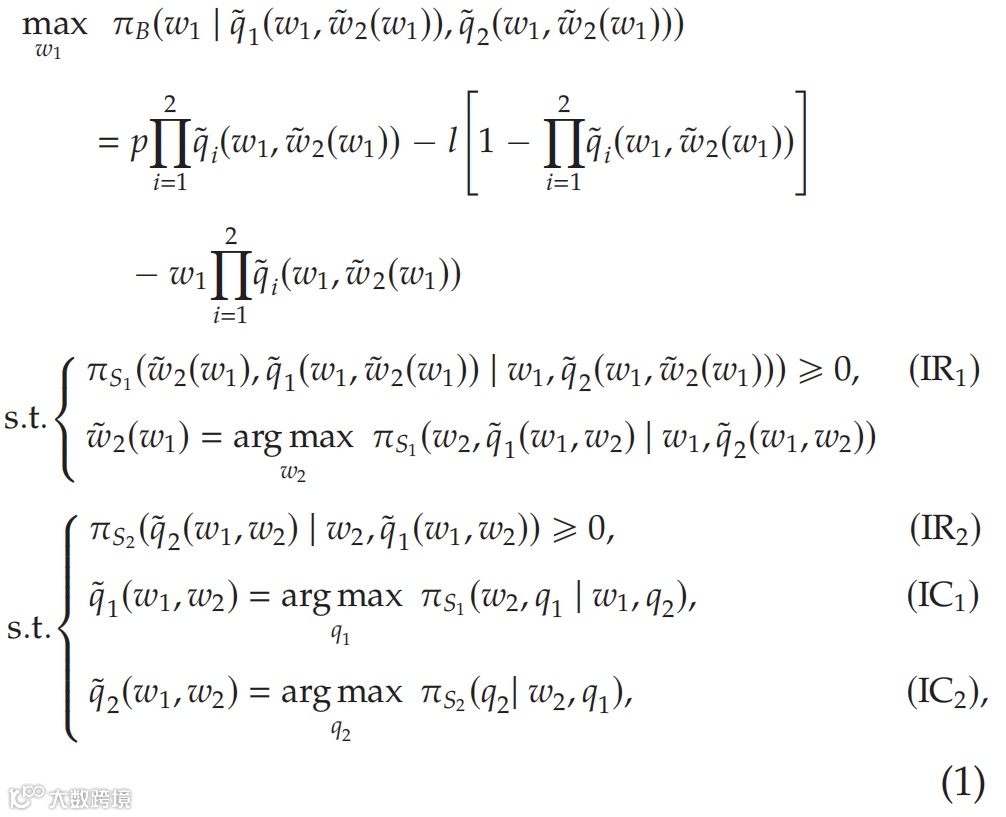
2 模型 1:串行供应链(Serial Supply Chain)中区块链的价值
本节考虑由买方、下游供应商(即供应商 1)和上游供应商(即供应商 2)组成的串行供应链。该生产过程分为两个阶段,如图 2 所示。

图2 串行供应链
2.1 基础模型
供应商 做出自己的质量决策 ,其中 表示产品没有缺陷的概率。供应商质量成本函数是 。最终产品的质量水平由两个供应商的质量水平共同决定(“weakest link”),即:最终产品没有缺陷的概率为 ,有缺陷的概率为 。如果最终产品没有缺陷,买方能够赚得零售价 ;如果最终产品有缺陷,买方会产生损失 。其中, 表示即使产品存在缺陷,买方也能获得正的净利润;而 表示买家除了无法获取零售价利润外,还要承担额外成本。
在串行供应链中,相邻企业之间按顺序签订批发价格合同 ,根据供应链是否可溯源以及不同的支付机制进行结算, 和 分别表示为买方和供应商 ( )的预期利润。博弈顺序如下:
Stage 1. 买方向下游供应商提出批发价合同 。
Stage 2. 下游供应商向上游供应商提出批发价合同 。
Stage 3. 两个供应商同时选择各自的产品质量水平 和 。
为保证上述问题具有唯一的内部均衡解,本文假设 以及 。在此基础上,分别考虑串行供应链结构中是否引入可溯源性区块链技术,构建供应链中各企业的契约问题。
2.1.1
不考虑可溯源性区块链技术
在这种情况下,生产过程中间阶段的产品质量结果是未知的,故整个供应链的付款只取决于最终产品的质量。如果最终产品无缺陷,买方获得收入
并支付给下游供应商
,下游供应商支付给上游供应商
。如果最终产品有缺陷,买方将蒙受
的损失。在不考虑可溯源性的串行供应链中,买方的契约问题为:
其中,和分别为下游和上游供应商的预期利润函数。
2.1.2
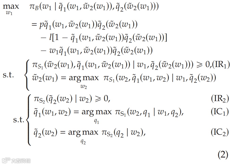
考虑可溯源性区块链技术
在考虑可溯源技术的情况下,生产过程每个阶段的质量结果是可识别的,因此,可以根据每个阶段的产品质量相应地支付批发价格,而不是基于最终产品的质量结果。因此,如果上游供应商的产品质量没有缺陷,而下游供应商的产品质量有缺陷,则上游供应商仍能够从下游供应商处收到付款,而下游供应商无法从买方处收到付款。买方的契约问题可表述为:
其中,和分别为下游和上游供应商的预期利润函数。
2.2 可溯源性对质量合同的影响
定理 1:在串行供应链中,(a) 可溯源性不会改变买方向下游供应商提供的批发价格,但总是会降低下游供应商向上游供应商提供的批发价格;(b)可溯源性总能提高两个供应商的质量水平;(c) 可溯源性总是会提高下游供应商和上游供应商的批发价格比率以及其质量水平比率。
• 定理1总结了可溯源性对串行供应链中均衡批发价格和质量水平的影响。
