点击上方蓝字
加入建筑人的聚集地
来源:建工行人、大立教育
2023年监理工程师考试已经结束啦!
大家一出考场,
群里消息就炸锅了
第一题就难到炸裂!

监理工程师考试今天全部科目结束了,大家这会儿应该在陆续出考场或者回家的路上了吧。
我猜大家这会的感觉都是考完一身轻,不管能否考过,紧绷了几个月的神经也终于能松弛下来了。
现收集土建各科考后反馈概括如下:
合同管理 |
部分很偏,特别是设计和地勘的题,试卷第一题直接下马威,高分不可能,及格问题不大。 |
土建三控 |
单选难度大,质量部分难度大,避开高频考点。 |
法规概论 |
常规性题,多是平常APP题库、网校都见过的题,整体难度不高。 |
土建案例 |
我被侮辱了,简单得令人发指! |
群里面的兄弟们直呼,也太简单了吧,有点不敢相信。案例放水了感觉。

我们监理工程师群里的大多数兄弟们都直呼太简单了。

单说难度大不大这个因人而异,毕竟每个人的基础不同,学习时长不同。也有兄弟们说难的。

不是每个人都觉得简单,毕竟每个人的基础不一样。案例在往年的考试中都是重要的一环,今年这么简单寓意何为啊。

监理工程师合格标准(各科目分数线)如下:
《建设工程合同管理》合格标准66分(满分110);
《建设工程目标控制》合格标准96分(满分160分);
《建设工程监理基本理论和相关法规》合格标准66分(满分110分);
《建设工程监理案例分析》合格标准72分(满分120分)。
为方便考生们考后估分对答案,本次内容更新的是2023年监理工程师考试真题及答案解析,供大家参考!
1.应用BIM技术事先对工程运营阶段发生火灾时人员疏散等紧急情况进行仿真分析,体现了BIM技术的()特点
A.可视化
B.协调性
C.优化性
D.模拟性
【答案】D
【解析】应用BIM技术,在工程设计阶段可对节能、紧急疏散、日照、热能传导等进行模拟;在工程施工阶段可根据施工组织设计将3D模型加施工进度(4D)模拟实际施工,从而通过确定合理的施工方案指导实际施工,还可进行5D模拟,实现造价控制;在运营阶段,可对日常紧急情况的处理进行模拟,如地震人员逃生模拟及消防人员疏散模拟等。
【考点】建设工程监理信息化
2.对于工程咨询公司而言,提供Project Controlling与工程项目管理服务的相同点是()。
A.两者地位相同
B.两者工作内容相同
C.两者工作属性相同
D.两者权力相同
【答案】C
【解析】Project Controlling 与工程项目管理服务具有一些相同点,主要表现在:一是工作属性相同,即都属于工程咨询服务;二是控制目标相同,即都是控制建设工程质量、造价、进度三大目标;三是控制原理相同,即都是采用动态控制、主动控制与被动控制相结合并尽可能采用主动控制。
【考点】Project Controlling模式
3.建设工程监理与项目管理服务的相同点是()
A服务性质园
B.服务范围相同
C.服务侧重点相同
D.服务单位的社会化属性相同
【答案】D
【解析】项目管理服务是指具有工程项目管理服务能力的单位受建设单位委托,按照合同约定,对建设工程项目组织实施进行全过程或若干阶段的管理服务。尽管工程监理与项目管理服务均是由社会化的专业单位为建设单位(业主)提供服务,但在服务的性质、C围及侧重点等方面有着本质区别。
【考点】建设工程监理与项目管理一体化
4.项目监理机构协助建设单位进行组织协调时,属于建设单位系统外部远外层协调关系的是()
A.材料设备供应单位
B.设计单位
C.施工分包单位
D.施工总承包
【答案】C
【解析】项目监理机构组织协调内容可分为系统内部(项目监理机构)协调和系统外部协调两大类,系统外部协调又分为系统近外层协调和系统远外层协调。近外层和远外层的主要区别是,建设单位与近外层关联单G之间有合同关系,与远外层关联单位之间没有合作关系。
【考点】组织协调
5.根据《建设工程监理规范》总监理工程师应由()书面任命。
A发包人
B.委托人
C.建设单位法定代表人
D.工程监理单位法定代表人
【答案】D
【解析】总监理工程师是指由工程监理单位法定代表人书面任命,负责履行建设工程监理合同、主持项目监理机构工作的注册监理工程师。总监理工程师应由注册监理工程师担任。
【考点】《建设工程监理规范》概要
6.根据必须招标的工程项目规定,下列工程中必须招标的是()。
A.监理单位合同估算价为80万元人民币的项目
B.施工单项合同估算价为300万元人民币的项目
C.重要设备采购单项合同估算价为150万元人民币的项目
D.工程设计单位合同估算价为110万元人民币的项目
【答案】D
【解析】
勘察、设计、施工、监理以及与工程建设有关的重要设备、材料等的采购达到下列标准之一的,必须进行招标:
1)施工单项合同估算价在400万元人民币以上;
2)重要设备、材料等货物的采购,单项合同估算价在200万元人民币以上;
3)勘察、设计、监理等服务的采购,单项合同估算价在100万元人民币以上。
【考点】招标投标制
7.根据《安全生产法》,生产经营单位的主要负责人对本单位安全生产工作负有的职责是()
A.及时、如实报告生产安全事故
B.组织或参与本单位应急救援演练
C.督促落实本单位安全生产整改措施
D.组织开展危险源辨识和评估
【答案】A
【解析】生产经营单位的主要负责人对本单位安全生产工作的职责。包括:①建立健全本单位全员安全生产责任制,加强安全生产标准化建设;②组织制定并实施本单位安全生产规章制度和操作规程;①组织制定并实施本单位安全生产教育和培训计划;④保证本单位安全生产投入的有效实施;①组织建立并落实安全风险分级管控和隐患排查治理双重预防工作机制,督促、检查本单位的安全生产下作,及时消除生产安全事战隐患;⑤组织制定并实施本单位的生产安全事故应急救援预案;⑦及时、如实报告生产安全事故。
8.政府对工程监理执业人员实行市场准入控制的手段是对监理工程师实行()。
A.滚动管理
B.继续教育
C.注册管理
D.定期审核
【答案】C
【解析】国家对监理工程师职业资格实行执业注册管理制度,监理工程师注册是政府对工程监理执业人员实行市场准人控制的有效手段。取得监理工程师职业资格证书且从事工程监理及相关业务活动的人员,经过注册方可以注册监理工程师名义执业。
9.关于建设工程承包模式的说法,正确的是()。
A.平行承包模式下的合同数量多
B.施工总承包模式下的建设周期较短
C.工程总承包模式下的合同管理难度较小
D.交钥匙工程宜委托多家工程监理单位
【答案】A
【解析】平行承包有利于缩短工期、控制质量,有利于建设单位在更广范围内选择施工单位;合同数量多,会造成合同管理困难,工程造价控制难度大;A选项正确;施工总承包模式:建设周期较长,施工总承包单位的报价可能偏高,B选项错误;工程总承包模式合同条款不易准确确定,容易造成合同争议,C选项错误;交钥匙工程建设单位宜委托一家工程监理单位实施监理,D选项错误。
【考点】建设工程监理委托方式及实施程序
10.根据项目管理知识体系(PMBOK)(第7版),下列项目管理要素中,属于项目绩效域的是()。
A.开发方法和生命周期
B.优化风险应对
C.创建协作的项目团队环境
D.展现领导力行为
【答案】A
【解析】最新发布的PMBOK(第7版)提出了一组对有效交付项目成果至关重要的相关活动,称为项目绩效域:①利益相关者;②团队;③开发方法和生命周期;④规划;⑤项目工作;⑥交付;⑦测量;③不确定性。
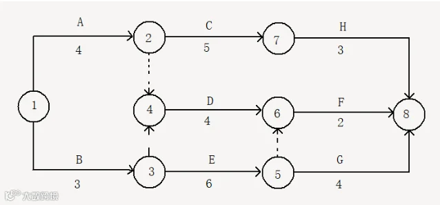
11.根据《建设工程质量管理条例》,下列建设工程中,必须实行监理的是()。
A.国有资金控股工程
B.基础设施工程
C.利用国际组织贷款的工程
D.公共卫生工程
【答案】C
【解析】建设工程质量管理条例》第十二条规定,有五类工程必须实行监理:1.国家重点建设工程;2.大中型公用事业工程,3.成片开发建设的住宅小区工程4.利用外国政府或者国际组织贷款、援助资金的工程;5.国家规定必须实行监理的其他工程。
【考点】建设工程监理的法律地位和责任
12.根据《建筑法》,关于建筑安全生产管理的说法,正确的是( )
A.施工单位应提供与施工现场相关的地下管线资料报主管部门备案
B.施工单位应负责办理临时占用规划批准范围以外场地的相关批准手续
C.施工分包单位应服从总承包单位对施工现场的安全生产管理
D.施工单位应确保列入工程概算的安全施工措施费用于安全生产条件的改善
【答案】C
【解析】分包单位向总承包单位负责,服从总承包单位对施工现场的安全生产管理。
【考点】建筑安全生产管理
13.根据《建设工程质量管理条例》,建设单位有()行为的,责令改正,处工程合同价款百分之二以上百分之四以下的罚款。
A.任意压缩合理工期
B.将建设工程肢解发包
C.迫使承包方以低于成本的价格竞标
D.对不合格的建设工程按照合格工程验收
【答案】D
【解析】建设工程质量管理条例》第五十八条违反本条例规定,建设单位有下列行为之一的,责令改正,处工程合同价款百分之二以上百分之四以下的罚款;造成损失的,依法承担赔偿责任;
(一)未组织竣工验收,擅自交付使用的;
(二)验收不合格,擅自交付使用的;
(三)对不合格的建设工程按照合格工程验收的。
【考点】《建设工程质量管理条例》
14.关于项目法人责任制的说法。正确的是()。
A.项目法人责任制的核心内容是明确由项目法人承担投资风险
B.项目可行性研究报告批准前,应正式设立项目法人
C.原由企业投资建设的基建项目,需新设立子公司的,无需重新设立项目法人
D.项目董事会负责确定招标方案、标底和评标标准
【答案】A
【解析】项目法人责任制的核心内容是明确由项目法人承担投资风险,项目法人要对工程投资建设及建成后的生产经营实行一条龙管理和全面负责。
15.下列工作内容中,属于工程建设项目可行性研究内容的是()
A.确定投资概算
B.进行工艺技术方案研究
C.确定发包方案
D.提出拟建规模的初步设想
【答案】B
【解析】可行性研究应完成以下工作内容
(1)进行市场研究,以解决工程建设的必要性问题;
(2)进行工艺技术方案研究,以解决工程建设的C术可行性问题(3)进行财务和经济分析,以解决工程建设的经济合理性问题
【考点】投资决策阶段工作内容
16.关于投标资格审查的说法,正确的是()
A.资格审查限制了潜在投标人公平获取投标竞争的机会
B.资格审查增加了招标人和投标人的资源投入
C.资格审查不能确保潜在投标人满足招标项目的资格条件
D.资格审查是为了排除不合格的投标人和降低招标成本
【答案】D
【解析】资格审查分为资格预审和资格后审两种。
(1)资格预审。资格预审是指在投标前,对申请参加投标的潜在投标人进行资质条件、业绩、信营、技术、资金等多方面情况的审查。只有资格预审中被认定为合格的潜在投标人(或投标人)才可以参加投标。资格预审的目的是为了排除不合格的投标人,进而降低招标人的招标成本,提高招标工作效率。
(2)资格后审。资格后审是指在开标后,由评标委员会根据招标文件中规定的资格审查因素、方法和标准,对投标人资格进行的审查。
【考点】建设工程监理招标方式和程序P72
17.投标决策的综合评价法是将影响投标决策的主客观因素用某些指标表示出来,进行()后决定是否参加投标的一种方法。
A.定性综合评价
B.定量综合评价
C.客观综合评价
D.动态综合评价
【答案】B
【解析】投标决策定量分析方法。常用的投标决策定量分析方法有综合评价法和决策树法。综合评价法。综合评价法是指决策者决定是否参加某建设工程监理投标问且时,将影响其投标决策的主客观因素用某些具体指标表示出来,并定量地进行综合评价,以此作为投标决策依据。
18.根据《标准监理招标文件》,下列合同文件解释的优先顺序中,正确的是()。
A.监理大纲—委托人要求——监理报酬清单
B.中标通知书——合同协议书——专用合同条款
C.合同协议书——中标通知书——监理报酬清单
D.委托人要求——专用合同条款——监理大纲
【答案】C
【解析】合同协议书与下列文件一起构成合同文件:①中标通知书②投标函及投标函附录;③专用合同条款;④通用合同条款;⑤委托人要求;⑥监理报酬清单;⑦监理大纲;③其他合同文件。上述合同文件互相补充和解释。如果合同文件之间存在矛盾或不一致之处,以上述文件的排列顺序在先者为准。
【考点】建设工程监理合同管理
19.根据《建筑法》在建的建筑工程因故中止施工的,建设单位应当自中止施工之日起()内,向发证机关报告。
A.3个月
B.2个月
C.1个月
D.15日
【答案】C
【解析】在建的建筑工程因故中止施工的,建设单位应当自中止施工之日起1个月内,向发证机关报告,并按照规定做好建筑工程的维护管理工作。
【考点】建设工程监理相关法律及行政法规
20.根据《建筑法》,关于工程监理单位职责的说法,正确的是()。
A.发现工程设计不符合合同约定的质量要求,有权要求设计单位改正
B.发现工程施工不符合设计要求,有权要求施工单位改正
C.负责将监理内容及监理权限,书面通知被监理的施工单位
D.涉及承重结构变动的装修工程,应要求设计单位提出设计方案
【答案】B
【解析】
A选项,工程监理人员发现工程设计不符合建筑工程质量标准或者合同约定的质量要求的,应当报告建设单位要求设计单位改正。
B选项,工程监理人员认为工程施工不符合工程设计要求、施工技术标准和合同约定的,有权要求建筑施工企业改正。
