新版《商业银行资本管理办法》实施:国内信用证资本计量优化
新规明确区分货物与服务贸易、期限维度,调整信用转换系数,推动国内证业务规范发展

原创声明 | 本文解读作者为金融监管研究院 高级研究员 陈菲,欢迎个人转发,谢绝媒体、公众号或网站未经授权转载。
新版《商业银行资本管理办法》(国家金融监督管理总局令第4号)已于2024年1月1日起施行[1]。其中,针对国内信用证的信用转换系数进行了结构性调整,成为市场关注重点。

本次正式文件相较2月征求意见稿的最大变化在于:不再统一将国内信用证信用转换系数设定为100%,而是根据是否涉及货物/服务贸易及期限进行差异化设置[1]:

此次调整体现了“实质重于形式”原则,填补了2016年国内信用证扩展至服务贸易后在资本计量上的政策空白[1]。同时,在票据监管趋严背景下(如商业汇票最长付款期限缩短至6个月、银行承兑余额占比受限),一年期国内信用证叠加福费廷融资的优势凸显,业内预期部分票据需求或将转向国内信用证[1]。
一、国内信用证及其融资要义
涵义
国内信用证是指银行依照申请人申请开立的、对相符交单予以付款的不可撤销人民币跟单信用证,分为即期和远期两类,最长付款期限不超过一年,属于服务于国内贸易的结算工具[1]。
应用场景
适用于国内企事业单位之间的货物贸易和服务贸易,涵盖运输、咨询、建筑、保险、信息、专有权利使用等服务领域[1]。
基本流程
主要涉及买卖双方及其开户银行,其他参与方可包括通知行、交单行、议付行等。即期信用证需在收到相符单据后5个工作日内付款,远期信用证则需确认到期付款并在到期日履行付款义务[1]。

银行在受理开证申请时,须审核申请人资信、贸易背景真实性,并确保信用证内容与合同一致,包括买卖双方身份、金额、货物描述、运输单据及最迟装运日期等要素[1]。
二、国内信用证福费廷
国内证卖方融资以福费廷为主,指银行无追索权地买入已获开证行或保兑行承兑的未到期债权,实现应收账款买断[1]。该模式广泛应用于钢铁、金属、公共设施、运输及融资租赁等领域[1]。
适用场景与流程
客户与银行签署福费廷协议后,银行买入经承兑的应收账款,在扣除利息后提前放款;到期后由开证行付款完成回收[1]。此模式可加速企业资金回笼、改善财务报表,并支持资产在二级市场流转[1]。

业务优势
相较于其他卖方融资方式,福费廷的核心优势在于无追索权、适用大额长期交易[1]。
对企业:可在不占用授信额度的情况下实现融资,提前收款优化现金流和财务结构[1]。
对银行:一是提升收益,福费廷作为信贷资产可自营或交易,带来利息与中间业务收入;二是带动存款沉淀;三是降低风险资产占用——尤其是短期货物贸易项下仅按20%转换系数计提,且福费廷资产可跨境转让,联通境内外市场[1]。
对于“自开自贴”类业务,开证行资本占用不受影响;但对于跨行操作(A行开证、B行议付),议付行按开证行信用占用资本,成本更具优势[1]。
三、国内证福费廷主要风险及案例
随着国内信用证被更多用于融资通道,交易背景真实性问题成为主要风险点[1]。
交易背景真实性风险
福费廷基于单据“表面真实性”审核,关联企业自开自单现象频发。尽管监管要求穿透审查,但部分银行在已有承兑承诺情况下放松核查,易引发虚假贸易或单据伪造导致的垫款与同业纠纷风险[1]。
增值税发票核查风险
发票是验证贸易真实性的核心单据。然而企业可在福费廷办理后以“销货退回”等理由作废发票,导致前期核查失效,贸易真实性存疑[1]。
典型案例为“售后回租”模式下的国内信用证业务。国家金融监督管理总局曾通报此类违规:开证申请人以售后回租为背景开证支付租金,融资租赁公司作为受益人随即办理福费廷回笼资金。实质为利用通道套取银行融资,形成资金空转[1]。
主要问题包括:
监管部门已要求银行严禁多层嵌套、脱实向虚行为,严格落实穿透管理,补提风险加权资产并整改问责[1]。
四、经济资本占用解析