• 可溯源性对上游供应商批发价格的影响比对下游供应商的影响更大。在可溯源情况下,每个供应商都是根据其交付给下一阶段的产品的质量结果来支付的。在不可溯源情况下,上游供应商会更频繁地受到惩罚,因此下游供应商需要通过提高批发价格来吸引上游供应商参与。因此,可溯源性降低了下游供应商支付给上游供应商的批发价格。
• 在串行供应链中,可溯源性能有效缓和双重道德风险带来的负面影响。买方通过下游供应商间接地控制上游供应商,需解决双重道德风险的激励问题。在不可溯源情况下,上游供应商收到的付款还会取决于下游供应商的质量结果,加剧了双重道德风险,从而降低了上游供应商提高质量的动机。而在可溯源情况下,上游供应商收到的货款仅取决于其自身的质量结果,因此有动机提高产品质量。
• 可溯源性会增加两个供应商质量水平之间的差异。在不可溯源情况下,两家供应商将同时损失款项。而在可溯源情况下,下游供应商比上游供应商更容易受到惩罚,因此下游供应商的投资比上游供应商多并且需要得到更多的补偿。
2.3 区块链应用的管理启示
定理 2:在串行供应链中,(a) 可溯源性总是能够提高买方和每个供应商的预期利润以及整个供应链的总利润;(b) 与下游供应商相比,可溯源性总是能更大程度地提高上游供应商的预期利润。
• 在串行供应链中,采用区块链技术总是能够提高最终产品质量水平,使得供应链整体变得更加高效并提升供应链总利润。串行供应链中各企业能同时受益于区块链技术的可溯源性(即实现Pareto improvement)。第一,可溯源性能够协助买方更有效地激励供应链各层级的质量改进并提高利润。第二,可溯源性能够有效缓解双重道德风险问题,帮助下游供应商更有效地激励上游供应商进行质量改进。第三,上游供应商可以直接受益于可溯源性,使其不会再为下游供应商的过错买单。
• 与下游供应商相比,可溯源性总是能更大程度地提高上游供应商的利润。回顾定理 1,在可溯源情况下,下游供应商在质量上的投资远远多于上游供应商,即承担了超出比例的更高的质量成本。因此,与上游供应商相比,可溯源性给下游供应商带来的利润增幅更低。
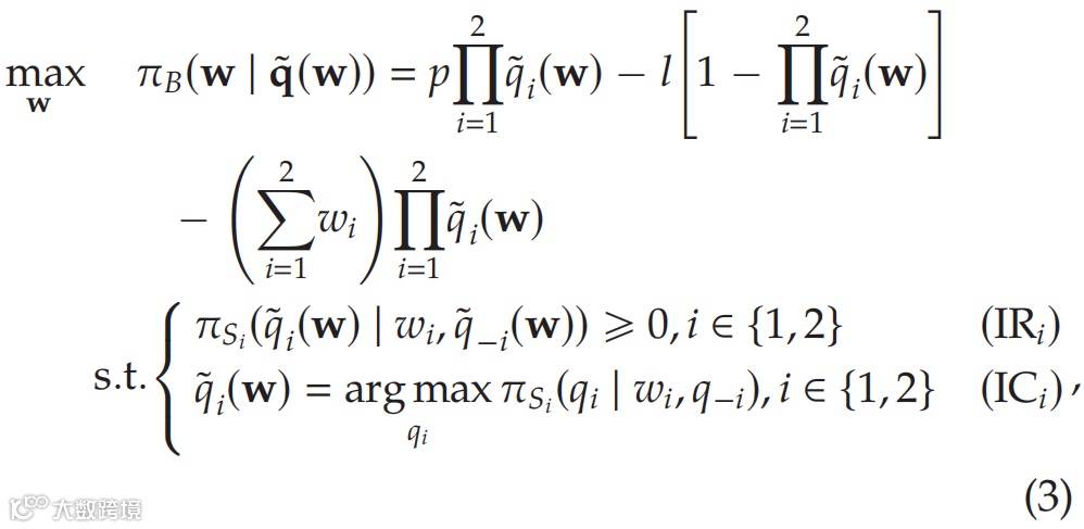
3 模型 2:平行供应链(Parallel Supply Chain)中区块链的价值
本节考虑由买方和两个供应商( 1 和 2 )组成的平行供应链,买方从两个供应商处采购相同产品,并向市场销售产品,如图 3 所示。

图3 平行供应链
3.1 基础模型
在平行供应链中,最终产品的质量水平完全取决于提供该产品的供应商的质量水平。买方可以使用可追溯性信息来跟踪供应商提供的产品,并降低产品召回成本。不失一般性地,作者假设买方从每个供应商处采购半个单位的产品,并向市场总共销售一个单位。其它参数与串行供应链模型相同。在平行供应链中,买方向供应商i提供具有批发价格的或有付款合同,供应商同时选择各自的质量水平 和 。接下来,根据供应链是否可溯源,分别考虑平行供应链结构下各企业的契约问题。
3.1.1
不考虑可溯源性区块链技术
在不考虑可溯源情况下,如果没有产品缺陷发生,即两个供应商都没有缺陷,买方获得收入