D选项,涉及建筑主体和承重结构变动的装修工程,建设单位应当在施工前委托原设计单位或者具有相应资质条件的设计单位提出设计方案:没有设计方案的,不得施工。
【考点】项目法人责任制P5
21.关于全过程工程咨询的说法,正确的是()
A.全过程工程咨询不包含项目的规划咨询
B.全过程工程咨询是针对工程建设“全寿命期”
C.全过程工程咨询强调工程建设全过程管理咨询
D.全过程工程咨询强调通过多阶段集成化咨询服务为委托方创造价值
【答案】D
【解析】从服务阶段看,全过程工程咨询覆盖项目投资决策、建设实施(设计、招标、施工)全过程集成化服务,有时还会包括运营维护阶段咨询服务,A选项错误;全过程工程咨询业务可以覆盖项目投资决策、建设实施全过程,但并非每一个项目都需要从头到尾进行咨询,也可以是其中若干阶段,培育全过程工程咨询,强调的是企业在实施全过程下午程咨询方面业务能力的提升,而不是强调咨询业务范围的“全过程”,CD选项错误;全过程工程咨询服务不是将各个阶段简单相加,而是要通过多阶段集成化咨询服务,为委托方创造价值,D选项正确。
22.根据《民法典》,关于建设工程合同的说法,正确的是()。
A.总承包人经发包人同意,可以将自己承包的工作全部交由第三人完成
B.建设工程施工合同无效时,对于已完工程,承包人无权请求补偿
C.发包人与监理人的权利和义务当依照建设工程合同规进行约定
D.发包人对因建设工程不合格造成的损失有过错的,应当承担相应的责任
【答案】D
【解析】总承包人或者勘察、设计、施工承包人经发包人同意,可以将自己承包的部分工作交由第三人完成,A选项错误;建设工程施工合同无效,但是建设工程经验收合格的,可以参照合同关于工程价款的约定折价补偿承包人,B选项错误;发包人与监理人的权利和义务以及法律责任,应当依照《民法典》合同编委托合同及其他有关法律、行政法规的规定,C选项错误;发包人对因建设工程不合格造成的损失有过错 问月的,应当承担相应的责任,D选项正确。
【考点】《民法典》第三编合同主要内容P38
23.根据《招标投标法》,招标人和中标人应当自中标通知书发出之日起()日内,按照招标文件和中标人的投标文件订立书面合同。
A.30
B.15
C.10
D.7
【答案】A
【解析】招标人和中标人应当自中标通知书发出之日起30日内,按照招标文件和中标人的投标文件订立书面合同。
【考点】建设工程监理相关法律及行政法规P28
24.根据《民法典》,不属于新要约的情形是()。
A.受要约人超过承诺期限发出承诺的
B.受要约人在承诺期限内发出承诺,按通常情形不能及时到达要约人的
C.受要约人超过承诺期限发出承诺,而要约人及时通知受要约人该承诺有效的
D.受要约人对要约的内容作出实质性变更的
【答案】C
【解析】受要约人超过承诺期限发出承诺,或者在承诺期限内发出承诺,按照通常情形不能及时到达要约人的,为新要约。但要约人及时通知受要约人该承诺有效的除外。
【考点】建设工程监理相关法律及行政法规P29
25.根据《建设工程质量管理条例》,关于工程质量保修的说法,正确的是()
A.工程保修期自交付使用之日起计算
B.装修工程保修期限由发包方于设计方约定
C.工程质量保修书中只需明确保修范围和保修期限
D.屋面防水工程最低保修期限为五年
【答案】D
【解析】屋面防水工程、有防水要求的卫生间、房间和外墙面的防渗漏,为5年。
【考点】工程质量保修(P45)
26.根据《建设工程质量管理条例》,工程监理单位与建设单位或者施工单位串通,弄虚作假,降低工程质量的,责令改正,处()罚款。
A.10万元以上30万元以下
B.20万元以上50万元以下
C.30万元以上50万元以下
D.50万元以上100万元以下
【答案】D
【解析】建设工程质量管理条例》第六十七条规定:“工程监理单位有下列行为之一的,责令改正,处50万元以上100万元以下的罚款,降低资质等级或者吊销资质证书;有违法所得的,予以没收;造成损失的,承担连带赔偿责任:
1)与建设单位或者施工单位串通,弄虚作假、降低工程质量的。
2)将不合格的建设工程、建筑材料、建筑构配件和设备按照合格签字的。
【考点】工程监理的法律责任P3
27.根据《建设工程企业资质管理制度改革方案》,关于工程监理企业综合资质的说法,正确的是()。
A.分为一级和二级
B.分为甲级、乙级和专项
C.不分等级
D.分为甲级、乙级和丙级
【答案】C
【解析】工程监理企业资质将分为综合资质和专业资质。综合资质不分等级,专业资质等级压减为甲、乙两级。
【考点】工程监理企业资质等级P64
28.根据《建设工程监理规范》,见证取样是指项目监理机构对施工单位进行的涉及结构安全的试块,试件及工程材料()工作的监督活动
A.现场取样、试验
B.现场取样、封样、送检
C.现场取样、封样
D.现场取样、送样、试验
【答案】B
【解析】见证取样是指项目监理机构对施工单位进行的涉及结构安全的试块、试件及工程材料现场取样、封样、送检工作的监督活动。
【考点】见证取样P154
29.工程监理人员履行岗位职责,做好本职工作,体现了职业道德守则中的()。
A.严格监理,优质服务
B.遵法守规,诚实守信
C.团结协作,尊重他人
D.格尽职守,爱岗敬业
【答案】D
【解析】监理工程师应严格遵守如下职业道德守则:
1)遵法守规,诚实守信。维护国家的荣营和利益,遵守法规和行业自律公约,讲信蕾,守承诺,坚持实事求是,“公平、独立、诚信、科学”
地开展工作。
(2)严格监理,优质服务。执行有关工程建设法律、法规、标准和制度,履行工程监理合同规定的义务,提供专业化服务,保障工程质量和投资效益,改进服务措施,维护业主权益和公共利益。
(3)恪尽职守,爱岗敬业。遵守建设工程监理人员职业道德行为准则,履行岗位职责,做好本职工作,热爱监理事业,维护行业信营。
(4)团结协作,尊重他人。树立团队意识,加强沟通交流,团结互助,不损害各方的名营。
(5)加强学习,提升能力。积极参加专业培训,努力学习专业技术和工程监理知识,不断提高业务能力和监理水平。
(6)维护形象,保守秘密。抵制不正之风,廉洁从业,不谋取不正当利益。
【考点】监理工程师执业和继续教育P70
30.关于公开招标和邀请招标的说法,正确的是()
A.公开招标有助于实现公平竞争
B.邀请招标能够杜绝串标、抬标和围标现象
C.公开招标的招标时间长但招标费用低
D.邀请招标属于非限制性竞争招标
【答案】A
【解析】建设工程监理招标可分为公开招标和邀请招标两种方式。选项D,邀请招标属于有限竞争性招标,也称为选择性招标。选项B,公开招标能够大大降低串标、围标、抬标和其他不正当交易的可能性。选项C,公开招标时间长、招标费用较高。
【考点】建设工程监理招标方式和程序P71
31按照建设工程规模大小和所委托的工程监理工作服务内容的复杂程度,以建设投资的一定比例计取监理费用的方法是()。
A.费率计费法
B.工时计费法
C.固定单价法
D.服务内容计量法
【答案】A
【解析】按费率计费费率计费法是按照工程规模大小和所委托的咨询工作繁简,以建设投资的一定百分比来计算。一般情况下,工程规模越大,建设投资越多,计算咨询费的百分比越小。
【考点】建设工程监理费用计取方法(P88)
32.项目监理机构的任何指令判断,均应以现场检验、试验资料为依据,体现了监理工作的()原则。
A.严格监理
B.预防为主
C.实事求是
D.主动控制
【答案】C
【解析】实事求是原则:在建设工程监理工作中,工程监理单位应尊重事实。项目监理机构的任何指令、判断应以事实为依据,有证明、检验、试验资料等。
【考点】建设工程监理实施原则P100
33.项目监理机构组织形式中,要求总监理工程师通晓各种业务和多种专业技能、为全能式人才的是()组织形式。
A.直线制
B.职能制
C.直线职能制
D.矩阵制
【答案】C
【解析】直线制组织形式的主要优点是组织机构简单,权力集中,命令统一,职责分明,决策迅速,隶属关系明确。缺点是实行没有职能部门的“个人管理”,这就要求总监理工程师通晓各种业务和多种专业技能,成为“全能式人物。
【考点】项目监理机构组织形式(p106)
34.根据《建设工程监理规范》,总监理工程师不得委托给总监理工程师代表的工作是()。
A.组织召开监理例会
B.组织审查施工组织设计
C.组织审查分包单位资格
D.组织验收分布工程
【答案】C
【解析】
总监理工程师不得将下列工作委托给总监理工程师代表:
(1)组织编制监理规划,审批监理实施细则;
(2)根据工程进展及监理工作情况调配监理人员;(3)组织审查施工组织设计、(专项)施工方案;
(4)签发工程开工令、暂停令和复工令(5)签发工程款支付证书,组织审核竣工结算;(6)调解建设单位与施工单位的合同争议,处理工程索赔:
【考点】项目监理机构各类人员基本职责(P111)
35.根据《建设工程监理规范》,关于监理实施细则的说法,正确的是()
A.装修工程监理实施细则应在装修工程样板间开工前编制完成
B.监理实施细则应确定具体的监理工作制度
C.重要的监理实施细则应报监理单位技术负责人审批
D.监理实施细则编制完成后,不需要修改和补充
【答案】A
【解析】《建设工程监理规范》GB/T50319-2013规定,监理实施细则可随工程进展编制但必须在相应工程施工前完成,并经总监理工程师审批后实施。
【考点】监理实施细则报审(P135)
36.下列建设工程项目目标控制措施中,属于合同措施的是()
A.选择合理的承发包模式和合同计价方式
B.明确各级目标控制人员的合同管理职责分工
C.审查施工组织设计和施工方案是否符合合同要求
D.审核工程计量,工程款支付申请是否符合合同约定
【答案】A
【解析】合同措施,加强合同管理是控制建设工程目标的重要措施。建设工程总目标及分目标将反映在建设单位与工程参建主体所签订的合同之中。由此可见,通过选择合理的承发包模式和合同计价方式,选定满意的施工单位及材料设备供应单位,拟订完善的合同条款,并动态跟踪合同执行情况及处理好工程索赔等,是控制建设工程目标的重要合同措施。
【考点】大目标控制措施(P141)
37.分析论证建设工程项目总目标时,为追求建设工程质量、造价和进度三大目标的最佳匹配,应确保建设工程()
A.质量、造价、进度三大目标同时到达最优
B.质量目标必须符合工程建设强制性标准
C.造价目标以定性分析和定量分析相结合的方法进行论证
D.进度目标的优先等级排在质量目标、造价目标之后
【答案】B
【解析】确保建设工程质量目标符合工程建设强制性标准。工程建设强制性标准是有关人民生命财产安全、人体健康、环境保护和公众利益的技术要求,在追求建设工程质量、造价和进度三大目标间最佳匹配关系时,应确保建设工程质量目标符合工程建设强制性标准。
【考点】建设工程三大目标之间的关系(P138)
38.对于具备复工条件的项目,施工单位提出复工申请经审查符合要求后,总监工程师应及时签署审查意见,并在()后签发工程复工令。
A.报监理单位批准
B.报建设单位批准
C.与施工单位协商具体复工时间
D.与政府监督机构协商确定具体复工时间
【答案】B
【解析】当暂停施工原因消失、具备复工条件时,施工单位提出复工申请的,项目监理机构应审查施工单位报送的工程复工报审表及有关材料,符合要求后,总监理工程师应及时签署审查意见,并应报建设单位批准后签发工程复工令。
【考点】工程监理基本表式及其应用说明
39.项目监理机构巡视检查危险性较大的分部分项工程专项施工方案实施情况时,发现未按专项施工方案实施的,正确的处理方式是()。
A.签发工程暂停令,要求施工单位按专项施工方案实施
B.签发工程暂停令,要求施工单位及时修改专项施工方案
C.签发监理通知单,要求施工单位及时修改专项施工方案
D.签发监理通知单,要求施工单位按专项施工方案实施
【答案】D
【解析】项目监理机构应巡视检查危险性较大的分部分项工程专项施工方案实施情况。发现未按专项施工方案实施时,应签发监理通知单,要求施工单位按专项施工方案实施。
【考点】专项施工方案的监督实施(P150)
40.根据《风险管理指南》ISO31000,风险管理原则轮中的核心内容是()
A.持续改进和整合
B.有效信息利用
C.价值创造和保护
D.结构化和全面性
【答案】C
【解析】《风险管理指南》中采用“三轮”形式概括了风险管理的原则、框架和流程,如图10-3所示。从图10-3可以看出:
(1)风险管理原则轮中,核心是“价值创造和保护”。
(2)风险管理框架轮中,核心是“领导力和承诺”。
(3)风险管理流程轮中,反映了风险评估的经典流程:风险识别-风险分析-风险评价。
【考点】《风险管理指南》ISO31000P179
41.建设工程风险清单的作用是()
A.描述存在的风险并记录可能减轻风险的行为
B.描述存在风险的发生概率并记录可能减轻风险的行为
C.描述存在风险的影响范围并评估多种风险因素的综合影响
D.描述存在的风险并跟踪已识别的风险和识别新的风险
【答案】A
【解析】风险清单最简单的作用是描述存在的风险并记录可能减轻风险的行为。
【考点】建设工程风险及管理构成P183
42.建设工程监理与项目管理服务
A.服务性质相同
B.服务范围相同
C.服务侧重点相同
D.服务单位的社会化
【答案】D
【解析】建设工程监理与项目管理服务的区别:(1)服务性质不同;
(2)服务范围不同;(3)服务侧重点不同
【考点】建设工程监理与项目管理服务的区别P193
43.下列所示全过程集成化管理服务模式,属于()服务模式。

