PART.1
经营管理周例会
6月3日,经营管理周例会在厂召开。总经理胡伟路出席会议并讲话。他强调,重任在肩,全体干部人员要拿出敢为人先的锐气,上下求索的执着,在公司发展路线中挑大梁,在实务创造中当好火车头,练就看家本领,把冷活做实,冷事做热,冷门做火,为公司创新之路建言献策,为公司美好蓝图贡献力量。
工作总结汇报
PART.2
销售周例会
6月7日,销售周例会在厂召开。总经理胡伟路出席会议并讲话。他表示,时间紧迫,分秒必争,要奔着最紧急、最紧迫的事情去,紧盯颠覆性、抓牢战略性,实现上半年度目标,要保持战略定力和耐心,坚持一张蓝图绘到底,滴水穿石,厚积薄发,势必突破业绩目标。
工作总结汇报
PART.3
汇利兴再获专利授权
近日,公司又一项知识产权通过国家知识产权管理体系认证,标志着公司的知识产权管理工作迈上了规范化、标准化、科学化的新台阶,筑牢了企业硬核创新和高质量发展体系的基础,进一步提升了公司的核心竞争力。公司自创始以来,持续加大技术创新的研发与投入,现目前汇利兴西南工厂,申请专利39项,著作权413项;其中总部-汇兴智造,申请专利200余项,其中获得发明专利16项,开发软件著作权25项、商标注册48项,参与了6项国家标准制定,完成80多项专利技术成果转化.
专利证书
PART.4
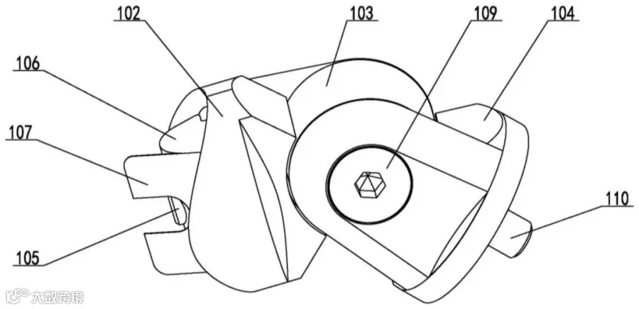
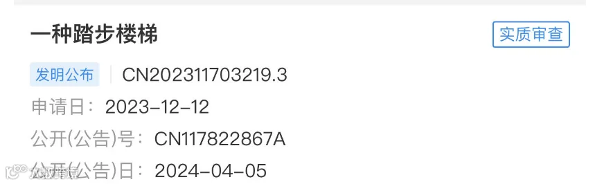
汇利兴新增实用新型专利授权
近日,公司申报的“一种踏步连接件及其安装方法、一种楼梯踏步.”等实用新型专利通过层层评审成功获得国家知识产权局授权并进行公布(图纸如下)。
专利证书
PART.5
端午节福利活动
一年一端午,一岁一安康。6月8日,正值端午佳节来临之际,汇利兴在厂开展端午佳节福利活动,以实际行动为员工们送上节日的祝福与关怀。以此向辛勤奋战在岗位上的员工们表示感谢及慰问。
一盒盒粽香、一份份关怀、一份份温暖,温暖了在厂的每位员工;大家笑在脸上乐在心里,手提粽子快速奔赴到各自的岗位上,并将这份关怀化为强大动力,为公司生产效益提质增速,为公司发展贡献力量。
端午节
合
影
赢销中心
自创始以来,公司坚持以为本,用情做人、用心做事的企业理念,为员工谋福利创发展,为员工送温暖表关怀,致力打造一个让员工具有自豪感、幸福感和归属感的企业,增进团队凝聚力及向心力!
节日福利