并支付给每个供应商
;然而,一旦出现产品缺陷,即至少一个供应商的产品存在缺陷,买方将遭受全部损失,并且不向任何一个供应商付款。若没有可追溯性,买方将无法追溯是哪个供应商提供了哪种产品,因此,只要发现有缺陷的产品,就必须召回市场中所有产品,买方的契约问题可表示为:
其中,表示每个供应商的预期利润函数。
3.1.2
考虑可溯源性区块链技术
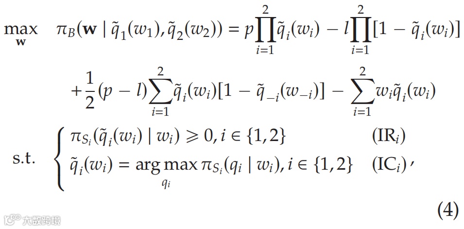
在考虑可溯源技术的情况下,若两个供应商的产品都没有缺陷或都存在缺陷,可追溯性不会产生影响;若只有一个供应商的产品存在缺陷,买方能够区分有缺陷和无缺陷的产品,只需要从市场上召回有缺陷的产品。因此,买方蒙受
的损失,同时从销售无缺陷产品中获得
的收入。相应地,买方只向没有产品缺陷的供应商付款。买方的契约问题可表述为:
其中,表示每个供应商的预期利润函数。
3.2 可溯源性对质量合同的影响
定理 3:在平行供应链中,(a) 可溯源性总是会降低批发价格;(b) 存在产品缺陷的损失阈值 ,则可溯源性能够提高供应商质量水平;反之,则会降低供应商质量水平。
• 定理 3 总结了可溯源性对平行供应链中均衡批发价格和质量水平的影响。在不可溯源情况下,每个供应商都有可能因为另一个供应商的产品缺陷而损失货款,因此,买方需要提供更高的批发价格以吸引供应商参与。相比之下,在产品缺陷可溯源时,供应商只有在自身产品存在缺陷的情况下才会失去批发价付款,因此买方可以相应地降低批发价格。
• 在平行供应链中,可溯源性能够提高或降低供应商的质量水平。一方面,可溯源性能够有效缓道德风险带来的负面影响,一个供应商将不再因另一个供应商的过错而受到惩罚,增加了供应商提高质量的动力;另一方面,当产品缺陷发生时,可溯源性可以显著降低买方的成本,买方无需从市场上召回所有产品,并且仍然可以获得无缺陷产品的收入。因此,买方不太担心产品缺陷,更愿意通过提供更低的批发价格降低质量水平和可溯源性。上述两个方面的原因导致,在平行供应链中,区块链的可溯源性对每个供应商质量水平的影响不能一概而论,具体而言:
-
当产品缺陷的损失较大时,买方因灵活的产品召回政策而节省的成本较为可观,在这种情况下,买方更倾向于较低的质量水平和较低的批发价格,这使得供应商提高产品质量水平的动机下降;而当产品缺陷的损失较小时,情况正好相反,产品可溯源性将提高供应商的质量水平。
• 综上,在平行供应链中,上述两种效应以相反的方向影响供应商的质量决策。此外,启用可溯源技术并非总是有利于消费者,尤其是当产品缺陷损失较大时,采用可溯源技术可能会导致更低质量的产品,从而损害消费者福利。
3.3 区块链应用的管理启示
定理 4:在平行供应链中,(a) 可溯源性总是能够提高买方的预期利润以及供应链总利润;(b) 若 ,则可溯源性能够提高每个供应商的预期利润,反之则会降低每个供应商的期望利润。