A.独立式
B.融合式
C.职能式
D.植入式
【答案】B
【解析】融合式服务模式:工程项目管理单位不设立专门的项目管理团队或设立的项目管理团队中留有少量管理人员,而将大部分项目管理人员分别派到建设单o各职能部门中,与建设单位项目管理人员融合在一起,如图所示。
44.对工程咨询公司而言,提供Project Controlling与工程项目管理服务的相同点是()。
A.两者地位相同
B.两者工作内容相同
C.两者工作属性相同
D.两者权力相同
【答案】C
【解析】Project Controlling与工程项目管理服务具有一些相同点,主要表现:一是工作属性相同,即都属于工程咨询服务;二是控制目标相同,即都是控制建设工程质量、造价、进度三大目标:三是控制原理相同,即都是采用动态控制、主动控制与被动控制相结合并尽可能采用主动控制。
【考点】Project Controlling模式种类P212-213
45.下列报审表中,需要施工项目经理签字并加盖施工单位公章的文件资料是( )。
A.工程开工报审表
B.工程复工报审表
C.工程临时或最终延期报审表
D.施工组织设计或(专项)施工方案提升表
【答案】A
【解析】B.0.2工程开工报审表“B.0.10单位工程工验收报审表”必须由项目经理签字并加盖施工单位公章。
46.根据《建设工程监理规划》,下列文件资料中,应由总监理工程师审核签认的是()。
A.工程材料、构配件、设备报审表
B.施工控制测量成本报验表
C.分包单位资格报审表
D.分项工程验收申请表
【答案】C
【解析】专业监理工程师对《分包单位资格报审表》提出审查意见后,由总监理工程师审核签认。
47.项目监理机构对现场监理人员进行巡视交底的依据是()
A.经审核批准的监理规划和监理实施细则
B.经图纸会审和设计交底后的设计文件
C.经审核签认的施工组织设计和专项施工方案
D.经审核批准的监理实施细则和专项施工方案
【答案】A
【解析】总监理工程师应根据经审核批准的监理规划和监理实施细则对现场监理人员进行交底,明确巡视检查要点、巡视频率和采取措施及采用的巡视检查记录表;合理安排监理人员进行巡视检查工作;督促监理人员按照监理规划及监理实施细则的要求开展现场巡视检查工作;总监理工程师应检查监理人员巡视的工作成果,与监理人员就当日巡视检查工作进行沟通,对发现的问题及时采取相应处理措施。
【考点】建设工程监理主要方式巡视(P151)
48.根据《建设工程监理规范》,监理规划可在()后开始编制。
A.签订建设工程监理合同及收到施工组织设计文件
B.签订建设工程监理合同及收到工程设计文件
C.签订建设工程监理合同及收到施工组织设计文件
D.签订建设工程施工合同及收到工程设计文件
【答案】B
【解析】监理规划应在签订建设工程监理合同及收到工程设计文件后由总监理工程师组织编制,并应在召开第一次工地会议7天前报建设单位。
【考点】监理规划P115
49.根据《建设工程监理规范》,关于监理规划编制的说法,正确的是()。
A.监理规划编制依据不包括建设工程施工合同
B.对于特别重要的项目,监理规划应由监理单位技术负责人组织编写
C.监理规划应制定具体的措施和方法来确保工程监理合同的履行
D.当基坑开挖深度从2.9m变更为5m时,监理规233划的内容不需要修改
【答案】C
【解析】监理规划编制依据包括:工程建设法律法规和标准、建设工程外部环境调查研究资料、政府批准的工程建设文件、建设工程监理合同文件、建设工程合同、建设单位要求、T程实施过程中输出的有关工程信息,A选项错误;监理规划应由总监理工程师组织编制,B选项错误;监理规划是针对特定的一个工程的监理范围和内容来编写的,而建设工程监理范围和内容是由工程监理合同来明确的。项目监理机构应充分了解工程监理合同中建设单位、工程监理单位的义务和责任,对完成工程监理合同目标控制任务的主要影响因素进行分析,制定具体的措施和方法,确保工程监理合同的履行,C选项正确;监理规划是针对具体工程项目编写的,而工程项目的动态性决定了监理规划的具体可变性。监理规划要把握工程项目运行脉搏,是指其可能随着工程进展进行不断的补充、修改和完善,D选项错误。
【考点】监理规划P115
50.根据《安全生产法》,关于工程监理单位安全生产管理职责的说法,正确的()。
A.工程监理单位应设置安全生产管理机构
B.工程监理单位应当建立健全本单位生产安全事故隐患排查治理制度
C.工程监理人员应当参与施工单位应急救援演练
D.工程监理单位应当投保安全生产责任保险
【答案】B
【解析】矿山、金属治炼、建筑施工、运输单位和危险物品的生产、经营、储存、装卸单位,应当设置安全生产管理机构或者配备专职安全生产管理人员,A选项错误;生产经营单位的安全生产管理机构及安全生产管理人员应组织或参与本单位应急救援演练,C选项错误;生产经营单位投保责任。生产经营单位必须依法参加工伤保险,为从业人员缴纳保险费。国家鼓励生产经营单位投保安全生产责任保险;属于国家规定的高危行业、领域的生产经营单位,应当投保安全生产责任保险。D选项错误。
多选
51.建设工程采用多平面ProjectControling模式的特点有()。
A.ProjectControling模式的组织关系较为简单
B.ProjectControling方采用集中和分散控制相结合的组织形式
C.ProjectControling方组织结构与业主项目管理组织结构明显不一致
D.总ProjectControling机构服务于业主项目总负责人
E.分ProjectControling机构服务于业主各子项目负责人
【答案】BDE
【解析】
A选项,组织关系较为复杂。
B选项,采用集中控制和分散控制相结合的形式。
C选项,组织结构与业主项目管理的组织结构有明显的一致性和对应关系。
D选项,对外服务于业主项目总负责人。
E选项,服务于业主各子项目负责人。
52在国际工程咨询中,工程咨询公司为承包商服务的主要内容有()。
A.提供贷款项目评估
B.提供技术咨询
C.提供设计服务
D.提供合同咨询
E.提供索赔服务
【答案】BCDE
【解析】
工程咨询公司为承包商服务主要有以下几种情况:
一是为承包商提供合同咨询和索赔服务。
二是为承包商提供技术咨询服务。
三是为承包商提供工程设计服务。
53.根据《民法典》,因施工人原因致使建设工程质量不符合约定的,发包人请求施工人采取的措施有()
A.无偿修理
B.折价支付
C.支付罚款
D.返工
E.改建
【答案】ADE
【解析】因施工人的原因致使建设工程质量不符合约定的,发包人有权要求施工人在合理期限内无偿修理或者返工、改建。经过修理或者返工、改建后,造成逾期交付的,施工人应当承担违约责任。
【考点】建设工程合同履行
54.根据《建设工程安全生产管理条例》,拆除工程施工前,建设单位应报选建设工程所在地县级以上地方人民政府建设主管部门或其他有关部门备案的资料有()
A.施工单位资质等级证明
B.可能危及毗邻建筑的说明
C.拆除施工机具设备验收手续
D.废弃物无害化处理方案
E.堆放、消除废弃物的措施
【答案】ABE
【解析】拆除工程发包与备案。建设单位应当将拆除工程发包给具有相应资质等级的施工单位,并在拆除工程施工15日前,将下列资料报送建设工程所在地的县级以上地方人民政府建设行政主管部门或者其他有关部门备案:
①施工单位资质等级证明;
②拟拆除建筑物、构筑物及可能危及邻建筑的说明;
③拆除施工组织方案;
④堆放、清除废弃物的措施。
实施爆破作业的,应当遵守国家有关民用爆炸物管理的规定
【考点】建设单位的安全责任
55.根据《生产安全事故报告和调查处理条例》下列生产安全事故中,属于重大事故的有()。
A.造成1人死亡,50人重伤,直接经济损失4000万元
B.造成6人死亡,10人重伤,直接经济损失6000万元
C.造成3人死亡,40人重伤,直接经济损失4000万元
D.造成4人死亡,20人重伤,直接经济损失5000万元
E.造成5人死亡,53人重伤,直接经济损失3000万元
【答案】ABD
【解析】事故等级划分标准(分为四个等级)

