10.6/1KV聚氯乙烯绝缘电力电缆载流量
常用型号VV22、VLV22聚氯乙烯绝缘钢带铠装聚氯乙烯护套电力电缆载流量


注:以上电缆载流量计算条件
1. 线芯长期工作温度:70℃;
2. 环境温度:25℃ ;
3. 埋地深度:1000mm;
4. 土壤热阻系数:1.0m.℃/W;
5. 线芯轴间距离:S=2D
2YJV、YJV、YJLV电缆1~3芯额定电压0.6/1kv-1.8/3kv电缆载流量表
注:表中计算值为铜芯载流量。铝芯载流量为铜芯的1/1.29倍
3+1、3+2、4+1、4芯、5芯YJV、YJY、YJLV、YJLY(包括钢带铠装)0.6/1kv~1.8/3kv电缆载流量:
注:表中给出计算值是铝芯载流量,铜芯栽流量为铝芯的1.29倍
YJV、YJY、YJV22额定电压在6/6、6/10kv电缆载流量
YJV、YJY、YJV22电压等级8.7/10、8.7/15kv电缆载流量表:

3常见BV线、BVVB型、BLVVB型、RVVB型电线载流量

BV线载流量

4通用橡套软电缆的载流量(450V/750V及以下橡胶绝缘电力电缆YQ、YQW、YHQ、YC、YCW、YHC型号的载流


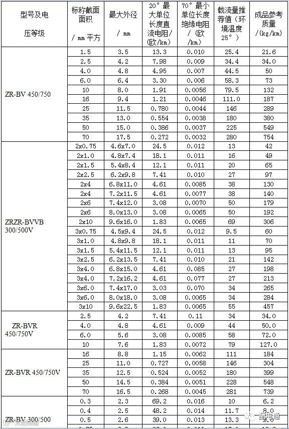
5阻燃电线电缆载流量
1)B、R系列阻燃电线电缆的载流量



6ZR-YJV电力电缆载流量表

7高压交联聚氯乙烯绝缘阻燃电力电缆的载流量表,ZR-YJV、ZR-YJLV
8矿物质绝缘电缆载流量表,BTTZ铜芯铜护套氧化镁矿物质绝缘电缆载流量表