• 在平行供应链中,区块链的可溯源性以两种方式产生影响。首先,可溯源性能够帮助买方实现灵活的产品召回,并消除召回非缺陷产品带来的损失。其次,可溯源性能够消除一个供应商因其它供应商的过错而遭受损失的可能性,从而减轻道德风险带来的负面影响。上述两个方面的因素都有助于提高供应链的整体利润,因此平行供应链应采用区块链技术。
• 可溯源性总是能够提高平行供应链中买方的利润,但可能会损害平行供应链中供应商的利润。买方既受益于因灵活的产品召回而减少的损失,也受益于因减轻道德风险而减少的代理成本。然而对供应商来说,尽管可溯源性能够使供应商不会因其它供应商的过错而遭受损失,但当买方因灵活的产品召回而大幅降低批发价格时,会给供应商造成更大的利润损失。这意味着,平行供应链中买方和供应商对于是否采纳区块链技术有相反的偏好,导致区块链可能无法推行,除非买方愿意与供应商共享部分收益,以便供应商也能通过可追溯性获得更高利润。
4 区块链设计
在采用区块链技术时,企业还需决定区块链的运行方式。例如,设计区块链成员资格档案,包括公司是否被允许加入区块链,可以访问和记录哪些数据,以及可以在区块链上执行哪些活动等;设计区块链实施的控制机制,包括一家公司是否应该为访问其他公司的数据付费,如何达成共识,以及如何通过智能合约(smart contract)自动执行合同。
4.1 数据权限
当采用区块链技术时,还需要确定区块链中的所有参与者是否应自动被授予访问可追溯性数据的权限。接下来,作者分别考虑串行供应链和平行供应链中的受限数据许可方案,并通过分析受限数据许可下的最优合同揭示了可溯源区块链的最佳数据许可策略。
4.2.1
串行供应链
在数据许可受限的串行供应链中,每个供应商与买方共享自己的可追溯性数据,而不是彼此共享。由于无法获取上游供应商的可溯源性数据,下游供应商无法根据上游供应商的产品质量结果向上游供应商付款。在这种情况下,买方直接与两个供应商签订合同,因此两个供应商获得相同的批发价格,即:受限数据许可方案改变了串行供应链中的合同方案。
定理 5:在串行供应链中,存在阈值 使得当 时,数据许可不受限情况下供应链总利润更高;而当 > 时,数据许可受限情况下供应链总利润更高。
定理 5 表明,供应链是否应采用受限的数据许可方案主要取决于供应商提高产品质量所需的成本。在数据许可受限的情况下,由于买方直接与两个供应商签订合同,因此采用区块链能够更有效地消除双重道德风险,但与此同时也产生了单一的道德风险。因此,两种数据许可方案之间的比较可以转为比较单一和双重道德风险导致的效率损失。在数据许可不受限情况下,当质量改进成本较低(即 )时,下游供应商更愿意提高自己的质量,这意味着其补偿上游供应商的激励进一步下降,这反过来能够促进上游供应商提高质量,并限制了供应链从较低的质量改进成本中获益的整体能力。此时,供应链在受限数据许可下更有效。因此,在串行供应链中,可溯源区块链的最佳采纳方式可能不会授予所有公司数据访问权,一对一数据共享(one-on-one data sharing, 买方和每个供应商之间)在某些情况下比完全数据共享对供应链更优。
4.2.2