56.根据《招标投标法实施条例》,评标委员会应当否决其投标的情形有()。
A.投标文件未经投标单位盖章的
B.投标文件未经投标单位负责人签字的
C.投标文件未在投标截止时间之前送达的
D.投标文件未按招标文件要求进行密封的
E.投标联合体没有提交共同投标协议的
【答案】ABE
【解析】投标的否决。有下列情形之一的,评标委员会应当否决其投标:①投标文件未经投标单位盖章和单位负责人签字;
②投标联合体没有提交共同投标协议;
③投标人不符合国家或者招标文件规定的资格条件:
④同一投标人提交两个以上不同的投标文件或者投标报价,但招标文件要求提交备选投标的除外;
⑤投标报价低于成本或者高于招标文件设定的最高投标限价;
⑥投标文件没有对招标文件的实质性要求和条件作出响应;
⑦投标人有串通投标、弄虚作假、行贿等违法行为。
【考点】《招标投标法实施条例》p55
57.项目监理机构处理工程索赔的主要依据有()
A.勘察设计文件
B.施工合同文件
C.施工分包合同
D.工程建设标准
E.索赔事件证据
【答案】ABDE
【解析】项目监理机构应以法律法规、勘察设计文件、施工合同文件、工程建设标准、索赔事件的证据等为依据处理工程索赔。
58.根据《风险管理指南》ISO31000,风险管理流程轮中,反应风险评估流程的经典内容有()。
A.风险识别
B.风险分析
C.风险评价
D.风险应对
E.风险监控
【答案】ABC
【解析】风险管理流程轮中,反映了风险评估的经典流程:风险识别、风险分析、风险评价。
59.根据《建设工程监理规范》,监理员的职责有()。
A.组织编写监理日志
B.验收检验批和隐蔽工程
C.检查进场的工程材料质量
D.检查工序施工结果
E.复核工程计量有关数据
【答案】DE
【解析】监理员应履行下列职责:
(1)检查施工单位投入工程的人力、主要设备的使用及运行状况;
(2)进行见证取样;
(3)复核工程计量有关数据;
(4)检查工序施工结果;
(5)发现施工作业中的问题,及时指出并向专业监理工程师报告。
【考点】项目监理机构人员配备及职责分工P112
60.与其他工程风险对策相比,非保险转移的优点有()。
A.担保方所承担的风险不仅仅局限于合同责任
B.合同双方当事人对合同条款的理解不会发生分歧
C.可以转移某些不可投保的潜在损失
D.被转移者往往能较好地进行损失控制
E.被转移者无力承担实际重大损失也不会导致风险转移失败
【答案】CD
【解析】与其他的风险对策相比,非保险转移的优点主要体现在:一是可以转移某些不可保的潜在损失,如物价上涨、法规变化、设计变更等引起的投资增加:二是被转移者往往能较好地进行损失控制,如施工单位相对于建设单位能更好地把握施工技术风险,专业分包单位相对于总承包单位能更好地完成专业性强的工程内容。
【考点】建设工程风险及管理过程P187
61.实施工程监理与项目管理一体化须具备的条件有()。
A.建设单位的信任和支持
B.实行项目经理负责制
C.工程监理与项目管理队伍素质高
D.相关制度和标准健全
E.建立全过程集成化管理服务组织
【答案】ACD
【解析】
实施工程监理与项目管理一体化,须具备以下条件:
1.建设单位的信任和支持是前提
2.工程监理与项目管理队伍素质是基础
3.建立健全相关制度和标准是保证
【考点】工程监理与项目管理一体化的实施条件和组织职责P194
62.根据《建设工程监理规范》,总监理工程师应及时签发工程暂停令的情形有()。
A.建设单位未按合同约定支付施工单位工程款
B.建设单位要求暂停施工且工程需要暂停施工的
C.施工单位拒绝项目监理机构管理的
D.施工单位未按审查通过的工程设计文件施工的
E.施工单位未按施工方案施工的
【答案】BCD
【解析】
项目监理机构发现下列情况之一时,总监理工程师应及时签发工程暂停令:
(1)建设单位要求暂停施工且工程需要暂停施工的;
(2)施工单位未经批准擅自施工或拒绝项目监理机构管理的;
(3)施工单位未按审查通过的工程设计文件施工的;
(4)施工单位违反工程建设强制性标准的;
(5)施工存在重大质量、安全事故隐患或发生质量、安全事故的。
【考点】建设工程三大目标控制的任务和措施P141
63.根据《标准监理招标文件》,属于工程监理招标文件内容的是()。
A.投标人须知
B.评标办法
C.委托人要求
D.投标文件格式
E.资格预审文件格式
【答案】ACD
【解析】编制建设工程监理招标文件。招标文件既是投标人编制投标文件的依据,也是招标人与中标人签订建设工程监理合同的基础。招标文件一般应由以下内容组成:
1)招标公告(或投标邀请书);
2)投标人须知;
3)评标办法;
4)合同条款及格式;
5)委托人要求;
6)投标文件格式。
【考点】建设工程监理招标程序P72
64.监理工程师资格考试的专业科目成绩,需按照2年为一个周期进行滚动管理的有()的人员。
A.具有工学、管理科学与工程一级学科博士学位
B.具有工程师及以上职称,从事工程施工、监理、设计等业务满15年
C.取得公路水运工程监理工程师资格证书后增加专业类别
D.取得水利工程监理工程师资格证书后增加专业类别
E.取得土木建筑工程监理工程师资格证书后增加专业类别
【答案】CDE
【解析】免考基础科目和增加专业类别的人员,专业科目成绩按照2年为一个周期滚动管理。
【考点】监理工程师资格考试科目及报考条件P68
65.根据《建设工程企业资质管理制度改革方案》,关于工程监理企业资质的说法,正确的是()。
A.工程监理企业资质为综合资质和专业资质
B.综合资质分为一级和二级
C.专业资质分为甲、乙、丙三级
D.专业资质包括建筑工程、公路工程、水利工程等多个工程类别
E.工程监理企业可以申请资质增项
【答案】AE
【解析】工程监理企业资质将分为综合资质和专业资质。综合资质不分等级,专业资质等级压减为甲、乙两级。专业资质设有10个工程类别,包括:建筑工程、铁路工程、市政公用工程、电力工程、矿山工程、冶金工程、石油化工工程、通信工程、机电工程、民航工程。
【考点】工程监理企业组织形式P63
66.根据《建筑法》,关于建筑工程施工许可的说法,正确的是()。
A.申领施工许可证需要有保证工程质量的具体措施
B.建设行政主管部门应当自收到申请之日起一个月内,对符合条件的工程颁发许可证
C.按国务院有关规定批准开工报告的建筑工程,因故不能按期开工超过三个月的,应重新办理开工报告的审批手续
D.中止施工满一年的建筑工程恢复施工前,建设单位应当报发证机关核验施工许可证
E.建设单位领取施工许可证后,因故不能按期开工的,应向发证机关申请延期
【答案】ADE
【解析】
选项A,申请领取施工许可证,应当具备下列条件:
(一)已经办理该建筑工程用地批准手续;
(二)依法应当办理建设工程规划许可证的,已经取得建设工程规划许可证;
(三)需要拆迁的,其拆迁进度符合施工要求;
(四)已经确定建筑施工企业;
(五)有满足施工需要的资金安排、施工图纸及技术资料;
(六)有保证工程质量和安全的具体措施。
选项B,建设行政主管部门应当自收到申请之日起七日内,对符合条件的申请颁发施工许可证。
选项C,《建筑法》规定,按照国务院有关规定批准开工报告的建筑工程,因故不能按期开工者中止施工的,应当及时向批准机关报告情况。因故不能按期开工超过6个月的,应当新办理开工报告的批准手续。
选项D,建筑工程恢复施工时,应当向发证机关报告,中止施工满1年的工程恢复施工前,建设单位应当报发证机关核验施工许可证。
选项E,《建筑法》规定,建设单位应当自领取施工许可证之日起3个月内开工。因故不能按期开工的,应当向发证机关申请延期;延期以两次为限每次不超过3个月。既不开工又不申请延期或者超过延期时限的,施工许可证自行废止。
【考点】《建筑法》主要内容P22
67.根据《民法典》,关于合同履行的说法,正确的有()。
A.合同约定价款或者报酬不明确的,按照订立合同时订立地的市场价格履行
B.合同约定的履行地点不明确,给付货币的,在给付货币一方所在地履行
C执行政府定价或指导价的,逾期交付标的物遇价格上涨时,按照原价格执行
D.连带债务人之间的份额难以确定的,视为份额相同
E.应当先履行债务的当事人有确切证据证明对方经营状况严重恶化的,可以中止履行
【答案】ACDE
【解析】合同履行的一般规则。合同生效后,当事人就质量、价款或者报酬、履行地点等内容没有约定或者约定不明确的,可以协议补充;不能达成补充协议的,按照合同有关条款或者交易习惯确定。依照上述规定仍不能确定的,适用下列规定:
①质量要求不明确的,按照强制性国家标准履行;没有强制性国家标准的,按照推荐性国家标准履行;没有推荐性国家标准的,按照行业标准履行没有国家标准、行业标准的,按照通常标准或者符合合同目的的特定标准履行。
②价款或者报酬不明确的,按照订立合同时履行地的市场价格履行;依法应当执行政府定价或者政府指导价的,按照规定履行。
③履行地点不明确,给付货币的,在接受货币一方所在地履行:交付不动产的,在不动产所在地履行;其他标的,在履行义务一方所在地履行。选项B错误。
④履行期限不明确的,债务人可以随时履行,债权人也可以随时要求履行,但应当给对方必要的准备时间。
⑤履行方式不明确的按照有利于实现合同目的的方式履行。
⑥履行费用的负担不明确的,由履行义务一方负担;因债权人原因增加的履行费用,由债权人负担。
【考点】《民法典》第三编合同主要内容P33
68.根据《生产安全事故报告和调查处理条例》,关于事故调查的说法,正确的有()
A.特别重大事故由国务院或国务院授权有关部门组织事故调查组进行调查
B.重大事故,较大事故由事故发生地省级人民政府负责调查
C.未造成人员伤亡的一般事故,县级人民政府可以委托事故发生单位组织事故调查组进行调查
D.事故发生地与事故发生单位不在同一个县级以上行政区域的,由事故发生地人民政府负责调查
E.事故调查组应当自事故发生之日起45日内提交事故调查报告
【答案】AC
【解析】
A正确;特别重大生产安全事故由国务院或者国务院授权有关部门组织事故调查组进行调查。B错误;重大事故、较大事故、一般事故分别由事故发生地省级人民政府、设区的市级人民政府、县级人民政府负责调查。
C正确;未造成人员伤亡的一般事故,县级人民政府也可以委托事故发生单位组织事故调查组进行调查。
D错误;特别重大事故以下等级事故,事故发生地与事故发生单位不在同一个县级以上行政区域的,由事故发生地人民政府负责调查,事故发生单位所在地人民政府应当派人参加。
E错误;事故调查组应当自事故发生之日起60日内提交事故调查报告;
【考点】《生产安全事故报告和调查处理条例》相关内容(P50)
69.根据《建设工程质量管理条例》,关于施工单位质量责任和义务的设注,正确的有()。
A.隐蔽工程隐蔽前,施工单位应当通知工程质量监督机构
B.应按照国家有关规定办理工程质量监督手续
C.施工过程中发现设计文件和图纸有差错的,应及时提出意见和建议
D.应建立、健全施工质量检验制度
E.需要临时中断道路交通时,向有关部门办理相关手续
【答案】ACD
【解析】施工单位的质量责任和义务
(1)符合资质规定。
(2)总包和分包单位就分包工程的质量承担连带责任。
(3)施工单位在施工过程中发现设计文件和图纸有差错的,应当及时提出意见和建议。
(4)施工单位进行质量检验。不得使用未经检验或检验不合格的建筑材料。
(5)隐蔽工程在隐藏前,施工单位应当通知建设单位和建设工程质量监督机构。
(6)施工人员对涉及结构安全的试块、试件以及有关材料,应当在建设单位或者工程监理单位监督下现场取样,并送具有相应资质等级的质量检测单位进行检测(见证取样)
(7)施工单位必须建立、健全施工质量的检验制度,严格工序管理,施工单位对施工中出现质量问题的建设工程或者竣工验收不合格的建设工程,应当负责返修。
【考点】施工单位的质量责任和义务(P43)
70.根据《建设工程安全生产管理条件》,关于建设单位安全责任的说法,正确的有()。
A.自开工报告批准之日起15日内,将保障安全施工的措施报送建设工程所在地县级以上地方人民政府建设行政主管部门备案
B.申领施工许可证时,应当提供建设工程有关安全施工措施的资料
C.在拆除工程施工30日前,将拆除施工组织方案报建设工程所在地县级以上地方人民政府建设行政主管部门备案
D.对涉及高大模板工程的专项施工方案应组织专家论证
E.建设工程实施平行发包的,建设单位应对施工现场安全生产负总责
【答案】ABE
【解析】C选项错误,应当在拆除工程施工15日前报备。
D选项错误,组织专家论证应当由施工单位组织。
【考点】建设单位的安全责任(P46)
71.建设工程监理工作的规范化主要体现在()方面。
A.监理工作的时序性
B.热情服务的工作原则
C.严密的职责分工
D.各项监理工作目标明确
E.各项工作的完成时间有明确的限定
【答案】ACDE
【解析】
项目监理机构应按照建设工程监理合同约定,依据监理规划及监理实施细则规范化地开展建设工程监理工作。建设工程监理工作的规范化体现在以下几个方面:
(1)工作的时序性。是指工程监理各项工作都应按一定的逻辑顺序开展,使建设工程监理工作能有效地达到目的而不至于造成工作状态的无序和混乱。
(2)职责分工的严密性。建设工程监理工作是由不同专业、不同层次的专家群体共同完成的,他们之间严密的职责分工是协调进行建设工程监理工作的前提和实现建设工程监理目标的重要保证。
(3)工作目标的确定性。在职责分工的基础上,每一项监理工作的具体目标都应确定,完成的时间也应有明确的限定,从而能通过书面资料对建设工程监理工作及其效果进行检查和考核。
【考点】P98规范化地开展监理工作
72.工程监理投标时,编制监理实施方案应包括编解的内容有()
A.监理招标函
B.招标工程量清单
C.拟投入的资源
D.拟采用的监理方法和手段
E.监理工作制度和流程
【答案】CDE
【解析】建设工程监理实施方案。建设工程监理实施方案是监理评标的重点。根据监理招标文件的要求,针对建设单位委托监理工程特点,拟定监理工作指导思想、工作计划:主要管理措施、技术措施以及控制要点;拟采用的监理方法和手段;监理工作制度和流程:监理文件资料管理和工作表式;拟投人的资源等。
73.下列承包模式中,项目监理机构组织协调工作量较小的有()。
A.平行承包模式
B.施工总承包模式
C.合作体承包模式
D.EPC承包模式
E.设计施工总承包模式
【答案】BDE
【解析】采用工程总承包模式,建设单位的合同关系简单,组织协调工作量小。
【考点】工程总承包模式下建设工程监理委托方式p96
74.根据《建设工程监理规范》,确定项目监理机构的组织形式和规模时,应考虑的因素有()。
A.工程项目特点
B.工程项目施工环境
C.工程建设规模
D.工程技术复杂程度
E.施工组织设计深度
【答案】CD
【解析】工程监理单位派驻施工现场的顿目监理机构的组织形式和规模,应根据建设工程监理合同约定的服务内容、服务期限,以及工程特点、规模、技术复杂程度、环境等因素确定。
75.项目管理机构采用职能制组织形式的优点有()
A.可减少相互矛盾的指令
B.可实现两套管理系统的相互融合
C.可发挥职能部门的专业管理作用
D.可减轻总监理工程师专业性工作的负担
E.可提供专业化管理效率
【答案】CDE
【解析】职能组织形式的主要优点是加强了项目监理目标控制的职能化分工,可以发挥职能机构的专业管理作用,提高管理效率,减轻总监理工程师负担。缺点是由于下级人员受多头指挥,如果这些指令相互矛盾,会使下级在监理工作中无所适从。
【考点】项目监理机构组织形式P106
76.根据《建设工程监理规范》,监理规划应包含的内容有()
A.监理工作的范围、内容、目标
B.监理人员进退场计划
C.安全生产管理的监理工作
D.监理实施细则的编制需求
E.质量保证体系的建立
【答案】ABC
【解析】监理规划的内容包括:工程概况;监理工作的范围、内容、目标;监理工作依据;监理组织形式、人员配备,及进退场计划、监理人员岗位职责;监理工作制度。问工程质量控制;工程造价控制;工程进度控制;安全生产管理的监理工作;合同与信息管理;组织协调;监理工作设施。
77.项目监理机构的内部工作制度有()。
A.监理人员考核评比制度
B.监理工作报告制度
C.监理例会制度
D.质量安全事故报告制度
E.监理人员教育培训制度
【答案】CE
【解析】项目监理机构内部工作制度:
(1)项目监理机构工作会议制度,包括监理交底会议、监理例会、监理专题会、监理工作会议等;
(2)项日监理机构人员岗位职责制度;
(3)对外行文审批制度;(4)监理工作日志制度;
(5)监理周报、月报制度;
(6)技术、经济资料及档案管理制度;
(7)监理人员教育培训制度:
(8)监理人员考勤、业绩考核及奖惩制度。
【考点】监理工作制度P120
78.下列工作中,属于项目监理机构在施工阶段造价控制任务的有()。
A.确定预防费用索赔的措施
B.审查施工方案
C.制定减少工程变更费用增加的措施
D.确认分包单位资格
E.编制施工阶段资金使用计划
【答案】ACE
【解析】为完成施了阶段造价控制任务,项目监理机构需要做好以下了作:协助建设单位制定施了阶段资金使用计划,严格进行了程叶量和付款控制,做到不多付、不少付、不重复;严格控制工程变更,力求减少工程变更费用;研究确定预防费用索赔的措施,以避免、减少施工索赔,及时处理施工索赔,井协助建设单位进行反索赔;协助建设单位按期提交合格合格现场,保质、保量、适时、适地提供由建设单位负责提供的工程材料和设备;审核施了单位提交的工程结算文件等。
【考点】建设工程三大目标控制的任务和措施P140
79.工程监理评标中,对监理大纲针对性评审的内容有()
A.针对项目特点所列举的相关监理业绩清单
B.针对项目特点确定的质量控制措施
C.针对项目特点确定的进度控制措施
D.针对项目特点确定的旁站项目清单及旁站方案
E.针对项目特点确定的计量控制措施
【答案】BCD
【解析】建设工程监理大纲中应对工程特点、监理重点与难点进行识别。在对招标工程进行透彻分析的基础上,结合自身工程经验,从工程质量、造价、进度控制刀C安全生产管理等方面确定监理工作的重点和难点,提出针对性措施和对策。
【考点】建设工程监理评标内容(P74)
80.下列工程监理文件资料中,需要建设单位签署审批意见的有()。
A.工程开工报审表
B.工程开工令
C.费用索赔报审表
D.工程暂停令
E.单位工程竣工验收报审表
【答案】AC
【解析】下列表式需要建设单位审批同意:施工组织设计或(专项)施工方案报审表(仅对超过一定规模的危险性较大的分部分项工程专项施工方案);工程开工报审表;工程复工报审表;工程款支付报审表;用索赔报审表;工程临时或最终延期报审表
2023年监理工程师《案例分析(土建)》真题答案及解析!
案例一
1.某工程建安工程投资20000万元,施工合同工期24个月,工程实施过程中发生
如下事件:
事件1:
事件2:
事件3:
事件4:
问题:
1、针对事件1,分别确定工程建设程度(每年完成建安工程投资额)及不同岗位监理人员最低配备数量。项目监理机构至少需配备多少人?
2、针对事件2,第一次工地会议纪要应由谁负责整理和签字,项目监理机构在哪些情形下需签发《工程暂停令》?哪些情形下适合签发《监理通知单》?
3、针对事件3,写出项目监理机构处置程序。
4、指出事件4,中的不妥之处,写出正确的做法。
【答案】
1、工程建设强度=20000/24*12=10000(万元人民币/年)=10(千万元人民币/年)
各类监理人员数量如下:专业监理工程师:0.3*10=3人,监理员0.6*10=6人,行政文秘人员0.1*10=1人
2、
(1)第一次工地会议纪要由项目监理机构负责整理,与会各方代表会签。
(2)签发《工程暂停令》的情形:①未经批准擅自施工的;②施工单位未按批准的设计文件施工的;⑤施工单位拒绝监理机构管理的。
(3)签发《监理通知单》的情形:③施工单位采用不适当施工工艺的;④施工存在质量事故隐患的;⑥特种作业人员未持证上岗的。
3、项目监理机构发现施工存在质量问题的,应及时签发监理通知单,要求施工单位整改。监理通知单由专业监理工程师或总监理工程师签发。
4、不妥之处:项目监理机构编写了工程质量评估报告,由总监理工程师代表签约后报送建设单位。
正确做法:工程竣工预验收合格后,由总监理工程师组织专业监理工程师编制工程质量评估报告,编制完成后,由项目总监理工程师及监理单位技术负责人审核签认并加盖监理单位公章后报建设单位。工程质量评估报告应在正式竣工验收前提交给建设单位。
2023年监理工程师《案例分析(交通专业)》真题答案及解析!
案例一:
1.在建公路隧道长度2960m,合同价5.8亿,工期36个月,由甲监理单位监理,其中发生了以下事件:事件1:事件2:事件3:问题 1、根据隧道划分属于什么类别隧道?2、事件1有哪些不妥之处?写出正确做法。3、事件2有哪些不妥之处?写出正确做法。4、(1)属于什么安全生产事故等级,说明理由。(2)事件了有哪些不妥之处?写出正确做法。
案例一【答案】问题1,隧道长度2960m,属于长隧道(1000<L≤3000m) 问题2,不妥一;采取装药与钻孔平行作业,做法不妥,严禁装药与钻孔平行作业。不妥二;采用钢棍作为炮棍装药,做法不妥,应采用木棍作为炮棍装药。不妥三;用煤粉作为炮泥堵塞密封,做法不妥,应采用黏土炮泥或水泥炮泥作为炮泥进行炮口密封。问题3,不妥一;使用内径0.5米钢管作为逃生通道,做汁不妥。应采用内径不小于0.8米的管道。不妥二;逃生通道距离开挖掌子面50米,做法不妥,逃生通道距离开挖掌子面不得大于20米问题4, (1)重伤12人,死亡1人,直接经济损失670万,属于Ⅲ级别(较大)事故。(2)不妥一、单位负责人到达现场后立即拨打110报告了事故情况,做法不妥,单位负责人在接到事故报告后,1小时内向事故发生地县级以上人民政府安全生产监督管理部门和负有安全生产监督管理职责的有关部门报告。不妥二、事故发生之日起28日又有1人救治无效死亡,未进行补报,做法不妥。自事故发生之日起30日内,事故造成的伤亡人数发生变化的,应当及时补报。
案例一:
1.在建公路隧道长度2960m,合同价5.8亿,工期36个月,由甲监理单位监理,其中发生了以下事件:事件1:事件2:事件3:问题 1、根据隧道划分属于什么类别隧道?2、事件1有哪些不妥之处?写出正确做法。3、事件2有哪些不妥之处?写出正确做法。4、(1)属于什么安全生产事故等级,说明理由。(2)事件了有哪些不妥之处?写出正确做法。
案例一【答案】问题1,隧道长度2960m,属于长隧道(1000<L≤3000m) 问题2,不妥一;采取装药与钻孔平行作业,做法不妥,严禁装药与钻孔平行作业。不妥二;采用钢棍作为炮棍装药,做法不妥,应采用木棍作为炮棍装药。不妥三;用煤粉作为炮泥堵塞密封,做法不妥,应采用黏土炮泥或水泥炮泥作为炮泥进行炮口密封。问题3,不妥一;使用内径0.5米钢管作为逃生通道,做汁不妥。应采用内径不小于0.8米的管道。不妥二;逃生通道距离开挖掌子面50米,做法不妥,逃生通道距离开挖掌子面不得大于20米问题4, (1)重伤12人,死亡1人,直接经济损失670万,属于Ⅲ级别(较大)事故。(2)不妥一、单位负责人到达现场后立即拨打110报告了事故情况,做法不妥,单位负责人在接到事故报告后,1小时内向事故发生地县级以上人民政府安全生产监督管理部门和负有安全生产监督管理职责的有关部门报告。不妥二、事故发生之日起28日又有1人救治无效死亡,未进行补报,做法不妥。自事故发生之日起30日内,事故造成的伤亡人数发生变化的,应当及时补报。
1、工程建设与使用中,保证人身和环境免受危害,是建设工程质量特性中的()。
A.适用性
B.耐久性
C.安全性
D.可靠性
【答案】C
【解析】安全性,是指工程建成后在使用过程中保证结构安全、保证人身和环境免受危害的程度。
【考点】质量P1
2.工程建设与使用中,保证人身和环境免受危害,是建设工程质量特性中的()要求。
A.适用性
B.耐久性
C.安全性
D.可靠性
【答案】C
【解析】安全性,是指工程建成后在使用过程中保证结构安全、保证人身和环境免受危害的程度。建设工程产品的结构安全度、抗震、耐火及防火能力,人民防空的抗辐射、抗核污染、抗冲击波等能力是否能达到特定的要求,都是安全性的重要标志。
【考点】建设工程质量特性(p1)
3.加强过程和中间产品的质量检查与控制,体现了质量管理中的()原则。
A.持续改进
B.预防为主
C.以人为核心
D.以合同为依据
【答案】B
【解析】坚持预防为主的原则:要重点做好质量的事前控制和事中控制,以预防为主,加强过程和中间产品的质量检查和控制。
【考点】质量P5
4.施工单位向建设单位提交工程竣工验收报告时,应向建设单位出具的文件是()。
A.质量保修书
B.工程质量评估报告
C.工程竣工图
D.工程竣工结算文件
【答案】A
【解析】建设工程承包单位在向建设单位提交工程竣工验收报告时,应当向建设单位出具质量保修书。
【考点】质量P10
5·关于建设单位行为的说法,正确的是()。
A.将单位工程分解成若干标段,平行发包给不同施工单位
B.向施工单位支付相应费用后可任意压縮工期
C.将施工合同范围内的工程另行发包给承诺工期短的施工单位
D.对于涉及建筑主体结构变动的装修工程,要求设计方案完成前不得施工
【答案】D
【解析】A肢解发包,C非法转包;建设单位不得将一个单位工程的施工分解成若干部分发包给不同的施工总承包或专业承包单位:不得将施工合同范围内 的单位工程或分部分项程又行发包;不得违反合同约定,通过各种形式要求承包单位 选择指定的分包单位。B任意压缩工期,建设 程发包时,不得迫使承包方以低 成本的价格竟标,不得任意压缩合理工期.
【考点】建设单位的质量责任和义务(P11)
6.关于全数检测和抽样检测的说法,正确的是()
A.只有全数检验在时间上不允许时,才采用抽样检验
B.只有全数检验在经济上不允许时,才采用抽样检验
C.能够进行全数检验的,就不要采用抽样检验
D.破坏性检验,不能采用全数检验
【答案】D
【解析】虽然只有采用全数检验,才有可能得到 100%的合格品,但由于下列原因,还必须采用抽样检验:(1)破坏性检验,不能采取全数检验方式。
【考点】抽样检验及检验批(P59)
7.某工程质量检查项目及其不合格点数统计如下表,根据排列图法,影响该工程质量的主要因素有()个。

