
近日,广东湛江10岁女孩梁韵茹
一段跳舞的视频火了
“她的笑容太治愈了!”
“跳舞时感觉她在发光”✨
小韵茹来自湛江雷州市覃斗镇下海村
今年上小学4年级
她的母亲张女士说

为了支持小韵茹学舞蹈
接受专业的舞蹈培训
因家住在海边,离市区较远
每周上课时
小韵茹和妈妈早上5点就得起床
先骑车1小时,再坐车到市里
单程需要两个半小时左右
“往返一趟近300公里,坚持了3年”



都是小韵茹的“舞台”


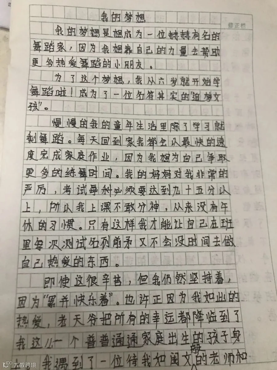
小韵茹在作文中写下自己的梦想
“我的梦想是成为舞蹈家
张女士看了女儿的作文深受触动


小韵茹的故事让网友纷纷点赞


来源:央视新闻、@大米Video 、网友评论
编辑:斯卫琪

