
7月19日,广东高考本科批次普通类正式投档,广东今年普通高考本科批次投档303542人。今年,共投出普通类考生273025人,其中:普通类(历史)投出74488人,普通类(物理)投出198537人。此外,本科批次艺体类统考共投出考生30517人,其中体育类投出5396人,音乐统考投出4339人,美术统考投出17405人,舞蹈统考投出958人,广播电视编导统考投出934人,书法统考投出403人,播音与主持校际联考投出1082人。
今年是广东实行“院校专业组”投档方式的第三年,各院校专业组设置进一步优化。从本科批次普通类投档结果看,普通类(历史)投档率达96.7%,普通类(物理)投档率达99.2%,反映出考生志愿填报意愿高,选择更加均衡、合理,志愿适配度和满足率进一步提高。从艺体类统考投档结果看,投档率超97.9%,其中体育术科统考类、舞蹈术科统考类和书法术科统考类均满档。目前,除部分招生数量较大的民办院校、收费较高的院校专业组和部分有特别招生要求的院校专业组存在缺额外,绝大部分院校均一次性满档。
同时,今年省内外高水平大学继续受到“追捧”,考生报考热情高涨,生源情况十分理想。为此,北京大学、南开大学、天津大学、同济大学、上海交通大学、中国科学技术大学、华中科技大学、中山大学、华南理工大学、西安交通大学、北京大学医学部及西南政法大学等在本科批次普通类模拟投档后,均在广东追加了一定的招生计划。
根据招生录取工作日程安排,本科批次录取预计于7月24日结束,届时将对尚未完成招生计划的本科院校专业组进行征集志愿。
广东省教育考试院将在每天17:00前通过短信及官微小程序等方式公布截至当天11:30已录取的考生信息,预计大部分高校(特别是招生计划较多的高校)的普通类专业录取结果在22日以后公布。
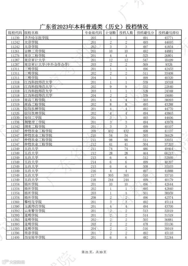
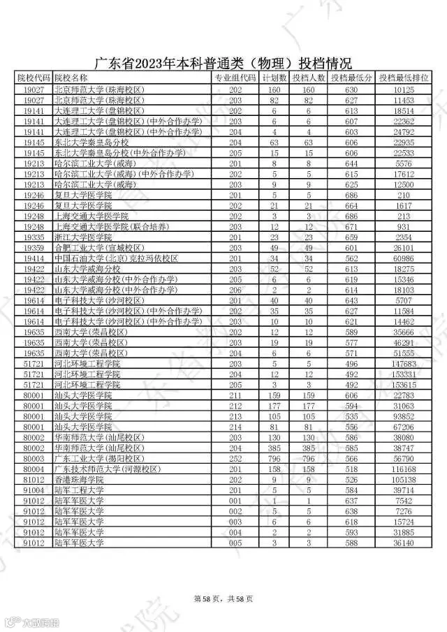
1.普通类(历史)投档情况
(滑动查看,点击查看大图)



























































































3.美术类统考投档情况
4.音乐类统考投档情况
5.体育类投档情况
6.舞蹈类统考投档情况
7.书法类统考投档情况
8.广播电视编导类统考投档情况
9.播音与主持类统考投档情况
图源:视觉中国
来源:南方网综合
编辑:嘎嘎
猜你想看
40岁男子突发脑梗死!“元凶”是很多广东人都喜欢的…
新台风又要来!影响广东的风险高→
定了!事关养老金,7月底全部发放!
雨后这种动物千万别碰,寄生虫多到数不清
持续关注↓