根据原《商业银行资本管理办法(试行)》,与贸易直接相关的短期或有项目信用转换系数为20%,适用于货物贸易项下有优先索偿权的跟单信用证;而“等同于贷款”的授信业务为100%[1]。此前国内证普遍按20%执行,显著低于银行承兑汇票(100%),成为银行节约资本的重要工具[1]。
征求意见稿曾拟将国内证统一调整为100%,引发市场关注。最终正式文件采取分层管理思路,延续《巴塞尔协议Ⅲ》关于“short-term self-liquidating trade letters of credit”适用20% CCF的原则,明确货物贸易项下短期货证仍享受低资本占用优势[1]。
新规既保留了货物贸易国内证的比较优势,又对服务贸易及长期证提高了资本要求,体现分类监管导向,有利于推动银行优化客户结构与风险管理[1]。

商业银行资本监管办法核心内容解读
资本充足率、杠杆率及风险加权资产计量规则详解
系统重要性银行须同时满足相关办法规定的附加资本监管要求[k]。
资本监管指标包括资本充足率和杠杆率[k]。其中,资本充足率指商业银行持有的符合规定的资本净额与风险加权资产的比率;一级资本充足率指一级资本净额与风险加权资产的比率;核心一级资本充足率为核心一级资本净额与风险加权资产的比率[k]。杠杆率则为一级资本净额与调整后表内外资产余额的比率[k]。
商业银行按机构规模划分为三档,适用差异化监管要求[k]:
- 第一档:并表口径调整后表内外资产余额≥5000亿元人民币,或境外债权债务余额≥300亿元且占总资产≥10%[k];
- 第二档:资产余额≥100亿元但未达第一档标准,或资产<100亿元但存在境外债权债务[k];
- 第三档:资产余额<100亿元且无境外债权债务[k]。
国家金融监督管理总局有权根据行业整体情况或单家银行风险状况调整机构档次划分[k]。
资本监管指标计算须以充分计提贷款损失准备等减值准备为基础[k]。商业银行应建立全面风险管理架构和内部资本充足评估程序,并按规定进行信息披露[k]。
未并表资本监管范围包括商业银行境内外所有分支机构;并表范围包括商业银行及其符合控制标准的直接或间接投资的金融机构[k]。控制标准主要包括持股50%以上,或虽持股50%以下但能通过协议或其他安排实现控制[k]。
即使不控股,若被投金融机构业务同质性强、整体风险重大,或其合规、声誉风险可能严重影响银行集团,也应纳入并表范围[k]。但符合规定的保险公司不纳入并表,相关投资应按规定扣除[k]。
已破产、清算或因外汇管制资金调度受限的境外机构,可不纳入并表范围,相应资本投资应从各级资本中扣除[k]。
资本充足率计算公式为:
杠杆率计算公式为:
调整后表内外资产余额=调整后表内资产余额(不含衍生工具和证券融资交易)+衍生工具资产余额+证券融资交易资产余额+调整后表外项目余额-一级资本扣除项[k]。计算时不考虑抵质押品、保证等信用风险缓释因素[k]。
资本充足率监管要求包括最低资本要求、储备资本(风险加权资产的2.5%,由核心一级资本满足)、逆周期资本、系统重要性银行附加资本及第二支柱资本要求[k]。
最低资本监管要求为:[k]
- 核心一级资本充足率≥5%;
- 一级资本充足率≥6%;
- 资本充足率≥8%[k]。
系统重要性银行需额外计提附加资本,若同时被认定为国内和全球系统重要性银行,附加资本按孰高原则确定[k]。国家金融监督管理总局可在第二支柱框架下提出更高审慎资本要求[k]。
杠杆率不得低于4%,系统重要性银行还需满足附加杠杆率要求[k]。
总资本包括一级资本(核心一级资本和其他一级资本)和二级资本[k]。核心一级资本包括实收资本、资本公积、盈余公积、一般风险准备、未分配利润等[k]。其他一级资本包括其他一级资本工具及其溢价等[k]。二级资本包括二级资本工具及其溢价、超额损失准备(权重法下不超过信用风险加权资产的1.25%,内部评级法下不超过0.6%)等[k]。
计算资本充足率时,应从核心一级资本中全额扣除商誉、其他无形资产(土地使用权除外)、由经营亏损引起的净递延税资产、损失准备缺口、资产证券化销售利得、直接或间接持有的本行股票等项目[k]。
