点击上方蓝色字体,关注我们哦
公示
根据《广州市科技计划项目管理办法》(穗科规字〔2019〕3号)有关规定,现对2019年广州市科技与金融结合计划科技金融补助专题拟后补助名单予以公示。公示时间为2019年9月16日至9月20日。
相关单位或个人对公示有异议的,可在公示期内向我局提出复核申请(受理地址:广州市府前路1号市府大院4号楼东座813室,联系电话:83124175,邮政编码:510032)。单位提出申请复核的,应当明确复核内容及理由,并加盖单位公章,注明联系人和联系方式;个人提出申请复核的,应当明确复核内容及理由,签署真实姓名,注明联系方式。未按上述要求提出复核申请的,不予受理。
附件:2019年广州市科技与金融结合计划科技金融补助专题拟后补助名单.pdf
广州市科学技术局
2019年9月16日
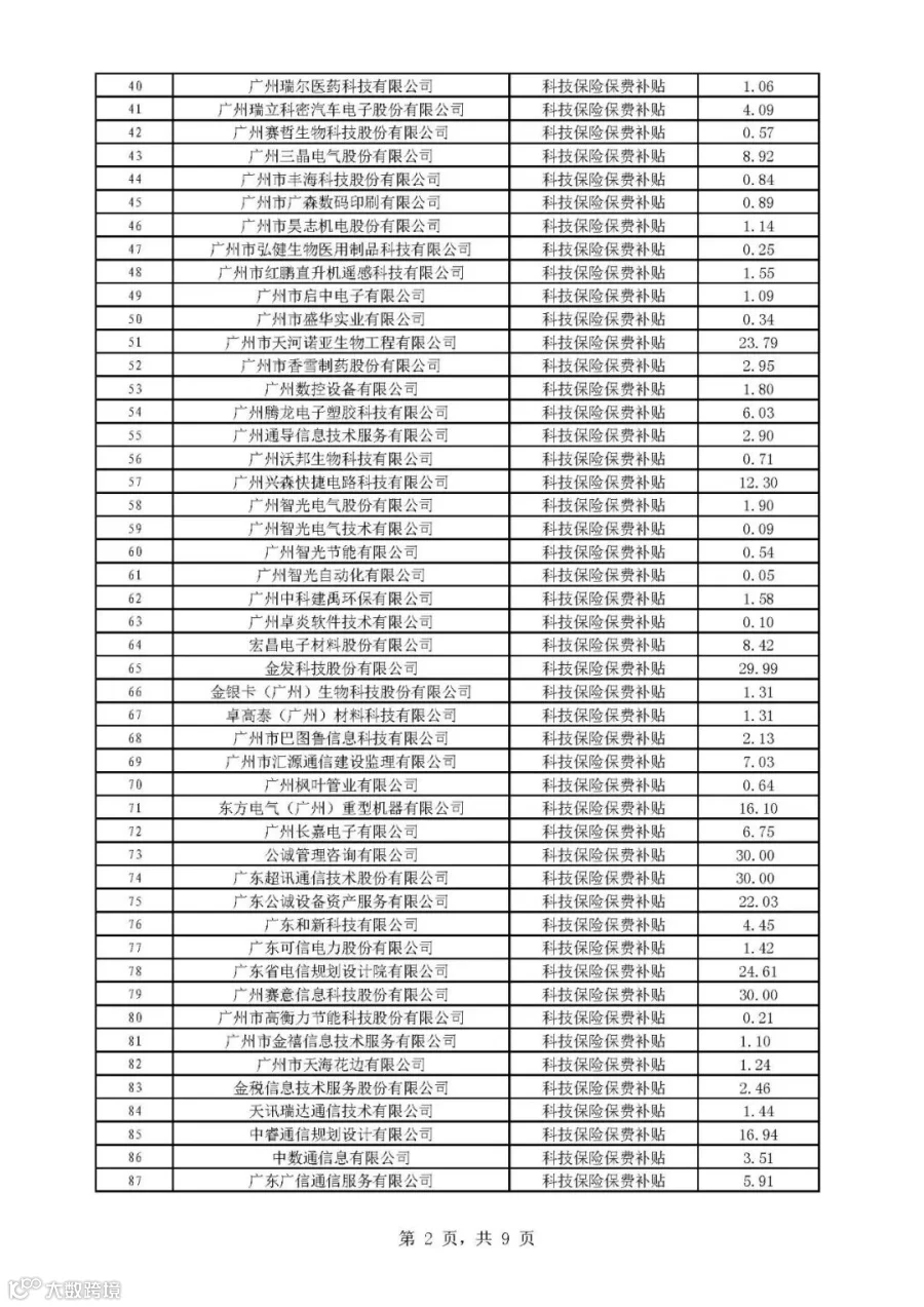
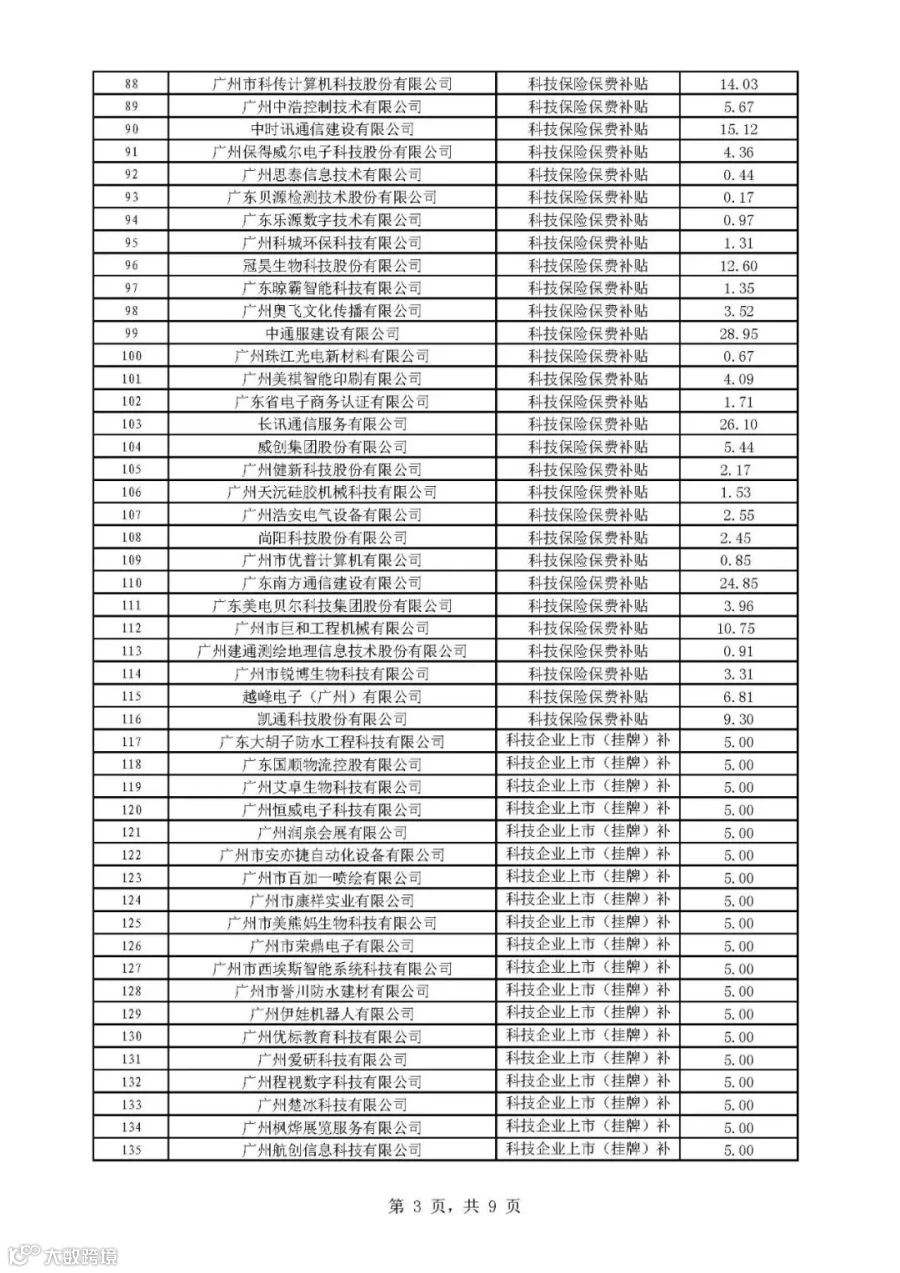
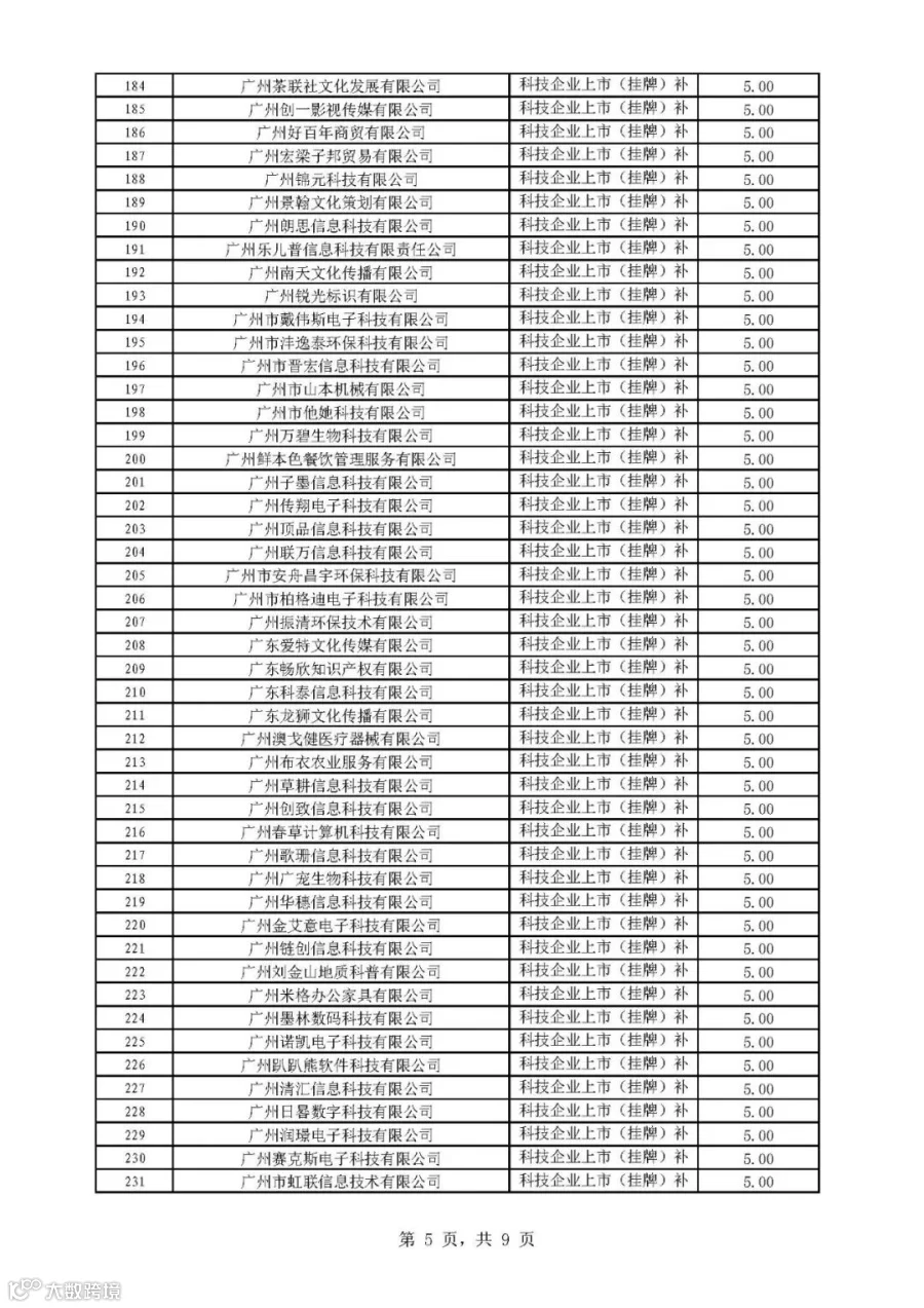
2019年广州市科技与金融结合计划科技金融补助专题拟后补助名单











