
今天上午,
广东省教育考试院上线“广东民声热线”,
发布今年广东高校各批次录取最低分数线,
介绍招生录取情况。
↓↓↓
2019广东高考分数线出炉:文科455分,理科390分可上本科

录取时间从7月7日到8月12日
广东省教育考试院院长王斌伟介绍,今年招生录取分为三个批次:提前批、本科批次、专科批次。
录取时间从7月7日到8月12日。其中,提前批是7月7到7月12日。本科批次是7月13日到7月31日。专科批次是8月1日到8月12日。
在提前批中有七种招生类型,比如空军、非军警、艺术类本科、教师专项计划、卫生专项计划等。
在本科批次有一个自主招生院校批次(零批次),有五种招生类型,自主招生,综合评价,高水平运动队,高水平艺术团和高校专项计划等。
专科批次还有一个专科提前批,此外还有征集志愿的录取。
今年招生有“两个增加”
今年招生有“两个增加”,首先是招生院校数量有增加。全国在广东招生有1502所,比去年增加了27所,其中本科院校900多所,专科院校500多所。
招生计划总量也有所增加。今年全省有75.8万考生,而全省招生计划74.4万,其中23.6万已经在春季高考完成录取。夏季高考的招生计划是50.8万,其中本科为29.7万,比去年增加近1万;专科21.1万。
王斌伟表示,招生计划增加,录取机会自然也增加,在分数线以上的考生可大胆填报志愿。
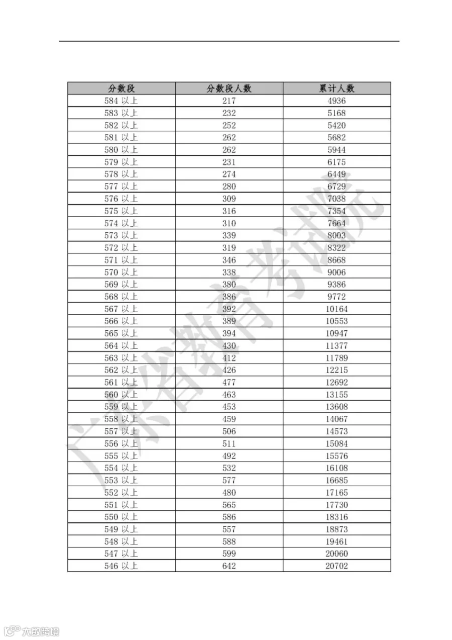
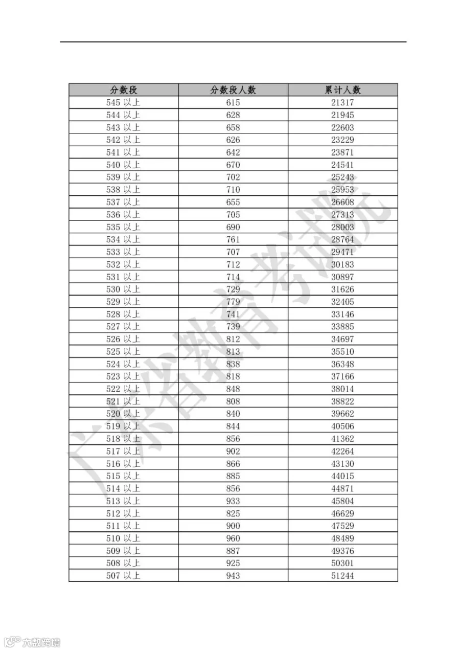
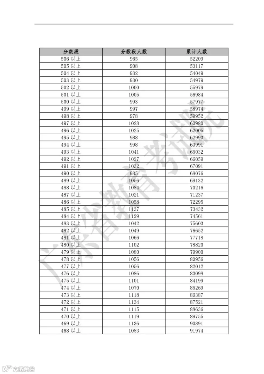