平行供应链
在数据许可受限的平行供应链中,每个供应商彼此共享可追溯数据,但不与买方共享。在这种情况下,买方无法实现灵活的产品召回政策。因此,只有在没有产品缺陷的情况下,买房才会向供应商付款。然而,由于供应商可以使用可溯源数据来确定谁的产品是有缺陷的,因此供应商之间可以拟定合同,如果只有一个供应商被证明是有缺陷的,则有缺陷的供应商应向无缺陷的供应商支付 。
定理 C.1:在平行供应链中,数据许可不受限情况下,供应链的总利润总是最佳的。
定理 C.1 表明,在平行供应链中,不限制任何公司的数据许可总是最佳的。在数据许可受限情况下,从有缺陷供应商到无缺陷供应商的均衡转移支付为零,因此均衡利润下降至无可追溯性供应链的利润水平。因此,与串行供应链不同,当采用可溯源区块链时,平行供应链始终受益于数据共享网络(network data sharing)。
4.2 共识机制
在第 4.1 节中,作者已经确定了最大化供应链利润的最佳数据许可策略。然而,最佳数据许可策略能否被选择,还取决于企业在采纳区块链时如何做出这个决定。接下来,作者考虑了两种决策方法:一种是中心化共识机制,另一种是去中心化的共识机制。在中心化共识机制中,买方决定数据许可策略,例如沃尔玛等零售商作为主导的供应链。在去中心化共识机制中,区块链中所有企业都将对数据许可策略进行投票,并根据多数原则选择区块链的数据许可策略。
4.2.1
串行供应链
为了研究企业如何达成共识,首先需要了解每个企业的数据许可策略偏好。
命题6:在串行供应链中,存在阈值 和 (其中 ),满足以下条件:(a)如果 ,则买方更喜欢无限制的数据许可,如果 ,则更喜欢受限的数据许可;(b)下游供应商总是更喜欢无限制的数据许可。(c)如果 ,则上游供应商更喜欢无限制的数据许可,如果 ,则更喜欢受限的数据许可。
• 买方的偏好取决于激励供应商提高产品质量的效率。当质量改进成本较高( )时,数据许可不受限情况下,供应商更愿意提高质量,相应地,买方更偏好不受限的数据许可;反之,买方更偏好受限的数据许可策略。
•下游供应商总是更偏好不受限的数据许可策略,此时下游供应商在与上游供应商签订合同中,保留更高的批发价格并向上游供应商支付更少的费用。
•上游供应商的偏好取决于质量改进成本,即比较单一和双重道德风险导致的效率损失。当质量改进成本较低(即 )时,上游供应商受益于跟买方直接签订合同,因此,更加偏好受限的数据许可策略;反之,上游供应商更喜欢不受限数据权限。
定理 6:在串行供应链中,中心化和去中心化的共识机制导致相同的数据许可策略被选择。在两种机制下,(a)如果 ,则将选择不受限制的数据许可,这是供应链的最佳策略;(b)如果 ,则将选择不受限制的数据许可,这不是供应链的最佳策略;(c) 如果 ,则将选择受限制的数据许可,这是供应链的最佳策略。
定理 6 表明,在串联供应链中,中心化和去中心化的共识机制将导致相同的数据许可策略。正如命题 6 所示,总会存在至少一个供应商的偏好与买家一致。因此,即使所有公司投票决定数据许可政策,也将选择买家首选的数据许可。特别是当质量成本足够高时,将选择无限制的数据许可策略;否则,将选择受限的数据许可策略。
