
2019年10月3日上午6时34分至7时许,宁洛高速下行线南京方向196Km+070m至196Km+250m间(蚌埠市境内),因突发团雾引发多点多起交通事故,其中1起较大事故,3起一般事故。
截至目前,事故共造成10人死亡(其中1人经抢救无效死亡),住院治疗4人(含重伤1人),留院观察3人,17台车不同程度受损。
(视频:新闻现场)

深秋冬季是雾霾多发的时间段,每年因雾造成的交通事故不计其数,一旦发生事故往往是多车连撞,非死即伤,现场十分惨烈。
2017年3月29日,泰新高速突发团雾,相继发生5起交通事故,涉及车辆22辆,致2人死亡,10人受伤。

2017年11月15日,颍上县境内滁新高速,因团雾引发多点多起交通事故,致70多辆车连环相撞,共造成18人死亡,21人受伤。

一桩桩,一件件血淋淋的惨烈事故告诉我们,雾天到底有多可怕!
团雾多发路段逐年增长
出现时间、地点有迹可循
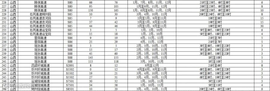
比雾霾天更可怕的就是团雾。每年,公安部交通管理局都会公布高速公路团雾多发路段。
2015年1788处
2016年2567处
2017年2955处
2018年3188处
每年路段的数量都在增加。但团雾的出现的地点也是有迹可循的。排查表,不仅包含了团雾出现的路段,还包括出现的时间及次数,卡友们也可以以此为依据,做好心理准备。
3188处高速公路团雾多发路段
(可上下滑动,点击图片可放大)
卡友们可以按照省份进行查询,提前做好准备,防止悲剧发生。
掌握防御性驾驶技术
防止悲剧发生
面对突发性强、局地性、尺度小、浓度大的团雾,司机们一旦遇到,除了要保持冷静,更有必要掌握防御性驾驶技术,防止悲剧的发生。
防御性驾驶技术源于20世纪50年代美国,早先流行于英、美等国家,现广为世界各国所采用,成效显著,我国防御性驾驶理论研究与推广运用仍处起步阶段。
(视频:网络)
转发给更多的卡友
愿大家一路平安!






























































