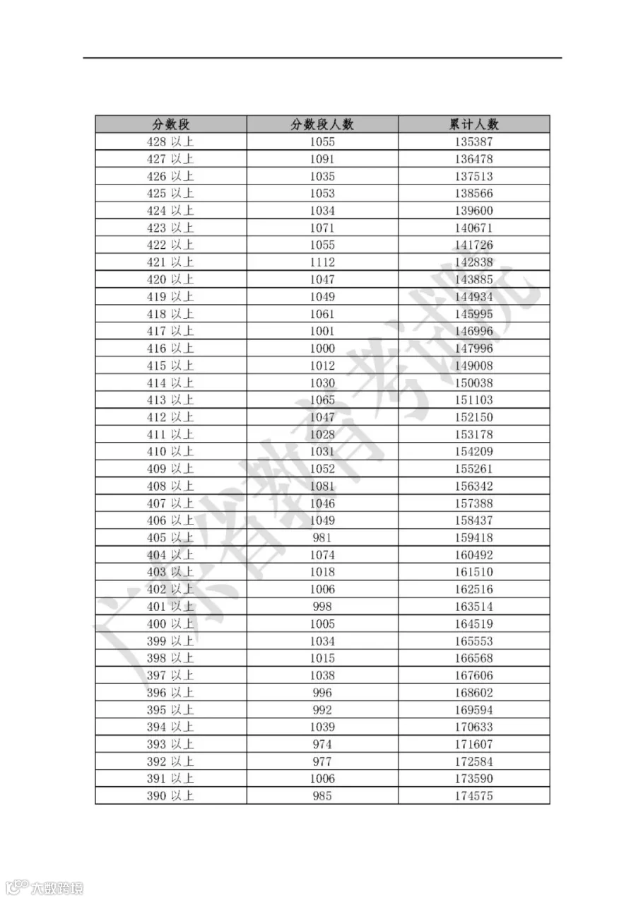
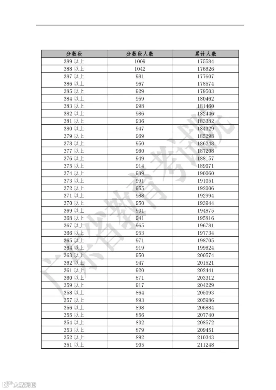
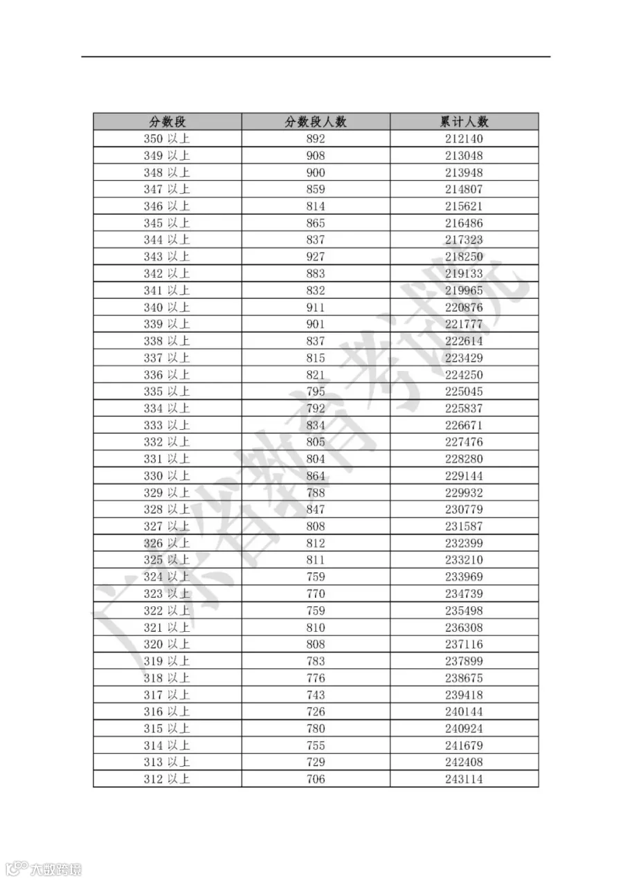
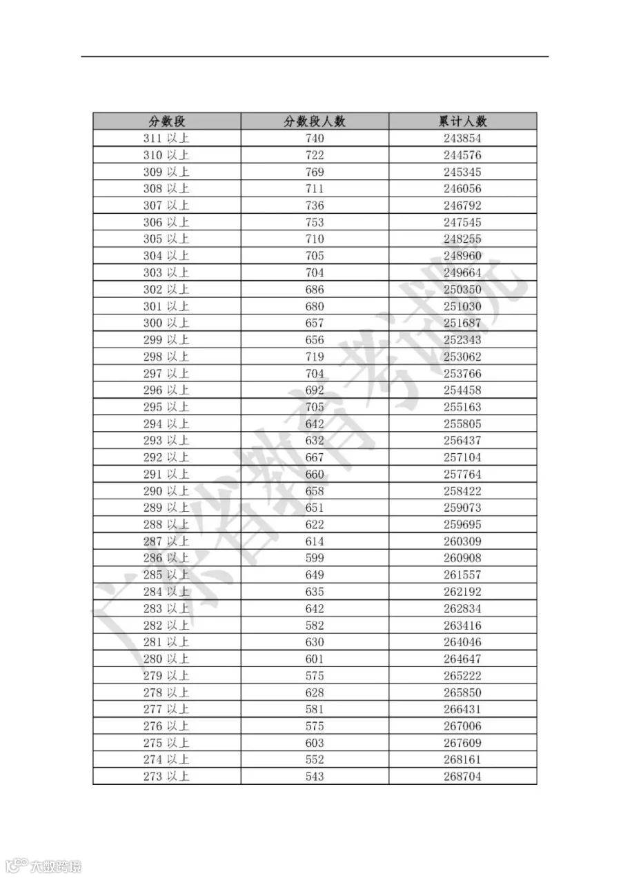
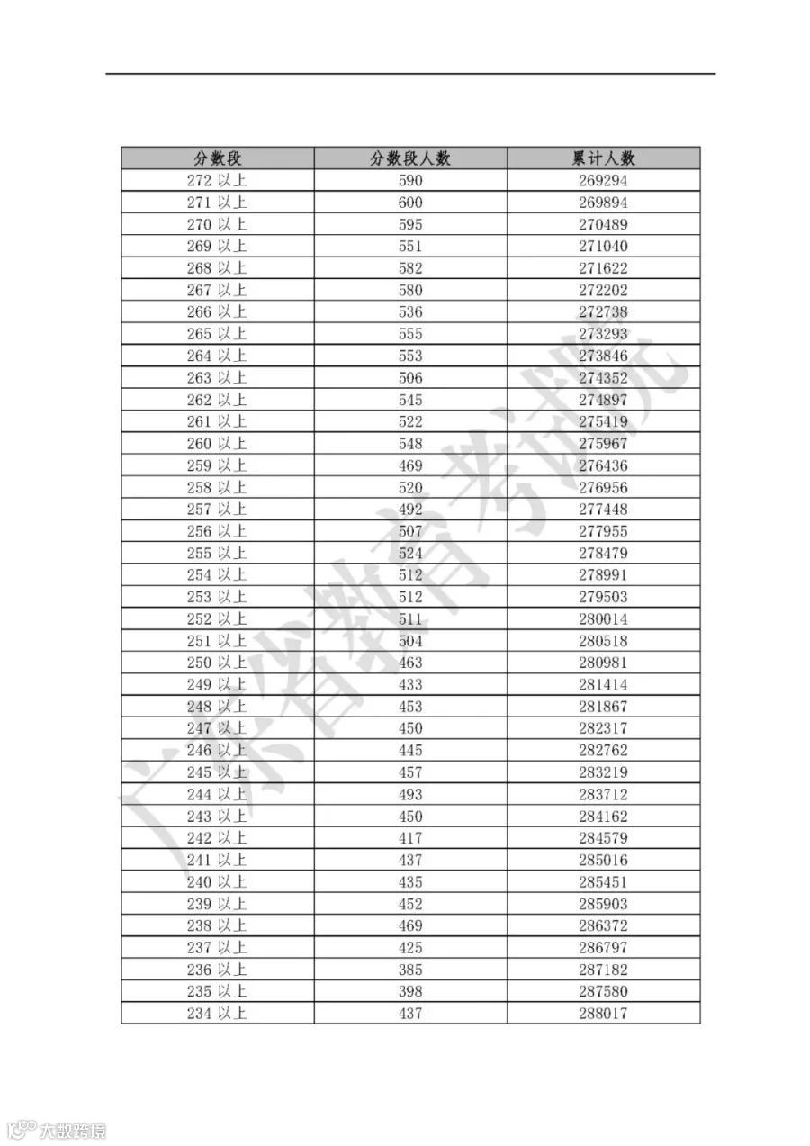
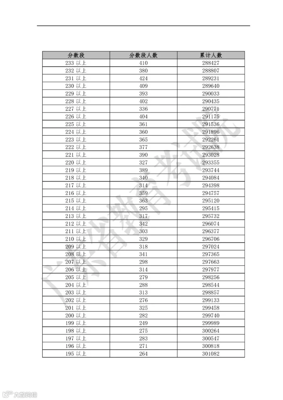