4.2.2
平行供应链
在平行供应链中,买方总是倾向于不受限制的数据许可策略,因为能够访问供应商的可追溯数据可以使买方实现灵活的产品召回。因此,中心化共识机制将导致始终选择不受限制的数据许可,这也是供应链的最佳政策。
定理 C.2:在平行供应链中,(a) 在中心化的共识机制下,将始终选择无限制的数据许可,这是供应链的最优策略;(b)在去中心化的共识机制下,(i) 如果 ,则选择无限制的数据许可,这是供应链的最优策略;(ii)如果 ,则选择受限制的数据许可,这不是供应链的最优策略。
相比之下,当产品缺陷造成的买家损失很大时(即 ),供应商倾向于受限制的数据权限策略,而平行供应链中供应商人数比买方多,因此,在去中心化机制下,供应链的均衡策略为受限制的数据权限策略,这将损害供应链利润。因此,与串行供应链不同,平行供应链中应该使用中心化共识机制来确定数据权限策略。
4.3 数据治理
数据治理,是确保数据在真实性、一致性、可用性方面的数据质量准则与实践。可追溯性数据的质量取决于记录到区块链中的数据类型以及数据记录方式是否容易受到欺诈,这些因素会严重影响供应链如何有效地识别导致缺陷的供应商和缺陷产品。
• 平行供应链中的最佳数据质量总是高于串行供应链。在串行供应链中,数据质量越高,识别缺陷供应商的概率越高。在平行供应链中,更高水平的数据质量不仅对应于更高的识别缺陷供应商的概率,还对应于更灵活的缺陷产品召回,从而为供应链带来更高的价值。
• 平行供应链中供应商选择的数据质量能够减少产品缺陷损失,而在串行供应链中则会增加产品缺陷损失。
• 在串行供应链中,供应商的最佳数据质量水平与供应链的最优数据质量水平之比更高,表明供应商增强数据治理的动机与供应链优化目标更为一致。
4.4 区块链设计总结
当用作加密货币的分散分类账系统时,区块链通常创建为公共区块链,任何人都可以加入区块链、访问数据并参与决策过程。不同的是,供应链的区块链应为私有区块链(例如,Hyperledger Fabric、Quorum、R3 Corda),只有经过授权的参与者才能加入区块链,公司对数据的访问可能受到限制。
• 当创建可溯源区块链时,企业需要在设计成员档案和控制机制时纳入中心化特征。
• 在串行供应链中,区块链不应该自动授予所有企业数据访问权。当供应商质量改进成本较低时,限制供应商访问对方的可追溯性数据的权限可以促使他们直接与买方单独签约,从而提高供应链效率。
• 在平行供应链中,虽然不需要限制对可追溯性数据的访问,但需要有一个由买方主导的中心化的共识机制来管理区块链的数据许可政策,以防止供应商形成一个子网络来共享数据。
• 当在平行供应链中实施可溯源区块链时,数据治理比在串行供应链中更关键。一方面,确保被记录到区块链中的可追溯性数据的高质量可以给平行供应链带来更高的价值。另一方面,在平行供应链中,供应商加强数据治理的动机与供应链的优化不太一致,供应链从业者应该对记录哪些类型的数据(如质量的事后或事前衡量)以及如何在区块链中记录(如通过物联网传感器或跟踪设备)更加谨慎。
