
近日,北京大学北京国际数学研究中心

一起来看看“韦神”出的这道题吧!
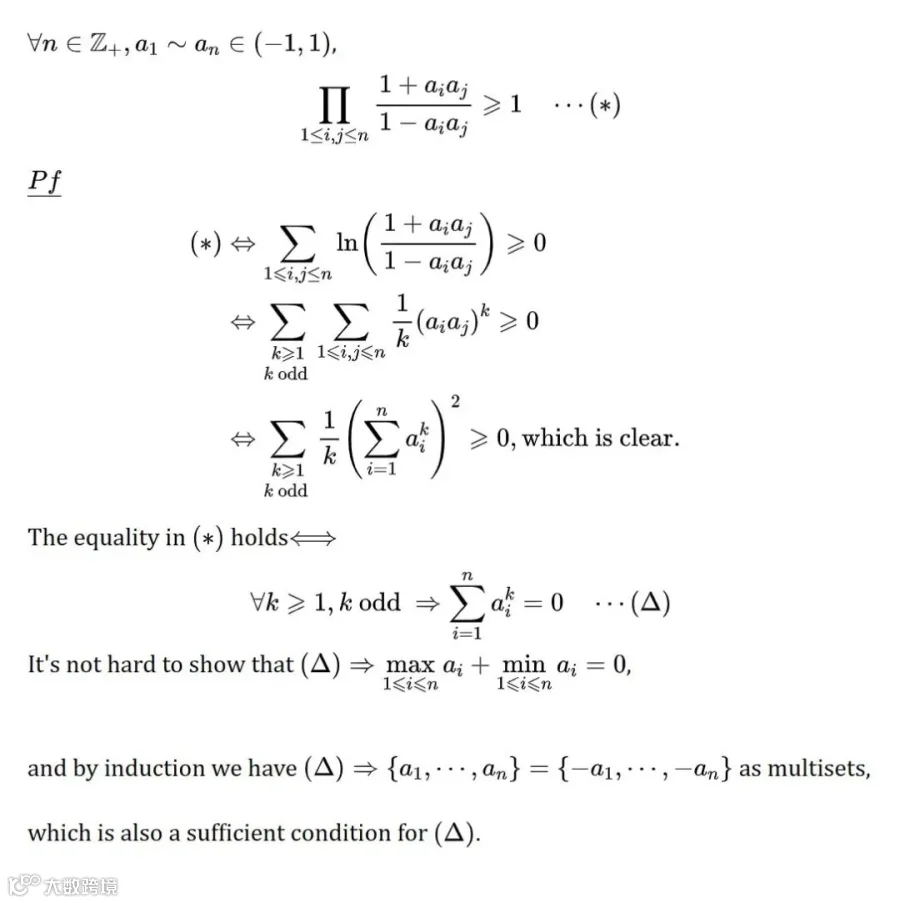
题目

另外两个解答案例



GPT-4挑战失败
图片来自于董彬老师的报告
网友评论

来源:北京大学、青春北京、深圳中学
3月11日起至4月16日
诚邀您走读“英雄之城”
展现“红棉之心”
在网上一起弘英雄气、传英雄志
点击下方图片
5大赛事,4重惊喜
“英雄花开英雄城”
网上征集活动等你来
猜你想看
一起解解看↓