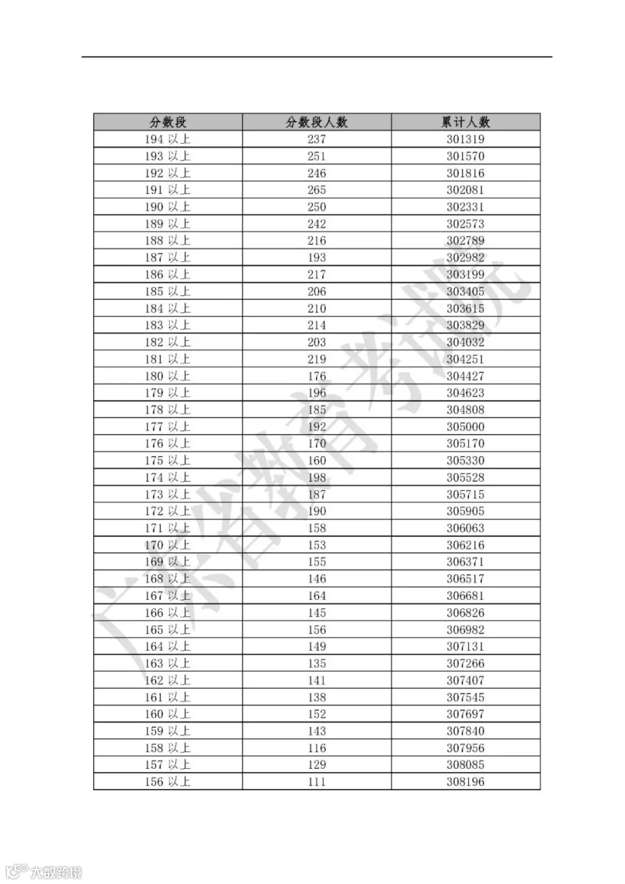
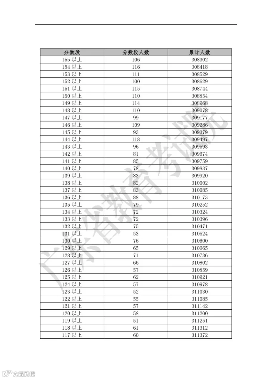
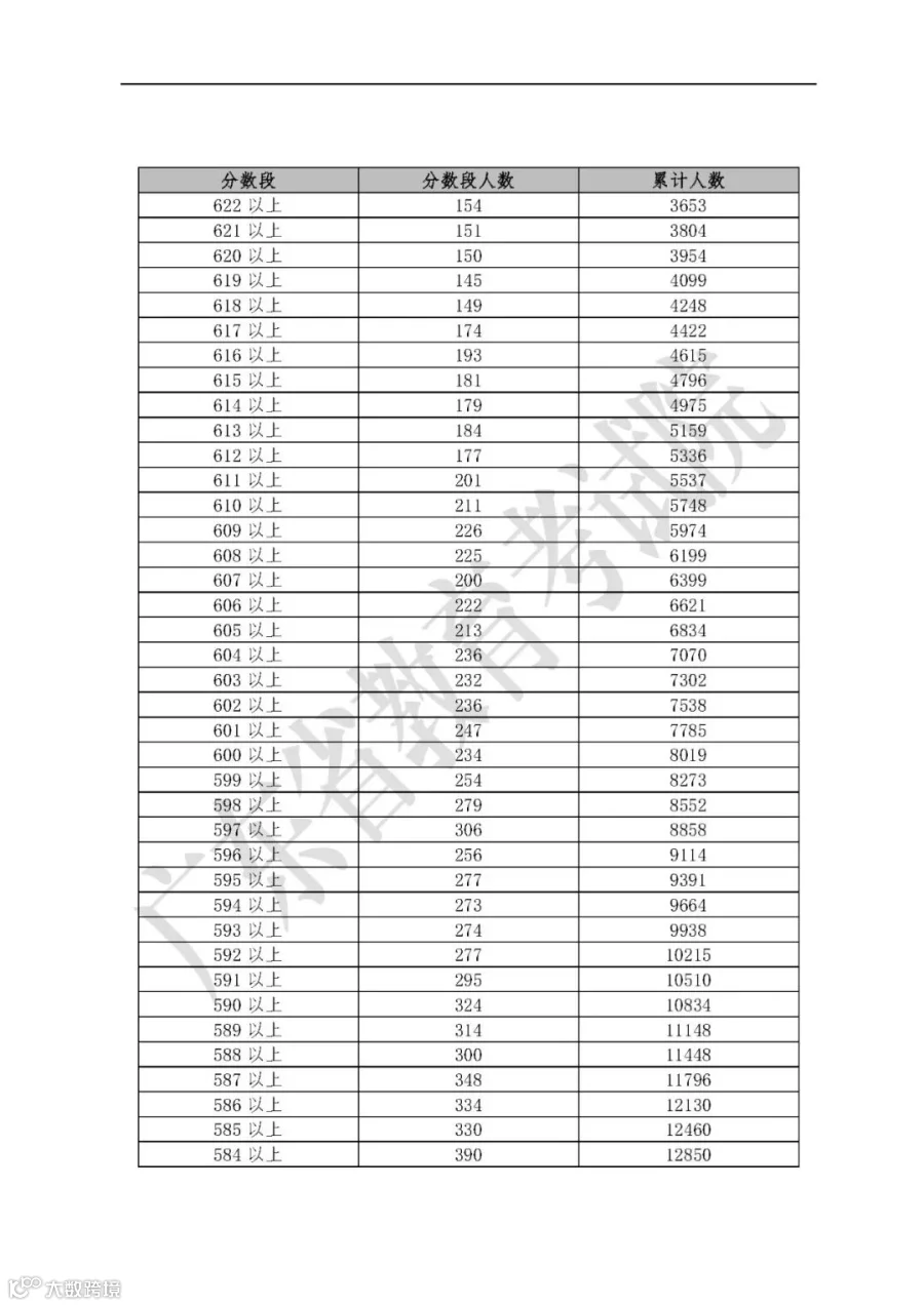
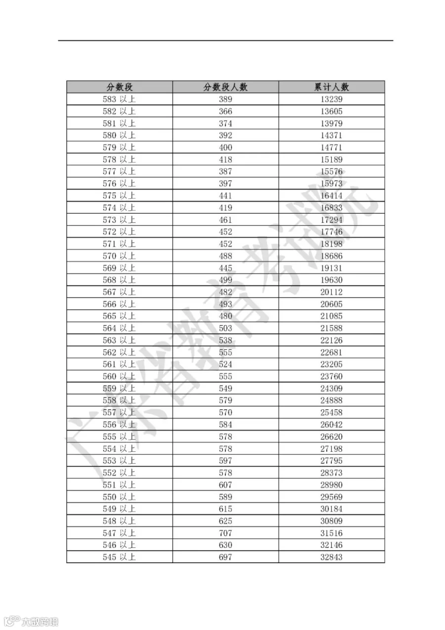
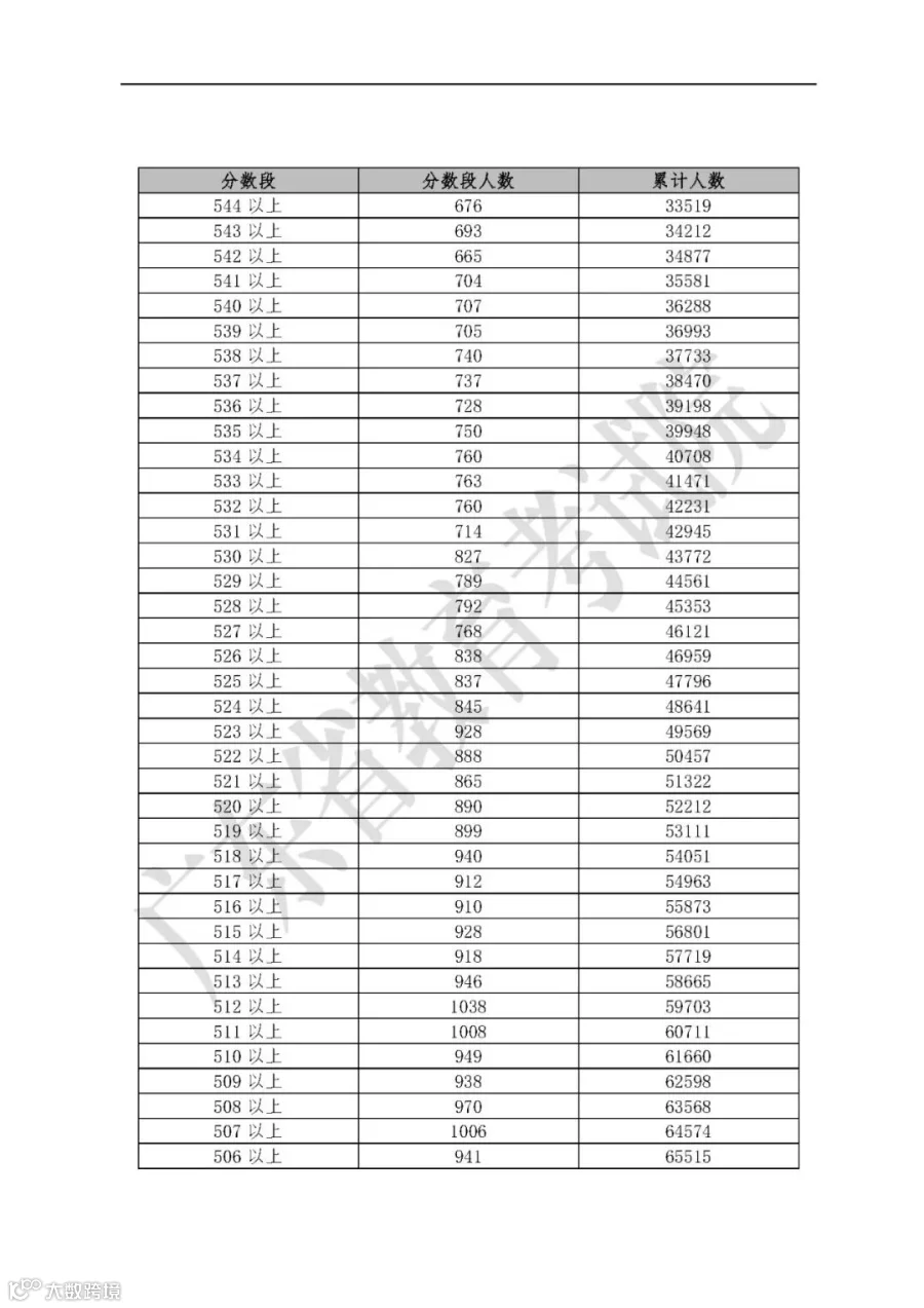
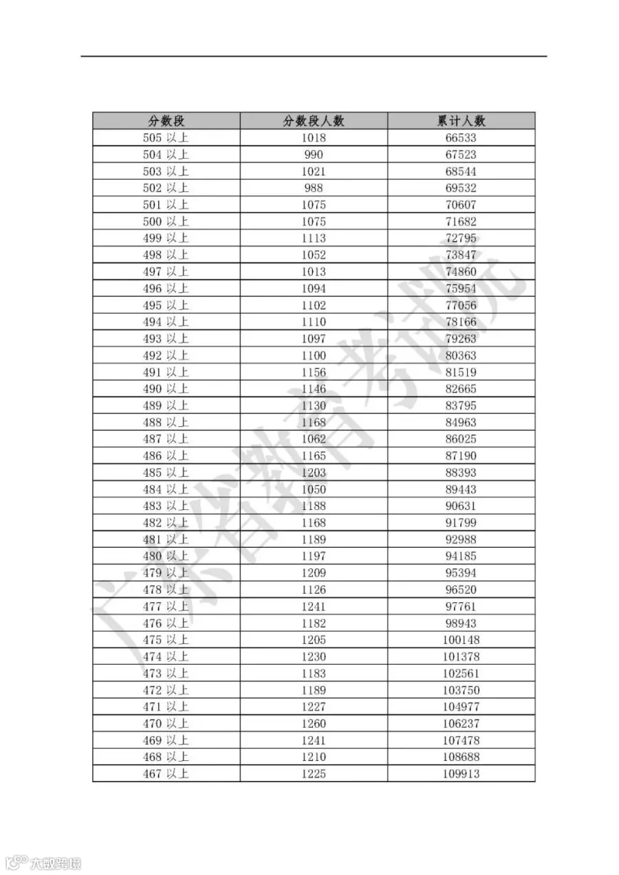