• 买方应该愿意补偿供应商,特别是在平行供应链中,补偿他们为提高数据质量所做的努力,从而使供应链能够更接近于最佳的数据治理制度。
5 主要结论
本文对不同供应链结构下(串行供应链和平行供应链)可溯源性区块链的价值和设计进行了理论研究。研究表明:
• 在串行供应链中,两个供应商按顺序生产并共同确定最终产品的质量。串行供应链中的双重道德风险导致上游供应商缺乏提高产品质量的动机,而可溯源性技术能够有效缓解供应链中的双重道德风险,提高产品质量和所有企业的利润并实现双赢;
• 在平行供应链中,供应商可能会因另一个供应商的产品缺陷而遭受损失,可溯源性技术能够帮助买方实现灵活的产品召回,并且通过消除供应商平白遭受损失的可能性,减轻道德风险带来的负面影响。然而,当买方因灵活的产品召回而大幅降低批发价格时,也会给供应商造成利润损失。因此,平行供应链中的买方和供应商对于是否采纳区块链技术看会产生利润冲突,买方应与供应商共享部分收益以便更好地推行区块链有效实施。
参考文献
Yao Cui, Ming Hu, Jingchen Liu (2023) Value and Design of Traceability-Driven Blockchains. Manufacturing & Service Operations Management. https://doi.org/10.1287/msom.2022.1161.
本文由参与运筹OR帷幄「论文解读」项目的同学们共同完成,后续他们也将继续精读相关论文并撰写文章。如果你也对这一方向感兴趣,希望与本文作者交流讨论或参与论文精读,欢迎向我们投递简历。
投递邮箱:operations_r@163.com
投递格式 :招聘+论文解读项目+姓名
简历中请写明自己的教育背景,主要课程和感兴趣的研究方向(本科生),研究方向和相关科研经历(研究生),在邮件中补充自己对加入「运筹OR帷幄」的愿景和对论文精读/导读计划的期待,并简要解释自己如何可以对论文计划产生贡献。
微信公众号后台回复
加群:加入全球华人OR|AI|DS社区硕博微信学术群
资料:免费获得大量运筹学相关学习资料
人才库:加入运筹精英人才库,获得独家职位推荐
电子书:免费获取平台小编独家创作的优化理论、运筹实践和数据科学电子书,持续更新中ing...
加入我们:加入「运筹OR帷幄」,参与内容创作平台运营
知识星球:加入「运筹OR帷幄」数据算法社区,免费参与每周「领读计划」、「行业inTalk」、「OR会客厅」等直播活动,与数百位签约大V进行在线交流
文章须知
论文解读:盛佳豪,黄泽雨,张琪,杨子豪,孙楚天
责任编辑:张琪,马玺渊
微信编辑:疑疑
文章由『运筹OR帷幄』原创发布
如需转载请在公众号后台获取转载须知
关注我们
FOLLOW US