商业银行之间相互持有的资本工具,以及直接或间接持有本行发行的其他一级或二级资本工具,应从相应层级资本中扣除[k]。
对未并表金融机构的小额少数资本投资,超出本行核心一级资本净额10%的部分应从各级监管资本中扣除[k]。大额少数资本投资中,核心一级资本投资超出10%的部分应从本行核心一级资本中扣除,其他投资应全额扣除[k]。
依赖未来盈利的净递延税资产,超出核心一级资本净额10%的部分也应扣除;未扣除的大额少数资本投资与相应净递延税资产合计不得超过核心一级资本净额的15%[k]。
附属公司发行的少数股东资本,在满足条件的情况下可部分计入并表监管资本[k]。
商业银行可采用权重法或内部评级法计量信用风险加权资产[k]。第一档银行须按附件规定分类并计量;第二档银行按特定条款执行[k]。采用内部评级法须经监管验收,且资产覆盖率申请时不低于50%[k]。未经批准不得变更计量方法[k]。
商业银行信用风险加权资产计量方法详解
权重法与内部评级法的核心规则与风险权重设定
内部评级法资产覆盖率计算公式为:按内部评级法计量的风险加权资产除以(按内部评级法计量的风险加权资产+按权重法计量的内部评级法未覆盖信用风险暴露的风险加权资产)乘以100%[k]。
商业银行采用内部评级法,须依据相关附件对银行账簿信用风险暴露进行分类,建立内部评级体系,并计量信用风险加权资产[k]。可审慎考虑信用风险缓释工具的风险抵补作用,并可采用监管映射法计量专业贷款信用风险加权资产[k]。交易对手信用风险、中央交易对手风险、资产证券化及资产管理产品风险暴露的计量,应分别遵循指定附件规定[k]。
第二节 权重法
权重法下信用风险加权资产为银行账簿表内资产与表外项目信用风险加权资产之和[k]。表内资产计量应先扣除减值准备,再乘以风险权重;表外项目需乘以信用转换系数转化为等值表内资产后计量[k]。
现金及现金等价物风险权重为0%[k]。境外主权及公共部门实体风险权重依据所在国家或地区外部评级确定,评级AA-及以上为0%,逐级递增至B-以下为150%;未评级为100%[k]。对国际清算银行、IMF、欧洲央行等特定国际机构风险暴露风险权重为0%[k]。
多边开发银行中,经巴塞尔委员会认定的合格机构风险权重为0%;其他机构依据其评级,AA-及以上为20%,逐级递增至B-以下为150%;未评级为50%[k]。我国中央政府及央行风险暴露风险权重为0%[k]。
我国省、自治区、直辖市及计划单列市人民政府一般债券风险权重为10%,专项债券为20%[k]。其他一般公共部门实体风险暴露为50%[k]。开发性金融机构及政策性银行风险暴露(不含次级债权)风险权重为0%[k]。
境内外商业银行风险暴露风险权重依据标准信用风险评估结果确定:A+级为30%,A级为40%,B级为75%,C级为150%;三个月内或因跨境货物贸易六个月内风险暴露可享较低权重[k]。第二档商业银行对境内外其他商业银行风险权重统一为40%(短期为20%)[k]。
其他金融机构风险暴露一般为100%,符合规定的投资级机构为75%[k]。公司风险暴露一般为100%,投资级公司为75%,中小企业为85%,小微企业为75%[k]。专业贷款中,物品与商品融资为100%;项目融资运营前为130%,运营阶段为100%[k]。
个人风险暴露中,监管零售类为75%,合格交易者为45%,其他为100%[k]。第二档商业银行个人住房抵押贷款风险权重为50%,追加贷款用于房地产投资部分为150%[k]。房地产开发风险暴露为150%,符合审慎要求的为100%[k]。
居住用房风险暴露根据还款依赖现金流情况及贷款价值比(LTV)分级设定权重,符合审慎要求且LTV≤50%最低为20%,最高105%;商用房地产风险暴露符合要求且LTV≤60%最低为65%,最高110%[k]。自用不动产为100%,非自用为400%;因抵押权持有且在处分期内为100%[k]。