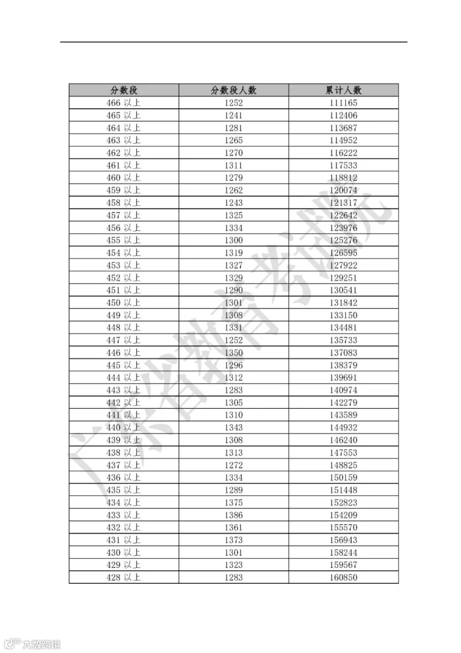
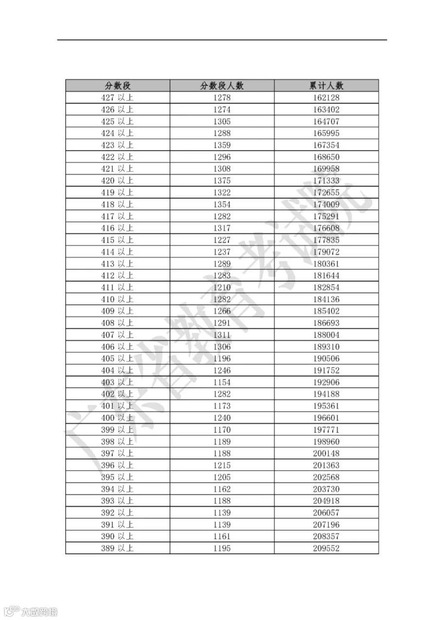
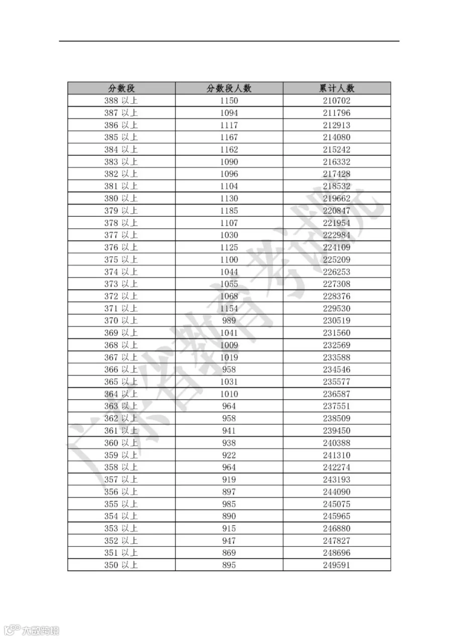
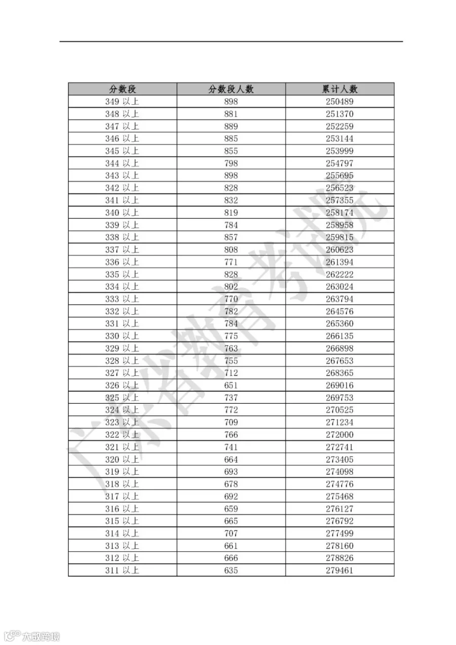
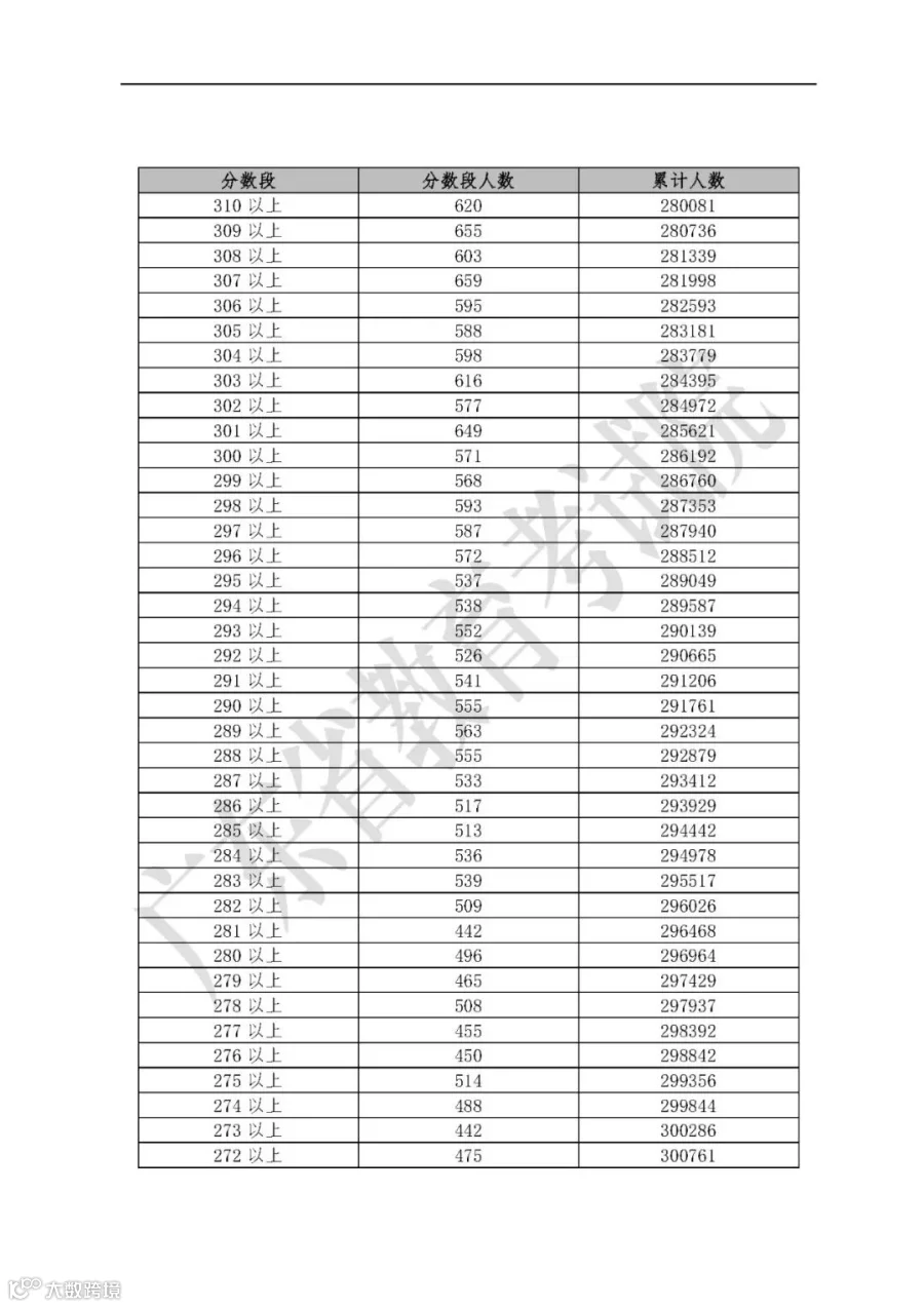
