
来源:筑龙岩土编辑整理 版权归原作者所有
本文摘录城市轨道交通工程勘察中常用的岩土工程参数表,非常全面,建议收藏备用哦~
岩土参数的应用






地铁工程中用到的热物理指标主要有导热系数、导湿系数、比热容,测定热物理性能试验方法较多,各种不同的方法都有一定的适用范围。常用的热物理指标的测定方法有面热源法、热线法和热平衡法。三个热物理指标有下列相互关系:

式中 ρ—密度(kg/m3);
α—导温系数(m2/h)
λ—导热系数(W/m·K)
C —比热容(kJ/kg·K)
地铁工程中,热物理参数主要用于通风设计、冷冻法施工设计中。
基床系数是地铁地下工程设计的重要参数,其数值的准确性关系到工程的安全性和经济性;对于没有工程积累的地区需要进行现场试验和专题研究,当有成熟地区经验时,可通过原位测试、室内试验结合地区经验综合确定:
基床系数是地基土在外力作用下产生单位变形时所需的应力,也称弹性抗力系数或地基反力系数,一般可表示为:
K=P/S
式中K——基床系数(MPa/m);
P——地基土所受的应力(MPa);
S——地基的变形(m)。
基床系数与地基土的类别(砾状土、粘性土)、土的状况(密度、含水量)、物理力学特性、基础的形状及作用面积受力状况有关。基床系数的确定方法如下:
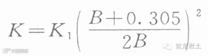
地基土的基床系数K可由原位荷载板试验(或K30试验)结果计算确定。考虑到荷载板尺寸的影响,K值随着基础宽度B的增加而有所减小。
对于砾状土、砂土上的条形基础:

对于粘性土上的条形基础:

式中 K1——是0.305m宽标准荷载板的标准基床系数或K30值。
地铁工程中基床系数主要用来进行地基梁计算、衬砌配筋计算、路基计算、支护结构计算等。基坑深度范围内一般进行水平基床系数试验,基底以下土层一般考虑进行垂直基床系数试验。
对于高架敷设方式的轨道工程,一般采用桩基础,部分地下车站设有中间柱时,一般会采用柱下桩基方案,当地下水埋深较浅时,考虑地下结构的抗浮问题,可能设置抗浮桩。
根据规范要求,高架区间线路桩的设计参数依据《铁路桥涵地基和基础设计规范》(TB10002.5)提供桩的极限摩阻力fi、地基土的容许承载力σ、地基系数的比例系数m和m0。
高架车站、车站中柱桩、抗浮桩的设计参数依据《建筑桩技术规范》(JGJ94)提供桩的极限侧阻力标准值qsik、极限端阻标准值qpk、地基土水平抗力系数的比例系数m、桩的抗拔系数λ。
对于地铁工程中的地面建筑、路基工程,地基承载力是极为重要的参数,岩土工程勘察报告中要根据不同的要求提供相应的地基承载力参数。
地面建筑依据《岩土工程勘察规范》、《建筑地基基础设计规范》及地方的房建规范标准提供地基承载力。
路基工程依据《铁路工程地质勘察规范》等铁路系统的规范标准提供地基承载力。

勘察手段与方法






其他常用