存在币种错配的个人及居住用房风险暴露,风险权重为原权重的1.5倍,最高不超过150%[k]。租赁资产余值为100%[k]。工商企业股权投资中,被动持有、债转股、受补贴股权为250%,其他为1250%[k]。
次级债权(不含我国政策性银行)及全球系统重要性银行TLAC工具为150%;我国政策性银行次级债权为100%[k]。金融机构股权投资、依赖银行未来盈利的净递延税资产适用250%风险权重[k]。
合格资产担保债券依据外部评级或发行行评估结果确定权重:AA-及以上为10%/15%,逐级递增至B-以下为100%[k]。已违约风险暴露中,以居住用房抵押且还款不依赖房地产现金流的为100%;其他违约暴露若准备低于20%则为150%,否则为100%[k]。其他资产统一为100%[k]。
表外项目信用转换系数:等同贷款授信为100%;贷款承诺为40%(可无条件撤销为10%);未使用信用卡额度一般为40%,符合特定条件为20%[k]。票据发行便利为50%;与贸易相关的短期或有项目为20%(国内信用证服务贸易为50%);交易相关或有项目为50%;证券借出、资产买卖协议、远期交易等为100%[k]。
证券、商品、外汇清算形成的风险暴露应按附件规定计量[k]。使用合格质物、保证或信用衍生工具可缓释风险,分别取得质物、保证人或保护提供方的风险权重[k]。期限错配需按规调整,币种错配一般需调整,但质物例外[k]。质押风险暴露风险权重不低于20%,特定条件下可豁免[k]。
第三节 内部评级法
银行账簿信用风险暴露应分为六类:主权、金融机构、公司(含中小、专业贷款、一般公司)、零售(含房贷、循环零售等)、股权及其他(含应收账款、证券化产品、资管产品)[k]。前三大类统称非零售风险暴露[k]。
股权风险暴露不得采用内部评级法计量;金融机构及年营收超30亿元或满足特定关联条件的一般公司风险暴露不得采用高级内部评级法[k]。
未违约非零售风险暴露计量基于违约概率、违约损失率、违约风险暴露、相关性及有效期限;零售风险暴露基于资产池维度;已违约风险暴露基于违约损失率、预期损失率及违约风险暴露[k]。
商业银行应按规定方法确定违约概率[k]。国家金融监督管理总局有权根据实际风险水平调整部分资产风险权重[k]。
商业银行风险加权资产与资本充足评估核心规则解析
涵盖信用、市场、操作风险计量及内部资本充足评估程序
主权风险暴露的违约概率由商业银行内部估计的1年期违约概率确定[k]。公司和金融机构风险暴露的违约概率为其内部估计值与0.05%中的较大者,但由主权提供合格保证担保的部分不受该底线约束[k]。零售风险暴露的违约概率为其内部估计值与0.05%中的较大值;其中,一般循环零售风险暴露适用0.1%的底线标准[k]。若存在合格保证或信用衍生工具,商业银行可采用保证人或信用保护提供方的违约概率替代债务人违约概率[k]。
对于违约损失率(LGD),采用初级内部评级法的商业银行,对无合格抵质押品的主权和金融机构高级债权、次级债权分别设定45%和75%的LGD,公司类债权则为40%和75%[k]。使用高级内部评级法时,非零售风险暴露的LGD基于内部估计,但公司风险暴露中无合格抵质押品的LGD不低于25%;提供合格抵质押品的,依据质押类型适用10%或15%的底线,金融质押品除外[k]。零售资产池的LGD由银行内部估计,个人住房抵押贷款不低于10%,合格循环零售不低于50%,其他零售风险暴露视抵质押情况适用30%、10%或15%的底线[k]。主权担保覆盖部分不受上述LGD底线限制[k]。
违约风险暴露(EAD)计量中,表内资产不考虑减值准备影响,且不得低于资本核销导致的监管资本下降额与减值准备之和[k]。初级内部评级法下,表内EAD按名义金额计量,可考虑合格净额结算的风险缓释效应;表外项目信用转换系数依相关规定执行[k]。高级内部评级法要求使用内部估计的非零售EAD,可循环表外项目采用内部估计的信用转换系数,其他情况按监管规定系数计算[k]。公司风险暴露的EAD为其内部估计值与表内风险暴露及表外项目50%计算值之和的较大者,主权担保部分不受此约束[k]。零售EAD由银行内部估计,计量方式与非零售类似[k]。