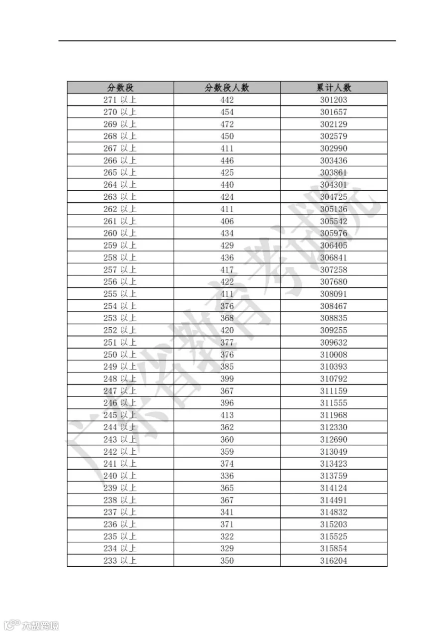
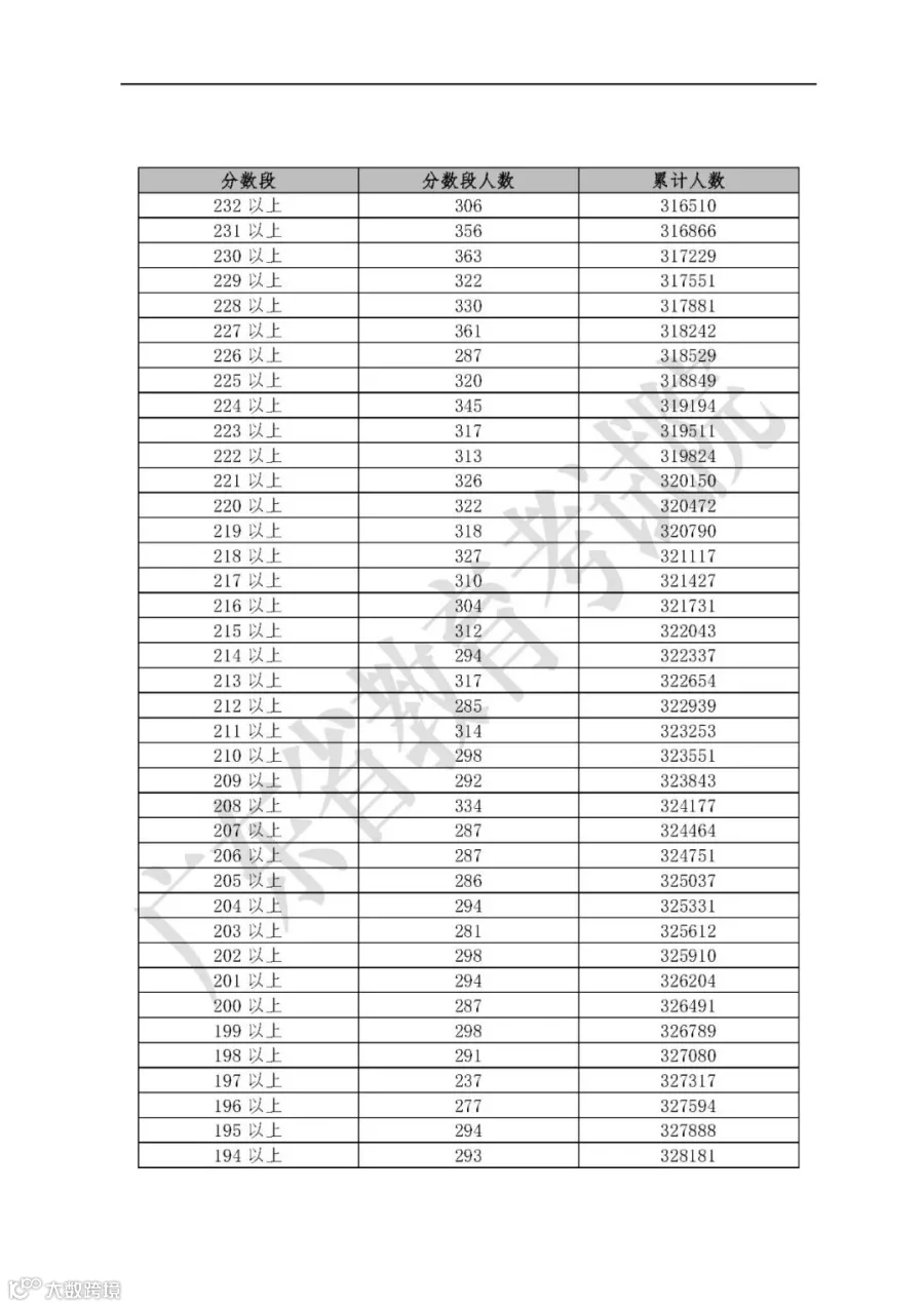
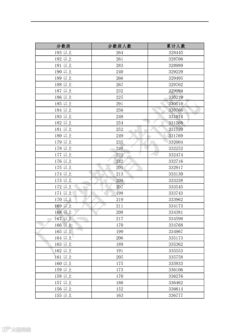
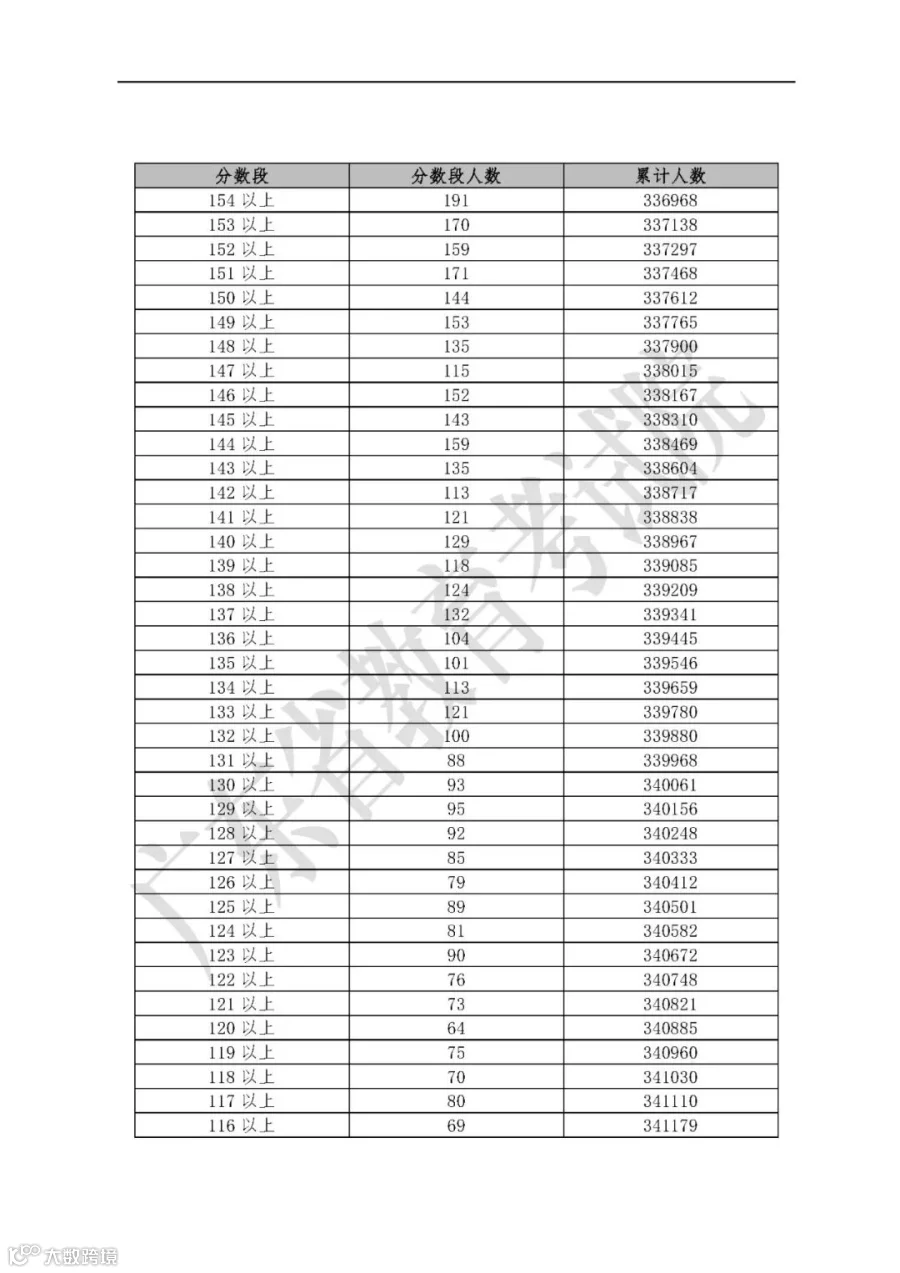
广东省2019年普通高校招生考生填报志愿时间为6月25日-7月2日。为便于考生填报志愿,确保志愿填报工作顺利进行,省教育考试院公布了我省今年普通高考各科类考生各分数段成绩数据。
从表格里来看,文科655分以上22人,647分以上46人,600分以上2150人,优先投档线以上20702人。理科691分以上22人,684分以上50人,677分以上108人,优先投档线以上77056人。
(点击图片可放大查看)

































































































来源:南方+客户端、广东教育
猜你想看


