题目:An explainable longitudinal multi-modal fusion model for predicting neoadjuvant therapy response in women with breast cancer
论文地址:https://www.nature.com/articles/s41467-024-53450-8
创新点
-
提出多模态反应预测(MRP)模型,融合乳腺X线摄影、MRI、组织病理学、临床及个人特征数据,用于预测乳腺癌患者对新辅助治疗(NAT)的反应。
-
采用跨模态知识挖掘策略,利用图像特征预测其他模态信息,增强特征提取与多模态整合能力,提升模型性能。
方法
研究开发并验证了一种名为多模态反应预测(MRP)的系统,旨在通过整合放射影像(乳腺X线摄影和MRI)、组织病理学、临床变量及患者个人数据,提升对乳腺癌新辅助治疗反应的预测准确性。系统采用深度学习技术,结合跨模态知识挖掘与时间信息嵌入策略,增强模型鲁棒性。通过多中心及国际读者研究评估MRP性能,并与放射科医生诊断结果对比,验证其在临床决策支持中的应用潜力。
乳腺癌新辅助治疗路径
该图展示了乳腺癌新辅助治疗(NAT)全流程,分为治疗前(Pre-NAT)、治疗中(Mid-NAT)和治疗后(Post-NAT)三个阶段。Pre-NAT阶段包括影像筛查、活检、组织病理分析及分期MRI检查,确定cTNM分期;Mid-NAT阶段通过中期MRI评估疗效并调整治疗方案;Post-NAT阶段通过术后组织学检查评估是否达到病理完全缓解(pCR),依据ypT和ypN标准进行病理分期。整个流程强调多源信息(影像、病理、临床和个人数据)的整合,以实现精准疗效评估。
MRP系统工作流程
MRP系统由两个独立模型组成:iMGrhpc基于治疗前乳腺X线摄影(MG)与rhpc变量(放射学、病理、临床和个人数据)进行预测;iMRrhpc则结合rhpc数据与包含时间信息的纵向MRI序列(基线与随访图像),模拟医生对动态影像的评估过程。最终,MRP整合两者的pCR预测概率,提供更全面的判断。系统在内部数据集(荷兰癌症研究所)训练,并在杜克大学、福建医科大学附属协和医院及I-SPY2三个外部数据集上验证泛化能力。
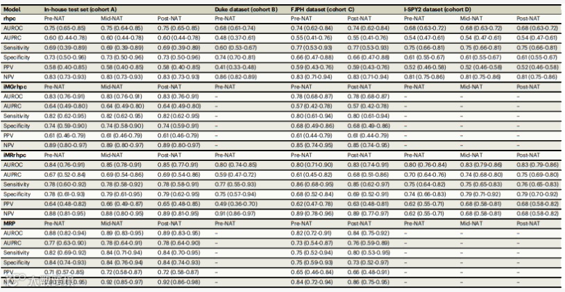
MRP系统性能对比
图示展示了MRP系统在Pre-NAT、Mid-NAT和Post-NAT三个阶段的预测性能,采用AUROC和AUPRC指标评估。结果显示,MRP在各阶段均优于基线模型和放射科医生平均表现,尤其在早期识别无反应患者和后期确认pCR方面表现出色,具备辅助临床决策的潜力。
实验结果
实验评估了多种模型在内部及三个外部测试集上的表现,包括rhpc、iMGrhpc、iMRrhpc及MRP系统。MRP在所有数据集中均取得最优性能,在Pre-NAT阶段AUROC平均提升约11%,AUPRC提升约10%。其在不同治疗阶段均保持高预测精度,且在跨机构、跨国数据中展现出良好泛化能力。相比之下,单模态或部分多模态模型性能有限。结果表明,多模态数据融合显著提升预测准确性,验证了MRP系统的临床应用价值。