A.1
B.2
C.3
D.4
【答案】B
【解析】如下图表格,累计频率在0-80%的区间内,有两个项目,故主要因素为2,选B。

8.采用直方图法分析工程质量状况时,将两种不同工艺方法产生的数据混在一起,可能绘制出()直方图。
A.孤岛型
B.双峰型
C.折齿型
D.绝壁型
【答案】B
【解析】双峰型,是由于用两种不同方法或两台设备或两组工人进行生产,然后把两方面数据混在一起整理产生的。【考点】工程质量统计分析方法 质量P73
【专业科目】:目标控制(土木建筑)
9.某工序质量控制图中,质量点全部落在控制界限内,但出现()时,应判定为工序质量异常。
A.四点链
B.五点链
C.六点链
D.七点链
【答案】D
【解析】链。是指质量点连续出现在中心线一侧的现象。出现五点链,应注意生产过程发展状况。出现六点链,应开始调查原因。出现七点链,应判定工序异常需采取处理措施。
【考点】工程质量统计分析方法质量P77
10.砌体结构实体检测中,属于砌体结构强度检测的内容是()。
A.混凝土构造柱强度检测
B.砌筑砂浆强度检测
C.楼板混凝土强度检测
D.预制构件承载力试验
【答案】B
【解析】砌体结构的强度检测可分为砌筑块材强度、砌筑砂浆强度、砌体强度等项目,各项目的检测方法操作应遵守相关检测技术标准。
11.施工组织设计由施工单位项目部组织编制完成后,由()审核并加盖单位公章后报项目监理机构审查。
A.项目监理
B.项目部技术负责人
C.施工单位技术负责人
D.施工单位法定代表人
【答案】C
【解析】施工单位编制的施工组织设计经施工单位技术负责人审核签认后,与施工组织设计报审表一并报送项目监理机构。
【考点】施工组织设计的审查(质量P110)
12.ISO质量管理体系中,过程方法管理原则的基本内容是()。
A.应用PDCA循环
B.组织全员参与
C.坚持持续改进
D.注重关系管理
【答案】A
【解析】过程方法的基本内容包括:(1)应用PDCA 循环;(2)过程策划;(3)明确管理的职责和权限;(4)配备过程所需资源;(5)重点管理能改进组织关键活动的各种因素。(6)评估过程风险以及对顾者其他相关方可能产生的影响和后果;
【考点】ISO质量管理体系的质量管理原则及特征(质量22-23)
13工程监理企业质量管理体系文件中,阐述企业内部质量管理纲领性文件的是()
A.质量手册
B.程序文件
C.作业文件
D.质量记录
【答案】A
【解析】质量手册。
质量手册是监理单位内部质量管理的纲领性文件和行动准则,应阐明监理单位的质量方针和质量目标,并描述其质量管理体系的文件,它对质量管理体系做出了系统、具体而又纲领性的阐述。
【考点】监理企业质量管理体系的建立与实施(质量P31)
14经试验测得一组3块200mm×200mm×200mm混凝土试件的土方体抗压强度分别为42.5MPa,45.8MPa和52.8MPa,则该组混凝土试件抗压强度是()MPa。
A.45.8
B.47.0
C.48.1
D.49.4
【答案】B
【解析】52.8-45.8)÷45.8=15.3%>15%,(45.8-42.5)+45.8=7.2%<15%。故取中间值45.8
【考点】普通混凝土拌合物性能试验(P82)
15.采用立方体试块抗压强度试验方法检测砌筑砂浆强度时,试块强度验收应符合的规定是()
A.同一验收批试块强度平均值与设计强度等级值的比值21.10
B.同一验收批试块强度最小一组平均值与设计强度等级值的比值21.10
C.同一验收批试块强度平均值与设计强度等级值的比值21.05
D.同一验收批试块强度最小一组平均值与设计强度等级值的比值>1.05
【答案】A
【解析】
1、同一验收批砂浆试块强度平均值应大于或等于设计强度等级值的 1.10 倍;
2、同一验收批砂浆试块抗压强度的最小一组平均值应大于或等于设计强度等级值的85%。
【考点】砌体结构材料(p86)
16下列专业工程中,通常需要进行方案设计的是()。
A.公路工程
B.能源工程
C.市政道路工程
D.建筑与人防工程
【答案】D
【解析】建筑与人防专业建设项目,一般分为方案设计、初步设计和施工图设计三个阶段。
【考点】初步设计阶段质量管理质量P97
17.下列施工控制测量成果检查工作中,属于专业监理工程师()
A.查验测量设备的检定证书
B.查验模板的平整度
C.检查边坡位移测量报告
D.检查承台施工后的轴线偏差
【答案】A
【解析】专业监理工程师应检查、复核施工单位报送的施工控制测量成果及保护措施,签署意见:并应对施工单位在施工过程中报送的施 放线成果进行查验。施工控制测量成果及保护措施的检查、复核,包括:①施工单位测 人员的资格证书及测 设备检定证书;②施工平面控制网、高程控制网和临时水准点的测量成果及控制桩的保护措施。
【考点】查验施工控制测量成果(P113)
18检查施工质量管理人员是否到位,特种作业人员是否持证上岗,属于项目监理机构()的工作内容。
A.验收
B.巡视
C.旁站
D.平行检验
【答案】B
【解析】巡视应包括下列主 内容:(3)施下现场管理人员.特别是施工质量管理人员是否到位,应对其是否到位及履行情况做好检查和记录。
【考点】巡视与旁站(P120)
19.关于后浇带施工要求的说法,正确的是()。
A.后浇带两侧混凝土浇筑60天后即可浇筑后浇带混凝土
B.后浇带处的模板及支撑应与相邻模板及支撑同时安装
C.所有后浇带处都应设置止水带
D.后浇带处混凝土应采取减少混凝土收缩的措施
【答案】D
【解析】
A错误;后浇带的棍凝土按设计和规范要求的时间进行浇筑。浇筑时间,应事先在施工 方案中确定。
B错误;楼板后浇带的模板支撑体系按规定单独设置。
C错误;有防水要求的大体积底板参加墙相连线的施工 缝,应采取钢板止水带处理措施。)
【考点】混凝土工程(P128-129)
20·用于检查结构件混凝土强度的同条件养护试块,取样地点和方式正确的是()
A.邮寄厂随机抽取
B.搅拌运输车进入工地时随机抽取
C.建筑地点随机抽取
D.工地试验室制备取样
【答案】C
【解析】选定同条件养护试件结构部位,检查结构构件混凝强度试件取样,检查施工记录及试件强度试验报告。用于检查结构构件混凝土强度的试件,应在混凝土的浇筑地点随机抽取。
【考点】混凝土制备质量控制P137
21城市轨道交通建设工程自()合格之日可投入不载客试运行。
A.单位工程验收
B.竣工验收
C.项目工程验收
D.竣工预验收
【答案】C
【解析】城市轨道交通建设工程自项目.工程验收合格之日起可投入不载客试运行,试运行时间不应少于三个月。
【考点】项目工程验收P183
22.某结构梁的混凝土强度设计等级为C30,其试块强度为35MPa,试题取芯强度评定为26MPa。期该结构混凝土验收合格的条件是()。
A.经项目监理机构确认,试块强度符合验收要求。
B.经建设单位组织专家论证,确定符合验收要求。
C.经监理单位计算复核,满足设计要求
D.经原设计单位验算,满足结构安全和使用功能
【答案】D
【解析】经有资质的检测机构检测鉴定达不到设计要求,但经原设计单位核算认可能够满足安全和使用功能的检验批,可予以验收。
【考点】建筑工程质量验收时不符合要求的处理P180
23在搅拌运输车运输过程中,混凝土坍落度损失过大时,可采取的措施是()。
A.在运输车罐内适量加水快速搅拌
B.在运输车罐内加入高效减水剂
C.在运输车罐内适量加入与原配合比相同成分的减水剂
D.在原混凝土强度等级的基础上降一级使用
【答案】C
【解析】采用混凝土搅拌运输车运输混凝土进入工地后对坍落度检查,对因道路堵塞或其他意外情况造成坍落度损失过大,不能满足施工要求时严禁加水,可在运输车罐内加入适量的与原配合比相同成分的减水剂。减水剂掺入后搅拌运输车应快速进行搅拌,搅拌的时间应由试验确定。
【考点】混凝土生产质量控制(质量P135)
24·设备制造质量控制中,通过设置设备质量控制点实现设备制造过程质量控制的工作方式是()
A.驻厂监控
B.巡回监控
C.定点监控
D.定时监控
【答案】C
【解析】定点监控:大部分设备可以采取定点监控的方式。定点监控通过对影响设备制造质量的诸多因素设置质量控制点,以做好预控及技术复核,从而实现设备制造过程中的质量控制。
【考点】设备制造的质量控制方式(质量P199)
25某项目的设备及工器具购置费6000万元,建筑安装工程费5000万元,工程建设其他费3600万元,基本预备费450万元。涨价预备费610万元,建设期利息650万元、流动资金900万元,则该项目的动态投资部分为()万元。
A.2160
B.1260
C.1060
D.610
【答案】B
【解析】固定资产投资可分为静态投资部分和动态投资部分。静态投资部分由建筑安装工程费、设备及工器具购置费、工程建设其他费和基本预备费构成。动态投资部分,是指在建设期内,因建设期利息和国家新批准的税费、汇率、利率变动以及建设期价格变动引起的固定资产投资增加额,包括涨价预备费和建设期利息。610+650=1260万元
【考点】建设工程项目投资的概念(投资P1)
26·关于工序验收的说法,正确的是()。
A.每道工序完成后,需经建设单位检查合格方可进行下道工序施工
B.每道工序完成后,施工单位应当报项目监理机构进行验收
C.监理单位提出检查要求的工序,应经项目监理机构检查认可方可进行下道工序施工
D.只要分项工程的最后一道工序需要项目监理机构参加验收
【答案】B
【解析】在施工过程中,项目监理机构应督促施工单位加强内部质量管理,严格质量控制。施工作业过程均应按规定工艺和技术要求进行。在每道工序完成后,施工单位应进行自检,只有上一道工序被确认质量合格后,方能准许下道工序施工。
【考点】施工质量控制的工作程序(质量106)
27.纳税人所在地在县城、镇的。城市维护建设投资税率为()
A.1%
B.3%
C.5%
D.7%
【答案】C
【解析】城市维护建设税是指为了加强城市的维护建设,扩大和稳定城市维护建设资金的来源,规定凡缴纳增值税、消费税的单位和个人,都应当依照规定缴纳城市维护建设税。城市维护建设税税率如下:纳税人所在地在市区的,税率为7%;纳税人所在地在县城、镇的,税率为5%;纳税人所在地不在市区、县城或者镇的,税率为1%。
【考点】按费用构成要素划分的建筑安装工程费用项目组成(投资P16)
28.施工合同签订时尚未确定或者不可预见的所需材料、工程设备、服务的采购、施工中可能发生的工程变更、合同约定调整因素出现时的工程价款调整等费用应列入()。
A.暂列金额
B.总承包服务费
C.计日工
D.措施项目费
【答案】A
【解析】暂列金倾指建设单位在工程量清单中暂定并包括在工程合同价款中的一笔款项。用于施工合同签订时尚未确定或者不可预见的所需材料、工程设备、服务的采购,施工中可能发生的工程变更、合同约定调整因素出现时的工程价款调整以及发生的索赔、现场签证确认等的费用。
【考点】其他项目费(P19)
29某综合办公楼项目,建筑分部分项工程费为4500万元,安装分部分项工程费为2500万元,装饰装修分部分项工程费为3000万元。人工费占分部分项工程费的30%;措施项目费以分部分项工程费为计算基础,措施项目费费率为5%;其他项目费合计1200万元;规费以人工费为计费基础,规费费率为15%;增值税税率为9%。以上费用均不含增值税进项税额,则该项目的建筑安装工程费为()。
A.11700.0
B.12150.0
C.13203.0
D.13243.5
【答案】D
【解析】
分部分项费;4500+2500+3000=10000万元措施项目费;10000×5%=500万元其他项目费;1200万元
规费;10000×30%×15%=450万元税金;(10000+500+1200+450)x9%=1093.5万元合计;10000+500+1200+450+1093.5=13243.5万元
【考点】按造价形成划分的建筑安装工程费用项目组成(P18)
30.某进口设备,装运港船上交货价(FOB)为70万美元,到岸价(CIF)为78万美元,关税税率为10%,增值税税率为13%,美元汇率为:1美元=6.9元人民币,则该进口设备的增值税为人民币()万元。
A.62.7900
B.69.9660
C.76.2450
D.76.9626
【答案】D
【解析】增值税;
(78×6.9)x(1+10%)x13%=76.9626万元问
【考点】进口设备抵岸价的构成(P29)
31某新建项目,建设期2年,计划向银行借款9000万元,第1年借款5000万元,第二年借款4000万元,年利率为5%,则该项目估算的建设期利息为()万元
A.250.00
B.356.25
C.481.25
D.712.50
【答案】C
【解析】
第一年;5000×50%×5%=125万元第二年;(5000+125+4000×50%)x5%=356.25万元
合计;125+356.25=481.25万元
【考点】建设期利息(P36)
32.建设工程进度控制计划体系中,施工准备工作计划是()计划系统的组成内容
A.建设单位
B监理单位
C.设计单位
D.施工单位
【答案】D
【解析】施工单位的进度计划包括:施工准备工作计划、施工总进度计划、单位工程施工进度计划及分部分项工程进度计划。
【考点】施工单位的计划系统(P12)
33.应用网络计划技术编制建设工程进度计划时,依据时间定额,并考虑工作建设合理的劳动组织可计算的时间参数是()
A.工作持续时间
B.工作最早完成时间
C.节点最早时间
D.要求工期
【答案】A
【解析】工作持续时间是指完成该工作所花费的时间。其计算方法有多种,既可以凭以往的经验进行估算,也可以通过试验推算。当有定额可用时,还可利用时间定额或产量定额并考虑工作面及合理的劳动组织进行计算。
【考点】计算时间参数及确定关键线路阶段(P17)
34监理工程师审查施工进度计划时发现有重大问题的,应进行的工作是()。
A.口头通知施工单位确定整改方案33网
B.及时向建设单位汇报
C.及时组织消除存在的问题
D.建立避免出现类似重大问题的相关制度
【答案】B
【解析】如果监理工程师在审查施工进度计划的过程中发现问题,应及时向承包单位提出书面修改意见(也称整改通知书),并协助承包单位修改。其中重大问题应及时向业主汇报。
【考点】建设工程施工进度控制工作内容进度P121
35.编制施工总进度计划时,需要进行的工作是()
A.按工艺确定分项工程之间的逻辑关系
B.按组织确定分布工程之间的逻辑关系
C.确定各单位工程的施工期限
D.确定各分项工程的施工期限
【答案】C
【解析】施工总进度计划是根据施工部署中施工方案和工程项目的开展程序,对全工地所有单位工程做出时间上的安排。其目的在于确定各单位工程及全工地性工程的施工期限及开竣工日期,进而确定施工现场劳动力、材料、成品、半成品、施工机械的需要数量和调配情况,以及现场临时设施的数量、水电供应量和能源、交通需求量。因此,科学、合理地编制施工总进度计划,是保证整个建设工程按期交付使用,充分发挥投资效益,降低建设工程成本的重要条件。
【考点】施工单位的计划系统P12
36.工程项目组织依次施工的特点是()
A.能充分利用工作面进行施工,工期较短
B.能由一个工作队完成全部工作任务,有利于专业化作业
C.单位时间内利用的施工机具少,有利于调配施工机具
D.专业工作队连续施工,有利于最大限度地搭接施工
【答案】C
【解析】依次施工方式具有以下特点:
(1)没有充分地利用工作面进行施工,工期长;(2)如果按专业成立工作队,则各专业队不能连续作业,有时间间歇,劳动力及施工机具等资源无法均衡使用;
(3)如果由一个工作队完成全部施工任务,则不能实现专业化施工,不利于提高劳动生产率和工程质量;
(4)单位时间内投入的劳动力、施工机具、材料等资源量较少,有利于资源供应的组织;
(5)施工现场的组织、管理比较简单。
【考点】组织施工的方式(P21)
37.流水施工参数中,流水步距的含义是()
A.相邻两个施工过程相继开始施工的最小间隔时间
B.相邻两个施工段相继开始施工的最小间隔时间
C.相邻两个施工过程之间因组织安排需要增加的间隔等待时间
D.相邻两个施工段之间因工艺安排需要增加的间隔等待时间
【答案】A
【解析】流水步距是指组织流水施工时,相邻两个施工过程(或专业工作队)相继开始施工的最小间隔时间。
【考点】时间参数(P25)
38.关于工程网络计划中关键工作的说法,正确的是()。
A.非关键线路上无关键工作
B.关键工作的持续时间最长233网
C.计划工期等于计算工期时,关键工作无机动时间
D.计划工期大于计算工期时,关键工作自由时差大于零
【答案】C
【解析】工作的总时差是指在不影响总工期的前提下,本工作可以利用的机动时间。无机动时间说明总时差为0
【考点】工作的六个时间参数(P46)
39,《卓越绩效评价准则》的实质是一种()评价。
A.标准化导向
B.符合性
C.合格性
D.成熟度
【答案】D
【解析】卓越绩效"模式是成熟度评价,采用目标驱动和绩效激励,对过程绩效与结果绩效进行诊断,通过对过程绩效的评价,可以了解企业处于成熟度的哪个阶段。
40.下列双代号网络工作路线图示中,绘图正确的是()。