有效期限方面,初级内部评级法下非零售风险暴露为2.5年,回购类为0.5年[k]。高级内部评级法下有效期限为内部估计值与1年中的较大者,上限为5年,中小企业可采用2.5年[k]。短期风险暴露如1年内全额抵押的衍生品、贸易融资及3个月内短期交易,有效期限为内部估计值与1天中的较大者,需满足按日重估、及时平仓等条件[k]。
市场风险指因利率、汇率、股票和商品价格不利变动导致表内外业务损失的风险,资本计量覆盖交易账簿中的违约风险、利率风险、信用利差风险、股票风险及全账簿汇率与商品风险[k]。交易账簿包括以交易或对冲为目的持有的金融工具、外汇和商品头寸,其余划入银行账簿[k]。商业银行可采用标准法、内部模型法或简化标准法计量市场风险资本要求,未经监管批准不得变更方法[k]。使用内部模型法需以交易台为单位申请,覆盖率不低于10%,否则应切换至标准法[k]。市场风险加权资产为资本要求的12.5倍[k]。
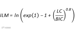
操作风险指因内部程序、员工、系统问题或外部事件造成的损失风险,含法律风险,不含战略与声誉风险[k]。第一档银行应采用标准法,第二档采用基本指标法[k]。标准法下操作风险资本要求(KTSA)等于业务指标部分(BIC)乘以内部损失乘数(ILM)[k]。BIC由业务指标(BI)及其累进边际资本系数决定,BI包括利息租赁股利、服务和金融三部分,近三年平均值计算[k]。边际资本系数按BI规模分档:80亿元以下为12%,80亿至2400亿元为15%,超过2400亿元为18%[k]。ILM基于近十年操作风险损失均值与BIC的调整关系确定,经监管验收的银行可自行计算[k]。基本指标法以近三年正向总收入为基础,资本要求为总收入均值的15%[k]。操作风险加权资产亦为资本要求的12.5倍[k]。
商业银行应建立完善的内部资本充足评估程序,涵盖风险识别、计量、监测与报告,确保资本水平与风险偏好和管理能力相匹配,并与发展战略相适应[k]。压力测试应作为重要组成部分,结合结果设定内部资本充足率目标,覆盖主要业务风险并考虑经济周期影响[k]。该程序应融入资本预算、授信决策和战略规划,薪酬政策应与风险调整后收益挂钩,防止过度冒险[k]。董事会承担资本管理最终责任,包括设定风险偏好、审批资本制度与规划、监督评估程序有效性,并至少每年审批资本充足率管理计划和相关报告[k]。
商业银行资本管理与监督检查机制
明确各级职责,强化风险评估与资本规划
商业银行董事会应确保银行具备足够资源,独立有效地开展资本管理工作。对于采用资本计量高级方法的银行,董事会还需审批相关管理体系实施规划与重大政策,监督高级管理层执行,确保资源支持体系运行[k]。
高级管理层负责根据业务战略与风险偏好组织实施资本管理,确保资本与业务发展、风险水平相适应。具体职责包括:制定资本管理制度、实施内部资本充足评估程序、制定资本规划与资本充足率管理计划、定期评估资本充足率并向董事会报告、开展压力测试并推动结果应用、建设信息管理系统以支持资本评估[k]。
若采用资本计量高级方法,高级管理层还需定期评估计量方法的合理性与有效性,听取验证工作汇报,履行体系建设、验证与优化职责[k]。
监事会应监督董事会及高级管理层在资本管理中的履职情况,并至少每年一次向股东大会报告[k]。
指定部门负责资本管理,包括:制定资本总量、结构与质量计划,编制并执行资本规划;持续监控资本充足率水平,开展压力测试;建立内部资本计量与风险调整资本收益评价体系;组织实施内部资本充足评估;建立资本应急补充机制;编制第三支柱信息披露文件[k]。
对于采用资本计量高级方法的银行,相关部门还需负责设计、实施、监控和维护高级计量方法,健全管理机制,向高级管理层报告计量结果,并组织各类风险压力测试[k]。
应设立独立的验证部门(团队),专门负责资本计量高级方法的验证工作,确保其独立于开发与运行部门[k]。
