
6月26日,广东省教育考试院公布了《广东省2025年普通高考成绩各分数段数据》,共有36.8万名考生上线普通类本科批次。
今年普通类录取最低分数线方面,本科批次普通类(历史)464分、普通类(物理)436分。专科批次普通类(历史)215分、普通类(物理)200分。
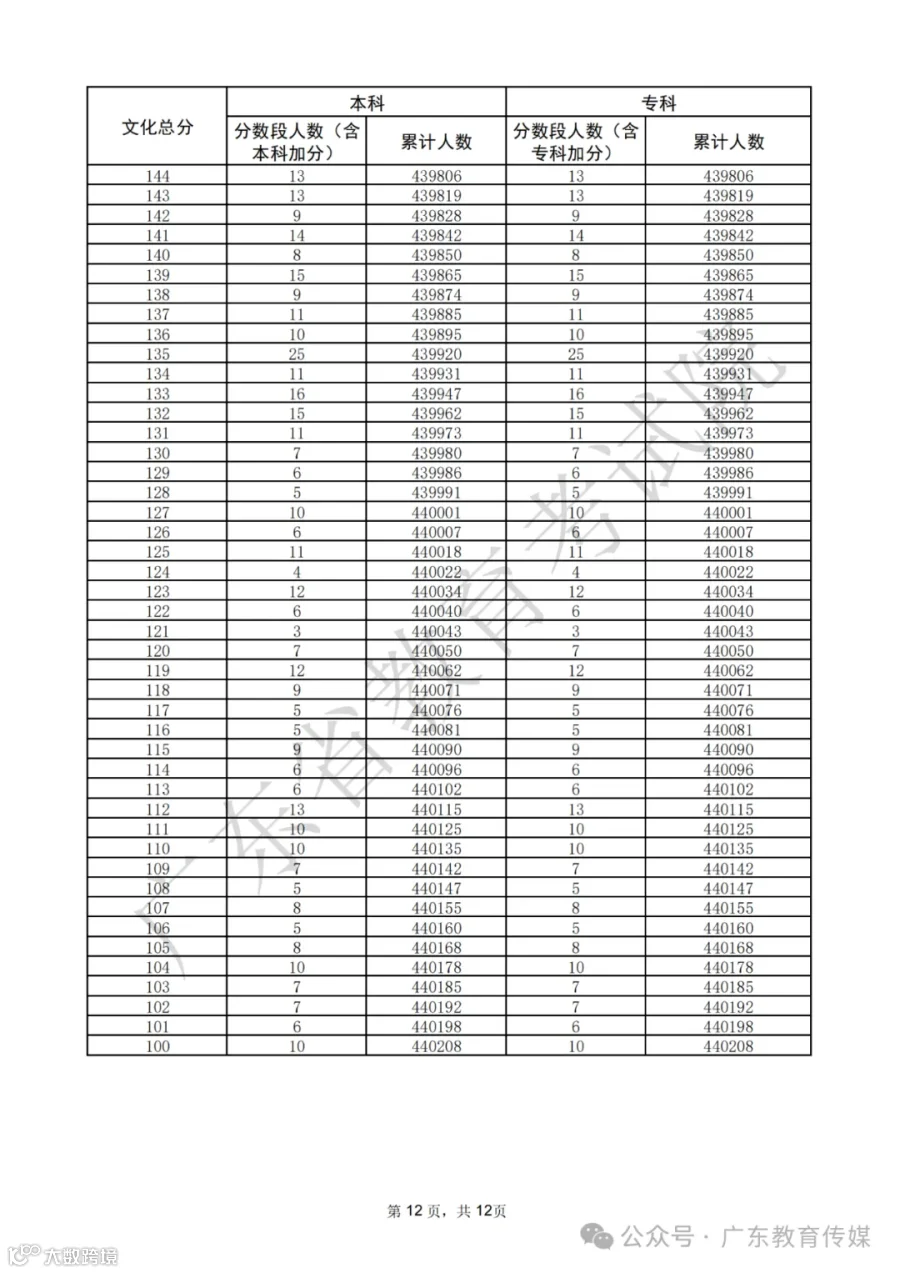
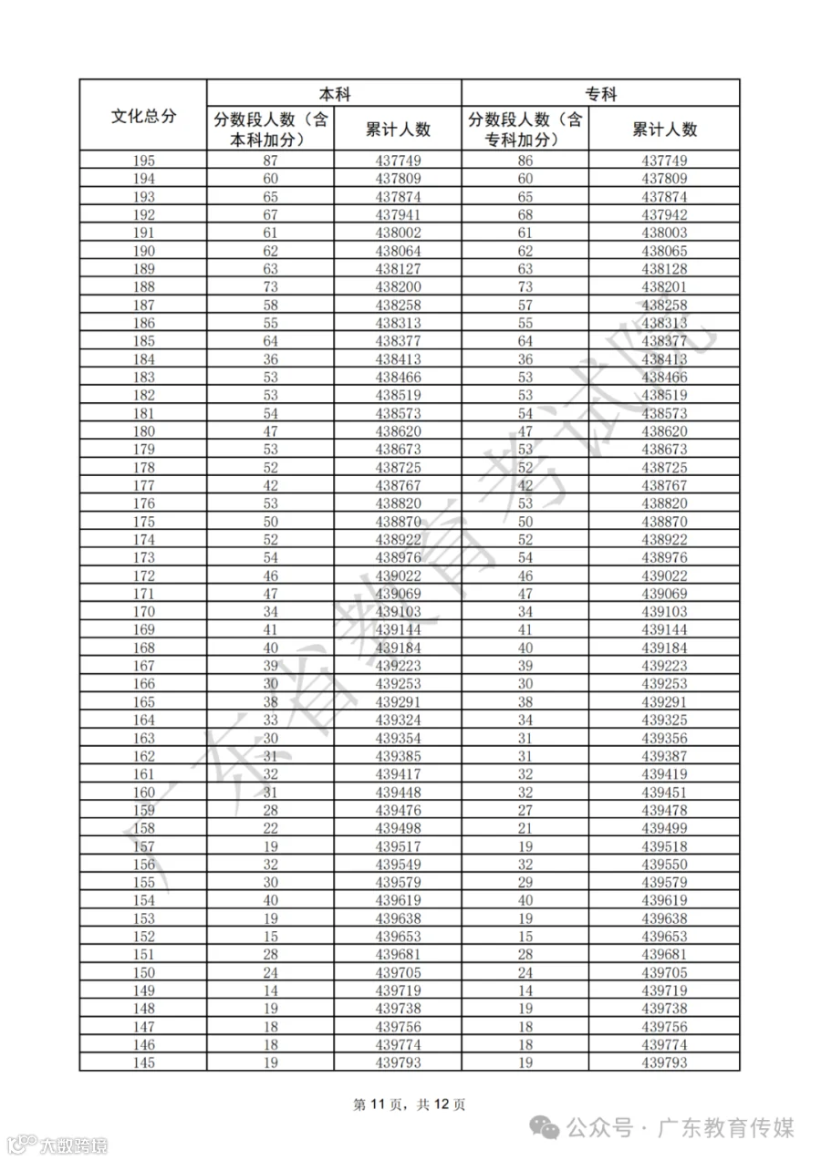
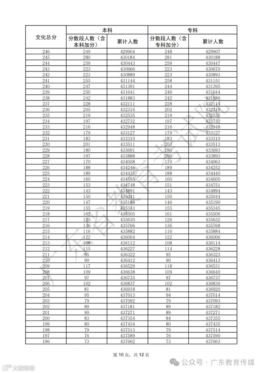
查阅表格可以发现,普通类(历史)的考生人数有292200人,普通类(物理)的考生人数有440208人。
其中,普通类(历史)672分以上19人,本科批次以上91654人。普通类(物理)697分以上19人,本科批次以上276586人。
附件:
1.广东省2025年高考普通类(历史)分数段统计表
2.广东省2025年高考普通类(物理)分数段统计表
3.广东省2025年普通高考体育类总分分数段统计表
4.广东省2025年普通高考美术与设计类总分分数段统计表
5.广东省2025年普通高考音乐教育类总分分数段统计表
6.广东省2025年普通高考音乐教育(声乐主项)方向总分分数段统计表
7.广东省2025年普通高考音乐教育(器乐主项)方向总分分数段统计表
8.广东省2025年普通高考音乐表演(声乐)方向总分分数段统计表
9.广东省2025年普通高考音乐表演(器乐)方向总分分数段统计表
10.广东省2025年普通高考舞蹈类总分分数段统计表
11.广东省2025年普通高考表(导)演(戏剧影视表演)方向总分分数段统计表
12.广东省2025年普通高考表(导)演(服装表演)方向总分分数段统计表
13.广东省2025年普通高考表(导)演(戏剧影视导演)方向总分分数段统计表
14.广东省2025年普通高考播音与主持(普通话)方向总分分数段统计表
15.广东省2025年普通高考播音与主持(粤语)方向总分分数段统计表
16.广东省2025年普通高考书法类总分分数段统计表
识别二维码可查阅附件
来源:广东省教育考试院、南方+客户端、广东教育传媒、南方日报,封面源自视觉中国
编辑:小舟
诚邀您
为广东6G通信、算力网络、数据安全等
前沿技术赋能民生建言
助力广东从“网络大省”迈向“网络强省”
热门视频
猜你想看

持续关注!



