大数跨境

你上线了吗?广东本科批次投档线全部公布

你上线了吗?广东本科批次投档线全部公布 南方网
2020-08-19
0

18日,广东本科院校普通文理类高分优先投档线上考生录取结束,共录取88487人,其中文科录取17082人,理科录取71405人,退档396人,退档人数较去年进一步减少,退档率为0.4%,比去年低0.1个百分点,退档原因主要是不服从专业调剂。

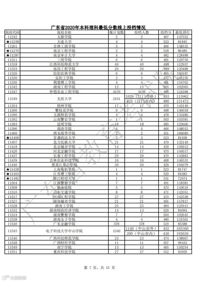
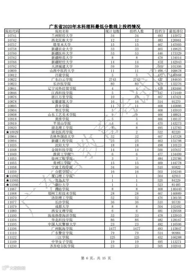
18日晚上,省招生办对本科院校普通文理类最低分数线上考生进行了投档,共投出169297人,其中文科投出63564人,理科投出105733人。

从投档情况来看,绝大部分院校生源充足、满档率高。除个别学校中外合作办学专业以及预科班、少数民族班等存在少量缺额外,其他都一次性满档。本科批次整体投档率(含高分优先投档线)理科为99.98%、文科为99.97%,均远高于去年。缺档院校和缺额计划也大幅减少,文科仅4所高校缺档,缺额计划9个;理科仅8所高校缺档,缺额计划34个。

公办高校继续受到考生“追捧”,投档线居高不下。今年公办高校几乎全部满档,并且投档线普遍较高。省内往年的“热门”院校,今年热度不减,投档线基本接近或超过高分优先投档线。如广东财经大学文科投档线为535分,广州中医药大学文、理科投档线分别为535分、539分,广东警官学院文、理科投档线分别为534分、514分,广州医科大学文、理科投档线分别为533分、539分,深圳技术大学文科投档线为532分。省外理工类、财经类、医学类、师范类等院校受考生欢迎,投档分普遍较高。

民办院校、独立学院进一步得到社会认可,生源质量不断提升。近年来,民办院校和独立学院的办学水平和教学质量不断提升,吸引了越来越多的考生填报,大部分院校投档线都比较高,特别是一些办学基础较好的独立学院远超本科最低投档线。

省教育考试院有关负责人提醒,根据招生录取日程安排,本科批次院校录取将于21日结束,随后省招生办将对尚未完成招生计划的高校进行征集志愿录取。

文科

理科

来源:广东省教育考试院、南方+客户端

编辑:斯卫琪


猜你想看


原创视频|为节约代言!光叔教你“刚刚好”

昨日广东汕尾新增1例无症状感染者

重磅!珠机城际铁路珠海至珠海长隆段开通!

惊呆!广东理科632高分考生投档独立学院

广东本科高优线投档情况出炉!“十强”大变脸

【声明】内容源于网络
0
0
南方网
南方报业传媒集团南方新闻网为权威华南政经平台、综合性新闻全媒体,每日最新最热资讯独家放送。
内容 10035
粉丝 0
南方网 南方报业传媒集团南方新闻网为权威华南政经平台、综合性新闻全媒体,每日最新最热资讯独家放送。
总阅读7.0k
粉丝0
内容10.0k