内部审计部门职责包括:评估资本治理结构与部门履职情况;每年至少一次检查内部资本充足评估程序、资本规划及资本充足率管理计划的执行情况;检查信息系统与数据管理的合规性与有效性;向董事会提交相关审计报告[k]。
若采用资本计量高级方法,内部审计还需评估方法的适用性与有效性,检查计量结果的可靠性与准确性,以及验证政策、程序的独立性与有效性[k]。
全面风险评估与压力测试机制
商业银行应依据监管要求设立主要风险识别与评估标准,覆盖信用、市场、操作风险,集中度风险、剩余操作风险,以及银行账簿利率风险、流动性风险、声誉风险、战略风险等未完全覆盖或未涉及的风险,还包括外部经营环境变化带来的风险[k]。
应采用定量与定性相结合的方法管理主要风险:对可量化风险完善计量技术,确保一致性与准确性;对难以量化风险建立识别、评估、控制与报告机制[k]。
需建立风险加总政策与程序,可采用多种方法,但至少应采取简单加总法,并判断结果的合理性。加总时应充分考虑集中度风险与风险传染效应;若考虑风险分散化,须基于长期实证数据,观察期至少覆盖一个完整经济周期,否则应审慎调整方法与假设[k]。
资本规划应综合考虑风险评估、压力测试、未来资本需求、监管要求与资本可获得性,设定至少三年的内部资本充足率目标,确保资本持续满足监管要求[k]。
目标资本水平应与业务战略、风险偏好、管理水平及外部环境相适应,兼顾短期与长期需求,考虑资本补充来源的可持续性[k]。
应审慎估计资产质量、利润增长与资本市场波动,充分考虑或有风险暴露、严重市场衰退等可能对资本产生重大负面影响的因素[k]。
应优先补充核心一级资本,增强内部资本积累能力,优化资本结构,提升资本质量[k]。
商业银行应开展前瞻性压力测试,测算不同压力条件下资本需求与可获得性,制定资本应急预案,确保在不利市场条件下具备充足资本[k]。
压力测试应作为风险识别与评估的重要工具。轻度测试结果的资本缺口应转换为资本加点,纳入第二支柱资本要求;重度测试结果应在应急预案中明确资本补充安排,包括筹资成本与可行性分析、限制高资本占用业务、风险缓释措施等[k]。
高级管理层应理解压力条件下风险及相互作用、资本工具的损失吸收能力,评估资本管理目标与应对措施的合理性[k]。
监测报告与监督检查机制
应建立内部资本充足评估的报告体系,定期监测并报告资本水平及影响因素变化,内容包括:主要风险状况及其对资本的影响、实际资本抵御风险的能力、资本覆盖风险的建议。报告范围、内容与频率应满足管理需要[k]。
应建立风险与资本计量管理的信息系统,具备以下功能:向董事会与高管层提供清晰、及时的总体风险信息;准确加总各业务条线风险暴露;动态识别集中度与潜在风险;管理风险缓释工具及其带来的风险;支持风险计量不确定性评估与假设变化分析;支持前瞻性情景分析;监测风险限额执行情况[k]。
应系统性收集、整理、跟踪风险数据,建立数据信息系统与质量控制政策,确保数据的真实性、完整性、全面性、准确性和一致性,满足资本计量与内部评估需要[k]。
数据管理系统应满足资本充足率非现场监管报表与第三支柱信息披露要求[k]。
应建立完整的文档管理平台,为内部审计与监管评估提供支持,文档包括:治理结构与职责履职情况、资本与风险管理政策流程、资本规划、评估报告、验证报告、压力测试报告、审计报告、会议纪要与重要决策意见等[k]。
资本充足率监督检查是国家金融监督管理总局审慎监管的重要组成部分,重点包括:评估全面风险管理框架;审查资本工具认定与风险加权资产计量的合理性;检查内部资本充足评估程序;评估各类风险及关联性;监督检查压力测试的组织、情景、数据、模型与结果应用[k]。
采用资本计量高级方法的银行须按规定申请,监管机构将评估并决定是否验收,同时开展持续监督检查[k]。
若银行不能持续满足高级方法运用要求,监管机构可要求限期整改;逾期未达标可取消其资格[k]。
监管机构通过非现场监管与现场检查实施监督检查,可根据内外部变化开展临时检查[k]。