【答案】A
【解析】B无节点编号,错误。C出现无箭头连线,错误。D节点编号表示方式错误。
【考点】双代号网络图的绘制(P38)
41在工程网络计划中,关于计划工期的说法,正确的是()
A.当有要求工期时,计划工期不大于要求工期
B.当未规定要求工期时,计划工期可小于计算工期
C.根据网络计划确定计划工期时,计划工期须等于计算工期
D.根据网络计划确定计划工期时,可不考虑要求工期
【答案】A
【解析】计划工期。
计划工期是指根据要求工期和计算工期所确定的作为实施目标的工期。
1)当已规定了要求工期时,计划工射过款2)当未规定要求工期时,可令计划工期等于计算工期。
【考点】工作持续时间和工期(P45)
42.某工程网络计划如下图所示,工作D的最迟开始时间和总时差分别是()。

A.6和2
B.6和4
C.7和2
D.7和3
【答案】D
【解析】工作D的总时差为3,最迟开始时间=4+3=7
43·工程单代号网络计划中,工作总时差是指()
A.本工作与其紧后工作之间的时间间隔
B.本工作与其紧后工作之间时间间隔的最小值
C.本工作与其紧后工作之间时间间隔加该紧后工作总时差之和的最小值
D.本工作与其紧后工作之间时间间隔加该紧后工作总时差之和的最大值
【答案】C
【解析】其他工作的总时差应等于本工作与其各紧后工作之间的时间间隔加该紧后工作的总时差所得之和的最小值
44某工程双代号时标网络计划如下图,工作C的最早开始时间和总时差分别是()

A.3和2
B.3和1
C.2和2
D.2和1
【答案】B
【解析】工作c的最早开始时间可以直接由图可得,为3天;工作C的总时差=min{1,3+2}=1天
45.工程网络计划资源优化的目标是()
A.工期固定条件下寻求资源均衡
B.工期固定条件下寻求资源需求最小
C.资源供应充足条件下寻求最短工期
D.寻求资源需求最小时的工期安排
【答案】A
【解析】在通常情况下,网络计划的资源优化分为两种,即“资源有限,工期最短”的优化和“工期固定,资源均衡”的优化。前者是通过调整计划安排,在满足资源限制条件下,使工期延长最少的过程;而后者是通过调整计划安排,在工期保持不变的条件下,使资源需用量尽可能均衡的过程。
46.建设工程进度调整系统过程中,需要进行的工作是()
A.建立进度数据采集系统
B.收集实际进度数据
C.分析进度偏差产生的原因
D.实际进度与计划进度的对比分析
【答案】C
【解析】进度调整的系统过程:
(1)分析进度偏差产生的原因
(2)分析进度偏差对后续工作和总工期的影响
(3)确定后续工作和总工期的限制条件
(4)采取措施调整进度计划
【考点】进度调整的系统过程(进度91)
47.某工程横道计划如下图所示,图中表明的正确信息是()。

A.第2周中断施工,进度拖后
B.第3周中断施工,进度拖后
C.第5周连续施工,进度超前
D.第6周连续施工,进度超前
【答案】C
【解析】选项A错误,第2周中断施工,进度超前;选项B错误,第3周中断施工,进度超前;选项D错误,第6周中断施工,进度超前。
【考点】横道图比较法(进度94)
48.监理工程师编制的施工进度控制工作细则应包含的内容是()
A.工程延期审批工作程序
B.与进度控制有关的工作流程
C.工期延误处置措施
D.工程材料设备检验计划
【答案】B
【解析】施工进度控制工作细则是在建设工程监理规划的指导下,由项目监理机构进度控制部门的监理工程师负责编制的更具有实施性和操作性的监理业务文件。其主要内容包括:
(1)施工进度控制目标分解图;
(2)施工进度控制的主要工作内容和深度;
(3)进度控制人员的职责分工;
(4)与进度控制有关各项工作的时间安排及工作流程;
(5)进度控制的方法(包括进度检查周期、数据采集方式、进度报表格式、统计分析方法等);
(6)进度控制的具体措施(包括组织措施、技术措施、经济措施及合同措施等);
(7)施工进度控制目标实现的风险分析;
(8)尚待解决的有关问题。
【考点】建设工程施工进度控制工作内容(进度120)
49在工程建设领域对建筑工人工资支付负总责的单位是()
A.建设单位
B.总包单位
C.分包单位
D.监理单位
【答案】B
【解析】农民工工资的支付。工程建设领域总包单位对农民工工资支付负总责,推行分包单位农民工工资委托总包单位代发制度。
【考点】支付账户(P198)
50.关于建筑工程施工质量验收层次划分的说法,正确的是()。
A.隐蔽工程是分部工程的组成部分
B.检验批由分项工程组成
C.分部工程是按专业性质和工程部位划分的
D.检验批质量验收项目均为主控项目
【答案】C
【解析】
选项A错误,分项工程是分部程的组成部分。选项B错误,检验批是分项工程的组成部分。选项D错误,检验批验收包括资料检查、主控项目和一般项目的质量检验。
【考点】建筑工程施工质量验收层次划分原则(质量156)
51.单位工程竣工验收由()组织相关单位进行。
A.建设单位项目负责人
B.总监理工程师
C.设计单位项目负责人
D.施工单位项目负责人
【答案】A
【解析】单位工程竣工验收由建设单位项目负责人组织监理、施工、设计、勘察等单位项目负责人等。
52.某土方工程,合同工程量为4万m3,合同综合单价为92元/m3,合同约定,当实际工程量增加15%以上时,超出15%以上部分的工程量综合单价应与调低,由于设计变更,该工程实际完成工程量5万m3,监理人和承包人依据合同约定协商后确定的土方工程变更单价为89.5元/m3,则该工程实际结算价款为()万元
A.447.5
B.457.5
C.459.0
D.460.0
【答案】B
【解析】
40000×1.15×92+(50000-40000×1.15)×89.5-459万元
53.钻孔桩桩长的计量一般采用的方法是()
A.断面法
B.图纸法
C.估价法
D.分解计量法
【答案】B
【解析】在工程量清单中,许多项目都采取按照设计图纸所示的尺寸进行计量。如昆凝土构筑物的体积,钻孔桩的桩长等
【考点】工程计量的方法(P162)
54.根据《关于完善建设工程价款结算有关办法的通知》(财建[2022]183号),政府机关、事业单位、国有企业建设工程进度款支付应不低于已完成工程价款的()。
A.70%
B.80%
C.85%
D.90%
【答案】B
【解析】提高建设工程进度款支付比例。政府机关、事业单位、国有企业建设工程进度款支付应不低于已完成工程价款的80%。
【考点】进度款【投资196】
55.影响工程进度的因素中,出现复杂的工程地质条件属于()影响因素。
A.业主方
B.施工技术
C.勘察设计
D.自然环境
【答案】D
【解析】自然环境因素。如复杂的工程地质条件;不明的水文气象条件;地下埋藏文物的保护、处理;洪水、地震、台风等不可抗力等。
【考点】影响进度的因素分析(进度1)
56.项目公司将资金成本作为比较
A.比较项目各种融资方式优劣
B.比较选择各个追加筹资方案
C.确定项目最佳资本结构
D.分析和计算个别资金成本高低
【答案】A
【解析】资金成本是比较筹资方式、选择筹资方案的依据。资金成本有个别资金成本、综合资金成本、边际资金成本等形式,它们在不同情况下具有各自的作用。
个别资金成本的高低可作为比较各种融资方式优劣的一个依据。
综合资金成本的高低就是比较各美资做出最佳资本结构决策的基本依据。
边际资金成本就成为比较选择各个追加筹资方案的重要依据。
57在项目可行性研究阶段,建设方案研究和比选应包括的内容是()
A.工艺技术和主要设备方案
B.项目监理工作方案
C.项目施工组织设计
D.危大工程施工应急预案
【答案】A
【解析】建设方案研究和比选应包括的内容包括:
(1)产品方案与建设规模。
(2)工艺技术和主要设备方案。
(3)厂(场)址选择。
(4)主要原材料、辅助材料、燃料供应。
(5)总图运输和土建方案。
(6)公用工程。
(7)节能、节水措施。
(8)环境保护治理措施方案。
(9)安全、职业卫生措施和消防设施方案。(10)项目的组织机构与人力资源配置等。
(11)对政府投资项目还应包括招标方案和代建制方案等。
【考点】项目可行性研究的内容(投资65)
58.某项目年初向银行借款1000万元,年利率3%,按年复利计息,从借款年当年末起连续3年末等额还本付息,则每年末应偿还的金额为()万元
A.343
B.344
C.353
D.364
【答案】C
【解析】
A=Pi(1+i)n/((1+i)n-1)=1000x3%(1+3%)3/((1+3%)3-1)=353.53
【考点】资金时间价值的计算(投资74)
59.某项目预计年经营成本为3000万元,年外购原材料、燃料或服务费用为2000万元,年预付各类原材料、燃料或服务费为1200万元,年应收账款周转次数4次,则该项目应收账款估算金额为()
A.450
B.500
C.750
D.800
【答案】C
【解析】应收账款=年经营成本/应收账款周转次数=3000/4=750万元。
60.某招标工程,发包人拟将其中的专业工程甲依法单独发包,但施工过程中由承包人统一提供协调和配合服务,则承包人投标报价时应将该服务费用列入()
A.总承包服务费
B.计日工费
C.专业工程暂估价
D.措施项目费
【答案】A
【解析】总承包服务费是为了解决招标人在法律、法规允许的条件下进行专业工程发包以及自行采购供应材料、设备时,要求总承包人对发包的专业工程提供协调和配合服务(如分包人使用总包人的脚手架、水电接剥等);对供应的材料、设备提供收、发和保管服务以及对施工现场进行统一管理;对竣工资料进行统一汇总整理等发生并向总承包人支付的费用。
61为有效控制工程设计进度,需要工程设计单位进行的工作是()
A.编制设计出图计划
B.编制设计任务书
C.编制设计进度控制工作细则
D.编制设计工作量清单
【答案】A
【解析】设计单位的进度控制:
(1)建立计划部门,负责设计单位年度计划的编制和工程项目设计进度计划的编制。
(2)建立健全设计技术经济定额,并按定额要求进行计划的编制与考核。
(3)实行设计工作技术经济责任制,将职工的经济利益与其完成任务的数量和质量挂钩。
(4)编制切实可行的设计总进度计划、阶段性设计进度计划和设计进度作业计划。
(5)认真实施设计进度计划,力争设计工作有节奏、有秩序、合理搭接地进行。
(6)坚待按基本建设程序办事,尽量避免进行"边设计、边准备、边施工”的“三边”设计。
(7)不断分析总结设计进度控制工作经验,逐步提高设计进度控制工作水平。
【考点】设计单位的进度控制(进度114)
62.因发包人提供图纸有误,导致项目费用增加和工期延误时,监理人处理承包人索赔的正确做法是()。
A.批复增加的费用,不批复延误的工期和利润补偿
B.批复延误的工期,不批复增加的费用和利润补偿
C.批复增加的费用和延误的工期,不批复利润补偿
D.批复增加的费用、延误的工期和利润补偿
【答案】D
【考点】承包人向发包人的索赔(P182)
63.某分项工程具有四项功能,各功能区功能价值和现实成本如下表。

对该分项公工程开展价值工程活动时,应优先作为改进对象的是()
A.F1
B.F2
C.F3
D.F4
【答案】A
【解析】以功能目标成本为基准,通过与功能现实成本的比较,求出两者的差值(改善期望值),然后选择改善期望值大的功能作为价值工程活动的重点对象:
F1:150-30=20问
F2:180-170=10
F3:140-155=-15233
F4:200-215=15
显然选择F1作为改进对象。
64·单项工程施工图预算造价的计算表达式是()
A.Σ单位建筑工程费用+Σ单位安装工程费用
B.Σ单位建筑工程费用+Σ单位设备及安装工程费用
C.E单位建筑工程费用+2工程建设其他费用
D.Σ单位建筑工程费用+Σ项目措施费用
【答案】B
【解析】单项工程施工图预算=Σ单位建筑工程费用+Σ单位设备及安装工程费用
【考点】施工图预算的编制方法(投资124)
多选
81总监理工程师签发工程开工令时,该工程需具备的条件有()。
A.已完成设计交底和图纸会审
B.已签认施工组织设计
C.已审核分包单位资质
D.已开通进场道路及水、电、通信
E.签署的工程开工报审表已获建设单位批准
【答案】ABD
【解析】具备下列条件时,应由总监理工程师签署审查意见,并应报建设单位批准后,总监理工程师签发工程开工令:
1)设计交底和图纸会审已完成;
2)施工组织设计已由总监理工程师签认;
3)施工单位现场质量、安全生产管理体系已建立,管理及施工人员已到位,施工机械具备使用条件,主要工程材料已落实;
4)进场道路及水、电、通信等已满足开工要求。
【考点】项目质量控制系统的建立和实施(质量P43)
82.在工程建设中,施工单位应履行的法定质量责任和义务有()。
A.建立质量责任制,对工程的施工质量负责
B.分包单位对其分包工程的质量向建设单位负责
C.施工中发现设计文件图纸有差错的,应及时提出意见和建议
D.隐蔽工程隐蔽前,应通知建设单位和工程质量监督机构
E.对涉及结构安全的试块,应自觉进行现场取样并检测
【答案】ACD
【解析】施工单位的质量责任和义务是:
(1)应当依法取得相应等级的资质证书,并在其资质等级许可的范围内承揽工程。
(2)对建设工程的施工质量负责。应当建立质量责任制,确定工程项目的项目经理、技术负责人和施工管理负责人。建设工程实行总承包的,总承包单位应当对全部建设工程质量负责;建设工程勘察、设计、施工、设备采购的一项或者多项实行总承包的,总承包单位应当对其承包的建设工程或者采购的设备的质量负责。
(3)总承包单位依法将建设工程分包给其他单位的,分包单位应当按照分包合同的约定对其分包月工程的质量向总承包单位负责,总承包单位与分包单位对分包工程的质量承担连带责任。
(4)必须按照工程设计图纸和施工技术标准施工,不得擅自修改工程设计,不得偷工减料。在施工过程中发现设计文件和图纸有差错的,应当及时提出意见和建议。
(5)必须按照工程设计要求、施工技术标准和合同约定,对建筑材料、建筑构配件、设备和商品混凝土进行检验,检验应当有书面记录和专人签字:未经检验或者检验不合格的,不得使用。
(6)必须建立、健全施工质量的检验制度,严格工序管理,做好隐蔽工程的质量检查和记录。隐蔽工程在隐蔽前,应当通知建设单位和建设工程质量监督机构。
(7)施工人员对涉及结构安全的试块、试件以及有关材料,应当在建设单位或者工程监理单位监督下现场取样,并送具有相应资质等级的质量检测单位进行检测。
(8)对施工中出现质量问题的建设工程或者竣工验收不合格的建设工程,应当负责返修。
(9)应当建立、健全教育培训制度,加强对职工的教育培训;未经教育培训或者考核不合格的人员,不得上岗作业。
【考点】施工单位的质量责任和义务(质量P13-14)
83.工程监理企业质量管理体系有效运行的表现有()。
A.总体设计完美
B.通俗易懂
C.全面贯彻与行为到位
D.适时管理与适中控制
E.有效识别和不断完善
【答案】CDE
【解析】质量管理体系的有效运行可以概括为全面贯彻、行为到位、适时管理、适中控制、有效识别、不断完善。
【考点】监理企业质量管理体系的建立与实施(质量P35)
84项目监理机构建立项目质量控制系统时,应制定的工作制度有()。
A.施工图设计文件审查制度
B.施工组织设计审核审批制度233网
C.工程计量签证制度
D.工程资料检验制度
E.监理例会制度
【答案】BE
【解析】制定工作制度:施工图纸会审及设计交底制度;施工组织设计/施工方案审核、审批制度;工程开工、复工审批制度;工程材料检验制度;工程质量检验制度;工程变更处理制度;工程质量验收制度;监理例会制度;监理工作日志制度
【考点】项目质量控制系统的建立和实施(P43)
85.专业监理工程师对施工单位试验室的检查内容有()。
A.试验室的资质等级及实验范围
B.试验设备的计量
C.类似的试验业绩
D.相关试验方法
E.试验人员的资格证书
【答案】ABE
【解析】专业监理工程师应检查施工单位为本工程提供服务的试验室
(包括施工单位自有试验室或委托的试验室)。试验室的检查应包括下列内容:①试验室的资质等级及试验范围;②法定计量部门对试验设备出具的计量检定证明;③试验室管理制度:4试验人员资格证书。
86.对于复杂的建筑工程主体结构分部工程,可划分为()等于子分部工程。
A.混凝土结构
B.填充墙砌体结构
C.钢结构
D.钢管混凝土结构
E.铝合金结构
【答案】ACDE
【解析】当分部工程较大或较复杂时,可按材料种类、施工特点、施工程序、专业系统及类别将分部工.程划分为若干子分部工程。
如:建筑工程的主体结构分部工程划分为混凝土结构、砌体结构、钢结构、钢管混凝土结构、型钢混凝土结构、铝合金结构、木结构等子分部工程。
【考点】 建筑工程施工质量验收层次划分原则P156
87项目监理机构在装配式结构施工过程中,应当旁站的关键工序有()
A.钢筋套筒的选择
B.钢筋套筒链接的灌浆233网木
C.装配式构建支撑体系的搭设
D.预制构件的吊装
E.现浇混凝土施工
【答案】BD
【解析】3.构件存放、运输与吊装的质量控制
(1)构件吊装
1)楼板面测量放线时,项目监理机构应进行旁站,并对放样的细部尺寸构件安装标高进行测量放线。
2)构件(外挂板、外墙板、内墙板、隔墙板、预制柱、叠合梁、叠合板、楼梯)吊装时,项目监理机构应对吊装施工进行旁站监理。
3)PC构件灌浆时,项目监理机构应对钢筋套筒灌浆连接、钢筋浆锚搭接灌浆作业实施旁站监理。
88.根据《建筑工程施工质量验收统一标准》,建筑电气专业的安全和功能检查项目有()。
A.照明通电试运行记录
B.绝缘电阻测试记录
C.应急电源装置应急持续供电记录
D.导线连接测试记录
E.等电位连接测试记录
【答案】ABC