银行应在年度结束后四个月内提交内部资本充足评估报告[k]。
监督检查程序包括:审查评估报告、制定检查计划、实施现场检查、初步确定监管资本要求、与高管沟通检查结果、书面反馈、持续监督落实[k]。
银行可在收到检查结果后60日内提出书面申辩,逾期未申辩视为接受结果。申辩应附董事会决议及相关证明材料[k]。
监管机构受理申辩后60日内作出书面答复。申辩期间,银行应执行既定监管要求并落实相关措施[k]。
银行应至少每季度报告未并表和并表后的资本监管指标,遇重大事项应及时报告[k]。
对于已建立并获认可内部资本充足评估程序的银行,监管机构根据其评估结果确定第二支柱资本要求;未建立或未达标的,根据风险状况、监管评级、压力测试等结果确定[k]。
第二支柱资本要求应在最低资本、储备资本、逆周期资本、系统重要性银行附加资本基础上确定[k]。
监管机构可根据单家银行操作风险管理水平及风险事件情况,提高其操作风险监管资本要求[k]。
可通过调整风险参数、设置风险加权资产底线等方式,提高特定资产组合资本要求,包括地方政府融资平台贷款、中长期贷款、行业贷款集中度、非自住个人住房抵押贷款等[k]。
对资本监管指标未达标的银行,监管机构可采取相应监管措施。根据资本充足状况,银行分为四类:
第一类:各项资本充足率均达标;
第二类:未达第二支柱要求,但不低于其他层级;
第三类:不低于最低要求,但未达其他层级;
第四类:任意一项未达最低要求[k]。
对第一类银行,监管机构支持稳健发展,但可采取预警措施,包括要求分析资本下降原因、制定资本管理计划、提升风险控制能力[k]。
对第二类银行,除上述措施外,还可与董事会和高管进行审慎会谈,下发监管意见书,明确问题、纠正措施与达标期限[k]。
商业银行资本监管强化:分类监管与信息披露新规
针对不同类别商业银行实施差异化监管措施,强化资本充足率与信息披露要求[k]
对于资本充足水平不达标的商业银行,国家金融监督管理总局及其派出机构将根据其风险状况采取分级监管措施。[k]
对第三类商业银行,在第一百七十五条、第一百七十六条基础上,可采取以下部分或全部监管措施:[k]
对第四类商业银行,除前述措施外,还可采取:[k]
- 要求大幅降低风险资产规模;[k]
- 责令停办高风险资产业务;[k]
- 限制或禁止增设新机构、开办新业务;[k]
- 强制资本工具减记或转为普通股;[k]
- 调整或限制董事、高管权利;[k]
- 依法接管、重组或撤销。[k]
对于仅未满足储备资本要求但满足最低资本要求的银行,其利润留存比例需按核心一级资本充足率区间执行最低标准:[k]
核心一级资本充足率区间 |
最低利润留存比例(占可分配利润) |
5%—5.625%(含) |
100% |
5.625%—6.25%(含) |
80% |
6.25%—6.875%(含) |
60% |
6.875%—7.5%(含) |
40% |
若银行使用核心一级资本弥补其他资本缺口,相关部分不计入上述区间计算基数。[k]
全球系统重要性银行若未满足储备资本、逆周期资本、附加资本或附加杠杆率要求,利润留存比例按更高标准执行,并遵循“孰高原则”确定留存比例。[k]
对杠杆率不达标的银行,监管机构可要求限期补充一级资本、控制资产规模;逾期未改或严重危及稳健运行的,可采取暂停部分业务、限制分红、停止增设分支机构、责令股东转让股权等措施。[k]
商业银行未按规定披露信息或提供虚假材料的,监管部门将依法责令改正并实施行政处罚。[k]
信息披露要求分级细化,强化透明度管理[k]
商业银行应通过公开渠道以简明清晰方式披露第三支柱信息,确保集中性、可获得性和公开性。[k]
信息披露内容应与银行业务复杂度相匹配。[k]
国内系统重要性银行需至少披露:[k]
- 风险管理与关键审慎指标;[k]
- 不同资本计量方法下的风险加权资产对比;[k]
- 资本与总损失吸收能力构成;[k]
- 利润分配限制;[k]
- 财务报表与监管风险暴露联系;[k]
- 资产变现障碍;[k]
- 薪酬机制;[k]
- 各类风险(信用、交易对手、市场、操作、银行账簿利率等);[k]
- 杠杆率、流动性风险等。[k]
非国内系统重要性银行(除第三档)应至少披露风险管理、关键审慎指标、资本构成及杠杆率信息。[k]
第三档商业银行应至少披露关键审慎监管指标和资本构成。[k]
信息披露须真实、准确、完整、一致且可比,由董事会批准、高级管理层实施内部控制流程审查,并在年度报告中体现相关流程。[k]
信息披露可独立或与财务报告合并进行,各期(季度、半年、年度)报告须经管理层签字并在官网披露。[k]
披露频率包括临时、季度、半年和年度:[k]
因故延迟披露需至少提前15个工作日申请批准。[k]
专有或保密信息可不具体披露,但需说明原因并作一般性陈述。[k]
适用范围与实施安排[k]
开发性金融机构、政策性银行、农村合作银行、村镇银行、农村信用社、财务公司、消费金融公司、金融租赁公司、汽车金融公司等参照执行,另有规定除外。[k]
外国银行在华分行参照规定计量人民币风险加权资产;金融资产管理公司执行杠杆率相关规定。[k]
商业银行若连续四个季度符合机构档次调整标准,应在第四季度结束后一个月内报告,监管机构可设定不超过一年的实施准备期。[k]
采用简化标准法或标准法的银行若连续四季度不满足条件,应按时报告,监管机构视情况调整其计量方法并设准备期。[k]
资本计量高级方法包括信用风险内部评级法和市场风险内部模型法,采用此类方法的银行须建立验证体系,并遵守并行期和资本底线要求。[k]
并行期自验收通过当年年底起至少持续三年;期间超额损失准备计入二级资本的比例受限:[k]
第一档商业银行并表资本充足率计量可适当简化:[k]
第一档银行应制定并报备并表资本充足率分步达标规划,监管机构据此采取相应措施。[k]
第二档银行并表时也可简化处理:[k]
外部信用评级使用标准普尔符号体系,但不限定评级机构,评级结果须符合附件25规定并保持连续性。[k]
本办法附件1至附件25为组成部分,涵盖资本工具合格标准、风险权重法、内部评级法、市场风险、操作风险、信息披露等多项实施细则。[k]
国家金融监督管理总局有权根据宏观经济、银行经营及风险水平等调整办法内容,本办法由其负责解释,自2024年1月1日起施行。[k]
原《商业银行资本管理办法(试行)》等相关规章同时废止,此前文件与本办法不一致的,以本办法为准。[k]
国内信用证及福费廷业务发展展望与创新机遇
资本新规背景下国内证业务趋势与风险解析
在资本新规实施背景下,国内信用证业务预计将保持良好发展态势,其中服务贸易领域的国内证应用有望实现突破性增长,涵盖公用事业、建筑工程承包、融资租赁及技术服务等多个方向[k]。
国内证业务的创新方向主要包括:国内证与进出口贸易、货物监管等场景的组合运用;在跨境结算领域探索国内证的新模式;推动国内证福费廷资产的跨境转让;并重点拓展服务贸易类国内证产品[k]。
产品延伸方面,将围绕期限结构、功能设计、利率机制和可转让性进行优化升级,打造适应资本新规要求的国内证延伸解决方案与应用体系[k]。
国内信用证项下福费廷业务的发展展望主要基于三方面:境内外利率走势、资本监管新规以及整体监管政策环境[k]。
同时,需重点关注国内证福费廷在境内流转与跨境流转过程中的操作风险与典型案例,提升风控能力[k]。
讲师介绍
讲师A:
ICC-CHINA保理福费廷专家,拥有逾十年外汇市场、大宗商品贸易及供应链融资实务经验。曾任职于农业银行国际业务部及贸易融资部,主导银行国际结算系统开发与上线,负责贸易融资条线整体规划及产品设计。同时担任总行内训师,开展数十场培训讲座,广受学员好评[k]。
讲师B:
某大型国有银行分行市场部副总经理,长期从事公司金融、跨境信贷及国际业务工作,参与多项重大课题研究,并在专业期刊发表多篇论文[k]。
讲师C:
大型城市商业银行交易银行部副总经理。曾任某国有银行总行首批高级产品经理、分行公司金融部副总经理,以及某城商行总行国际业务部副总、中心总经理等职[k]。