89.混凝土钻芯取样试验可用来检验的混凝土特性有()。
A.密实性
B.裂缝处理效果
C.抗压强度
D.耐久性
E.与钢筋的握裹性能
【答案】ABC
【解析】2)必要的鉴定为确保工程质量事故的处理效果,凡涉及结构承载力等使用安全和其他重要性能的处理工作,常需做必要的试验和检验鉴定工作。如果质量事故处理施工过程中建筑材料及构配件保证资料严重缺乏,或对检查验收结果各参与单位有争议时,常见的检验工作有:混凝土钻芯取样,用于检查密实性和裂缝修补效果,或检测实际强度;结构荷载试验,确定其实际承载力;超声波检测焊接或结构内部质量:池、罐、箱柜工程的渗漏检验等。检测鉴定必须委托具有资质的法定检测单位进行。
【考点】工程质量事故处理的基本方法 P195
90.政府和社会资本合作(ppp)项目中,原则上由社会资本承担的项目风险有()
A.法律和政策风险
B.项目设计风险
C.项目财务风险
D.项目最低需求风险
E.运营维护风险
【答案】BC
【解析】原则上,项目设计、建造、财务和运营维护等商业风险由社会资本承担,法律、政策和最低需求等风险由政府承担,不可抗力等风险由政府和社会资本合理共担。
【考点】PPP模式的含义和适用范围(P59)
91.在装配式混凝土结构连接部位及叠合构建浇筑混凝土之前,应进行隐蔽工程验收的内容有()。
A.混凝土粗糙面的质量
B.键槽的尺寸、数量、位置
C.钢筋的牌号、规格、数量、位置
D.与预制件之间的防水、防火等构造做法
E.构件出厂合格证
【答案】ABCD
【解析】对于装配式混凝土结构连接部位及叠合构件浇筑混凝土之前、应进行隐蔽工程验收。隐蔽工程验收主要内容包括:混凝土粗糙面的质量,键槽的尺寸、数量、位置;钢筋的牌号、规格、数量、位置、间距,箍筋弯钩的弯折角度及平直段长度;钢筋的连接方式、接头位置、接头数量、接头面积百分率、搭接长度、锚固方式及错固长度;预埋件、预留管线的规格、数量、位置;预制混凝土构件接缝处防水、防火等构造做法:保温及其节点施工;其他隐蔽项目:隐蔽项目施工过程记录照片。
【考点】隐蔽工程质量验收P164
92.下列费用中,属于工程建设其他费的有()。
A.工程招标费
B.环境影响评价费
C.单台设备调试费
D.进口设备检验鉴定费
E.生产准备费
【答案】ABDE
【解析】工程建设其他费用,是指未纳入以上两项的,根据设计文件要求和国家有关规定应由项目投资支付的、为保证工程建设顺利完成和交付使用后能够正常发挥效用而发生的一些费用。工程建设其他费用可分为三类:
第一类是建设用地费,包括土地征用及迁移补偿费和土地使用权出让金;
第二类是与项目建设有关的费用,包括建设单位管理费(工程招标费)、勘察设计费、专项评价费(包括环境影响评价及验收费、安全预评价及验收费、职业病危害预评价及控制效果评价费、地震安全性评价费、地质灾害危险性评价费、水土保持评价及验收费、压覆矿产资源评价费、节能评估费、危险与可操作性分析及安全完整性评价费以及其他专项评价及验收费。)研究试验费、引进技术和进口设备其他费(进口设备检验鉴定费)、建设工程监理费等。
第三类是与未来企业生产经营有关的费用,包括联合试运转费(不包括应由设备安装工程费开支的单台设备调试费及无负荷联动试运转费用)生产准备费、办公和生活家具购置费等。
【考点】工程建设其他费用 P32-35
93.项目可行性研究阶段进行的投资估算,在项目建设过程中的作用有()
A.作为项目投资决策的重要依据
B.对工程设计概算起控制作用
C.作为编制施工最高投标限价的依据
D.作为项目资金筹措的依据
E.作为办理工程竣工结算的重要依据
【答案】ABD
【解析】投资估算在项目建设过程中的作用如下:
(1)项目建议书阶段的投资估算,是项目主管部门审批项目建议书的依据之一,并对项目的规划、规模起参考作用。
(2)项目可行性研究阶段的投资估算,是项目投资决策的重要依据,也是研究、分析、计算项目投资经济效果的重要条件。
(3)项目投资估算对工程设计概算起控制作用。当可行性研究报告被批准后,设计概算就不得突破批准的投资估算额,并应控制在投资估算额以内。
(4)项目投资估算可作为项目资金筹措及制订建设贷款计划的依据。建设单位可根据批准的项目投资估算额,进行资金筹措和向银行申请贷款。(5)项目投资估算是核算建设项目建设投资需要额和编制建设投资计划的重要依据。
(6)项目投资估算是进行工程设计招标、优选设计单位和设计方案的依据。在进行工程设计招标时,投标单位报送的标书中,除了具有设计方案的图纸说明、建设工期等,还包括项目的投资估算和经济性分析,以便衡量设计方案的经济合理性。
94.下列工程量中,监理人应予计量的有()。
A.非承包人原因工程变更增加的工程量
B.因工程量清单漏项增加的工程量
C.承包人超出图纸范围施工增加的工程量
D.因发包人提供资料错误造成承包人返工的工程量
E.承包人原因施工质量超出合同要求增加的工程量
【答案】ABD
【解析】非承包人原因引起的工程量增加,且质量达到要求的已完工程,监理人应予计量。
95.采用修正总费用法计算索赔费用时,正确的做法有()
A.重新核算投标费用
B.基于预算定额基价重新核算实际单价
C.将计算索赔款的时间段局限于收到外界影响的时间,而不是整个施工期
D.只计算受影响时段内某项工作所受影响的损失,而不是计算该时段内所有施工工作所遭受的损失
E.与该项工作无关的费用不列入工费用
【答案】CDE
【解析】修正的总费用法
修正的总费用法是对总费用法的改进,即在总费用计算的基础上、去掉一些不合理的因素,使其更合理。A选项错误。修正的内容如下:
(1)将计算索赔款的时段局限于受到外界影响的时间,而不是整个施工期。c选项正确。
(2)只计算受影响时段内的某项工作所受影响的损失,而不是计算该时段内所有施工工作所受的损失。D选项正确。
(3)与该项工作无关的费用不列入总费用中。E选项正确。
(4)对投标报价费用重新进行核算:按受影响时段内该项工作的实际单价进行核算,乘以实际完成的该项工作的工程量,得出调整后的报价费用。B错误。
按修正后的总费用计算索赔金额的公式如下:
索赔金额=某项工作调整后的实际总费用一该项工作调整后的报价费用。修正的总费用法与总费用法相比,有了实质性的改进,它的准确程度已接近于实际费用法。
96.下列工程进度控制措施中,属于合同措施的有()。
A.推行CM承发包模式
B.及时办理工程进度款支付手续
C.严格控制合同变更
D.加强索赔管理
E.对工程延误收取误期损失赔偿金
【答案】ACD
【解析】合同措施进度控制的合同措施主要包括:
(1)推行CM承发包模式,对建设工程实行分段设计、分段发包和分段施工;A选项正确
(2)加强合同管理,协调合同工期与进度计划之间的关系,保证合同中进度目标的实现;
(3)严格控制合同变更,对各方提出的工程变更和设计变更,监理工程师应严格审查后再补入合同文件之中;c选项正确
(4)加强风险管理,在合同中应充分泌虑风险及其对进度的影响,以及相应的处理方法;
(5)加强索赔管理,公正地处理索赔。D选项正确。
【考点】进度控制的措施和主要任务P3
97.开展建设项目总进度目标论证时,需要进行的工作有()。
A.项目结构分析
B.项目工作编码
C.监理项目协调工作制度
D.进行总进度规划
E.编制各层进度计划
【答案】ABE
【解析】总进度目标论证的工作步骤
建设项目总进度目标论证的工作步骤如下:
(1)调查研究和收集资料;
(2)项目结构分析;A选项正确。
(3)进度计划系统的结构分析;
(4)项目的工作编码;B选项正确
(5)编制各层进度计划:E选项正确
(6)协调各层进度计划的关系,编制总进度计划;
(7)若所编制的总进度计划不符合项目的进度目标,则设法调整;
(8)若经过多次调整,进度目标无法实现,则报告项目决策者。
【考点】建设项目总进度目标的论证P4
98.下列流水施工参数中,属于空间参数的有()。
A.施工工期
B.施工段
C.工作面
D.施工强度
E.施工过程
【答案】BC
【解析】
(1)工艺参数:施工过程、流水强度。D、E选项错误。
(2)空间参数:施工段、工作面。B、C选项正确
(3)时间参数:流水节拍、流水步距、流水施工工期。A选项错误
【考点】流水施工参数P22-25
99.通过压缩关键工作的持续时间来调整工程网络计划时,应优先选择()的关键工作作为压缩对象。
A.资源强度最小
B.持续时间最大
C.缩短时间总费用增加最少
D.缩短时间所需增加直接费最少
E.缩短时间对安全影响不大
【答案】CE
【解析】
在网络计划的工期优化过程中,选择压缩对象时宜在关键工作中考虑下列因素:
①缩短持续时间对质量和安全影响不大的工作;E选项正确
②有充足备用资源的工作;
③缩短持续时间所需增加的费用最少的工作。D选项正确。一般来说,不管采取哪种措施,都会增加费用。因此,在调整施工进度计划时,应利用费用优化的原理选择费用增加量最小的关键工作作为压缩对象。
100.采用控制图法分析工序质量状况时,可判定为生产状态异常的情形有()。
A.连续2点至少有1点接近控制界限
B.连续3点至少有2点接近控制界限
C.连续7点至少有3点接近控制界限
D.连续10点至少有4点接近控制界限
E.连续20点至少有5点接近控制界限
【答案】BCD
【解析】点子排列接近控制界限。是指质量点落在μ±2σ以外和μ±3σ以内。如属下列情况的,判定为异常:
0连续3点至少有2点接近控制界限;0连续7点至少有3点接近控制界限;连续10点至少有4点接近控制界限。
101.价值工程活动中,在创新阶段建新方案可采用的方法有
A.功能成本法
B.功能指数法
C.德尔菲法
D.头脑风暴法
E.哥顿法
【答案】CDE
【解析】价值工程新方案创造;为了引导和启发创造性的思考,比较常用的方法有以下几种头脑风暴法,哥顿法,专家意见法(德尔菲法),专家检查法。
【考点】价值工程新方案创造(P110)
102.采用承压板现场试验方法检测地基土的承载力时,应满足的要求有()。
A.试验基坑深度宽度不应小于承压板宽度的3倍
B.试验基坑深度不应大于1.2m
C.同一土层参加统计的试验点不应少于3点
D.加荷分级不应小于8级
E.最大加载量不应小于设计要求的2倍
【答案】ACDE
【解析】地基土的承载力试验采用承压板现场试验确定。试验方法按照现行国家标准《建筑地基基础设计规范》GB50007 要求进行,要点如下:
1)试验基坑宽度不应小于承压板宽度或直径的3倍。
2)加荷分级不应少于8级。最大加载量不应小于设计要求的2倍。
3)当出现下列情况之一时,即可终止加载:
①承压板周围的土明显地侧向挤出;
②沉降s急骤增大,荷载-沉降(P-S)曲线出现陡降段;
③在某一荷载下,24h内沉降速率不能达到稳定;
④沉降量与承压板宽度或直径之比大于或等于
0.064)同一土层参加统计的试验点不应少于3点,当试验参数实测值的极差不超过其平均值的30%时,取此平均值作为地基承载力特征值。【考点】地基土承载力试验(p87)
103.工程监理单位承担施工图设计的协调管理服务,应完成的工作有()。
A.明确施工图设计的深度要求
B.审查新材料、新工艺、新技术、新设备在相关部门的备案情况
C.建立设计过程的联席会议制度
D.开展深化设计管理
E.开展施工图审查
【答案】BCE
【解析】工程监理单位承担设计阶段相关服务的,应做好下列工作:
(1)协助建设单位审查设计单位提出的新材料、新工艺、新技术、新设备(简称“四新”)在相关部门的备案情况.(2)协助建设单位建立设计过程的联席会议制度.3)协助建设单位开展深化设计管理。【考点】施工图设计质量管理(P100)
104.关于最高投标限价的说法,正确的有()。
A.所有招标工程均应编制最高投标限价
B.招标人应委托造价咨询机构编制最高投标限制
C.最高投标限价应在招标文件中如实公布
D.招标人应公布最高投标限价的总价及其详细组成
E.招标人可在评标前根据情况调整最高投标限价
【答案】CD
【解析】选项A,B错误,根据相关部门规定,国有资金投资的建设工程招标,招标人必须编制最高投标限价。最高投标限价应由具有编制能力的招标人或受其委托工程造价咨询人编制和复核。
C正确,E错误;招标人应在招标文件中如实公布最高投标限价,不得对所编制的最高投标限价进行上浮或下调。
D正确;人在招标文件中应公布最高投标限价各组成部分的详细内容,不得只公布最高投标限价总价。
【考点】最高投标限价及确定方法(P140)
105.项目采用估算工程量固定单价合同时,关于工程量和工程价款结算的说法,正确的有()。
A.估算工程量应由投标人根据设计文件和现场情况测定
B.初始合同价格估算工程量和固定单价汇总计算得到
C.分部分项工程实际工程量与估算工程量不能有实质性变更
D.工程价款结算和支付按实际工程量而非估算工程量计算
E.合同完成后,实际工程价款应大于初始合同价款
【答案】BCD
【解析】(1)估算工程量单价合同这种合同形式是以工程量清单和相应的综合单价表为基础和依据来计算合同价格的,也称为计量估价合同。估算工程量单价合同通常是由发包方提出工程量清单,列出分部分项工程量,由承包方以此为基础填报相应单价,累计计算后得出合同价格(A选项错误)。但最后的工程结算价应按照实际完成的工程量来计算,即按合同中的分部分项工程单价和实际工程量,计算得出工程结算和支付的工程总价格(B选项错误、D选项正确)。采用这种合同时,要求实际完成的工程量与原估计的工程量不能有实质性的变更。C选项确。因为承包方给出的单价是以相应的工程量为基础的,如果工程量大幅度增减可能影响工程成本。这种合同计价方式较为合理地分担了合同履行过程中的风险。承包方据以报价的清单.工程量为估计工程量,这样可以避免当实际完成工程量与估计工程量有较大差异时,总价合同计价可能导致发包方过大的额外支出或是承包方较大的亏损。此外,承包方在投标时可不必将不能合理准确预见的风险计入投标报价内,有利于发包方获得较为合理的合同价格。采用估算工程量单价合同时,工程量是统一计算出来的,承包方只要经过复核后填上适当的单价即可;发包方也只需审核单价是否合理,对双方都较为方便。由于具有这些特点,估算工程量单价合同是比较常用的一种合同计价方式,它可在不能精确地计算出工程量的条件下,避免发包或承包的任何一方承担过大的风险。
估算工程量单价合同大多用于工期长、技术复杂、实施过程中可能会发生各种不可预见因素较多的建设工程,或发包方为了缩短项目建设周期,如在初步设计完成后就拟进行施工招标的工程。在施工图不完整或当准备招标的工程项目内容、技术经济指标一时尚不能明确和具体予以规定时,往往要采用这种合同计价方式。
【考点】单价合同P48
106.按计划期分解施工进度控制目标时,新分解的目标可用
A.实物工程量
B.XX消耗量
C.货币工作量
D.形象进度
E.里程碑事件
【答案】ACD
【解析】(四)按计划期分解,组织综合施工将工程项目的施工进度控制目标按年度、季度、月(或旬)进行分解,并用实物工程量、货币工作量及形象进度表示,将更有利于监理工程师明确对各承包单位的进度要
【考点】施工进度控制目标体系(P118)
107.项目监理机构在主体结构工程施工阶段进行巡视的内容有( )
A.检查钢筋连接方式是否符合设计要求
B.查看模板拆除是否符合已审批的施工方案
C.审查装配式预制构件的吊装方案
D.监督钢筋在梁柱节点的安装质量E.检查基坑坑边的荷载是否在允许范围内
【答案】ABD
【解析】巡视是对工程施工质量进行巡视,强调是否按照工程设计文件、工程建设标准和批准的施工组织设计、(专项)施工方案施工进行施工,而不是对方案本身进行审查。E属于基础土方开挖工程的内容。
108.某项目计算期8年,基准收益率为6%,基准动态投资回收期为7年,计算期现金流量如下表。(单位:万元)

根据该项目现金流量可得到的结论是()。
A.项目累计净现金流量为300万元
B.项目年投资利润率为15.15%
C.项目静态投资回收期为7.5年
D.从动态投资回收期判断,项目可行
E.项目前三年累计现金流量现值为-2248.4万元
【答案】ACE
【解析】项目累计净现金流量
=-3300+500+500+500+500+500+500+600=300万元,A正确。从表中无法找到利润的相关数据,B错误。静态投资回收期是在不考虑资金时间价值的条件下,累计净现金流等于0时对应时间:
7+300/600=7.5年,C正确。动态投资回收期要比静态投资回收期长些,因此动态投资回收期大于
7.5年,超过基准动态投资回收期,项目不可行,D错误。项目前三年累计现金流量现值为-3300/(1+6%)+500/(1+6%)2+500/(1+6%)2=-2248.4万元,E正确。
109.某工程组织流水施工,各施工段流水节拍如下表所示,该工程的流水步距,间歇时间和流水施工工期计算正确的有()

A.AB间流水步距为3
B.BC间流水步距为5
C.CD间流水步距为2
D.AD间流水步距为9
E.流水施工工期为20
【答案】ACE
【解析】求各施工过程流水节拍的累加数列:施工过程A:3,7,10施工过程B:4,7,10施工过程C:2,4,7施工过程D:3,5,9
错位相减求得差数列
在差数列中取最大值求得流水步距
AB间流水步距为3
“国流水绩E加)33
CD间流水步距为2
流水施工工期-3+6+2+9=20
【考点】非节奏流水施工(进度32)
110.某工程进度计划执行到第3月底和第8月底的前锋线如下图所示,图中表明的是正确信息有()。

A.工作C在第3月底检查时,拖后1个月,影响工期
B.工作D在第3月底检查时超前1个月,不影响工期
C.工作H在第8月底检查时,拖后1个月,不影响工期
D.工作I在第8月底检查时进度正常,不影响工期
E.工作G在第8月底检查时拖后1个月,不影响工期
【答案】ABC
【解析】
D错误;工作I在第8月底检查时拖后1个月,影响工期
E错误;工作G在第8月底检查时拖后2个月,影响工期
【考点】进度计划实施中的调整方法(P105)
111.关于工程网络计划中关键线路的说法,正确的有()。
A.关键线路上相邻两项工作之间的时距均为零
B.关键线路上的工作是关键工作
C.关键节点组成的线路是关键线路
D.双代号时标网络计划中无波形线的线路是关键线路
E.单代号网络计划中时间间隔均为零的线路是关键线路
【答案】BDE
【解析】
A错误,所谓时距,就是在搭接网络计划中相邻两项工作之间的时间差值,与关键线路没有必然关系
C错误;关键工作两端的节点必为关键节点,但两端为关键节点的工作不一定是关键工作。
— END —
声明:转载此文是出于传递更多信息之目的,不为商业用途。文字和图片版权归原作者所有,若有来源标注错误或侵犯了您的合法权益,请作者与我们联系,我们将及时更正、除,谢谢。
| 2022年全国各省建企中标100强 | |||
| 吉林 | 辽宁 | 黑龙江 | 河北 |
| 北京 | 天津 | 山东 |
山西 |
| 陕西 | 内蒙古 | 甘肃 | 宁夏 |
| 青海 | 新疆 | 西藏 | 河南 |
| 江苏 | 浙江 | 上海 | 安徽 |
| 福建 | 江西 |
湖北 | 湖南 |
| 重庆 | 四川 | 云南 | 贵州 |
| 广西 | 广东 | 海南 | 全国 |
注:全国(未计入港澳台地区)各省建筑施工企业年度百强榜,蓝色为已经发布的省份,点击相关省份(市)即可直接查看。 |
|||
▼关注建筑业观察,获取全国最新建筑政策。

立即关注!

立即关注!



