点击蓝字·关注我们
只能报价的报价软件,不是好的报价软件
众所周知我们的报价软件
在报非标箱的效率和使用体验非常的出色
但是它本身假如仅仅只是报价才用
那真是亏大发了
就像execl
假如你认为只能做表那就输了
比如有编程的↓
还有大神用来画画的↓
(我任天堂直呼好家伙)
更有百变小樱魔术卡问这是什么品种的小樱↓
那么,就有吃瓜群众就问: “算易报价软件到底有什么奇门遁甲之术呢?”
而帅气的人,早已有了不同的发现
比如:
但是,这也都只是算易的冰山一角。
今天,小易我就要带大家走进算易最后一栏:
“报表导出”的世界
带你将报表导出
玩出花儿来~
报表导出
报表导出是咱们报价工程师在完成前面所有项目后最最最关键的一个环节,
决定的是咱们一天或者好几天辛勤劳作的结果!
最最最常规的操作就是,
但是有时候,客户发来的投标单,有要求的报价栏目名称,怎么办?
小case,我们能提供超多的项目名称选择:
你可以点击右栏的汇总的设置,
就能弹出一栏项目明细出来,
你瞧,这一栏全部都是:
你可以点击自己想要的栏目,然后拖动它
点击蓝色保存键,箱柜分类,就出现在汇总表上啦!
同理,所有的显示名称都是这样的操作,展现出来的效果也是一样~
(上图为效果展示图)
就能即可在汇总表出现这个栏目并包含报价的数据。
明细表
因为项目名称更多也更复杂,所以我们的点击保存
你想要的,一目了然。
你以为这些就结束了吗?
NONONO 。
我们不仅产出报价单,
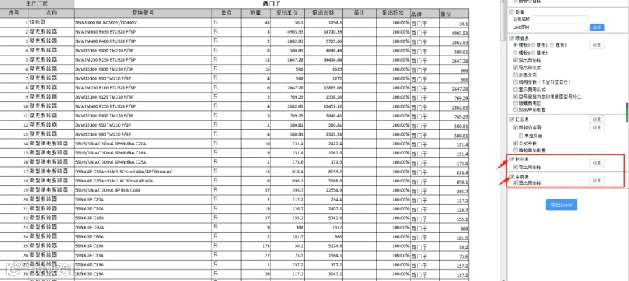
还能顺手将材料表和采购表一并打包导出!
材料表和采购表
不仅能让报价工程师按时下班
临近下班时捎上隔壁采购的小姐姐
一起按时下班 约个饭
这革命的友谊不就建立起来了嘿嘿嘿(坏笑)
自定义模板
如果你说:
“算易的这些报表设置我都不是很合心意。”
怎么办?
来来来
我教你
算易软件报表导出的右栏
有一个自定义模板
点击它
你就会进入一个神奇的世界
这里,你可以按照自己的想法进行定制喜欢的模板!
我们有全套的视频教程(←点击前往学习),你可以一步一步跟着学习操作。
定制模板
当然假如你的时间宝贵,也可以点击上面的定制的模板,联系我们。
我们来按照您的需求来定制,毕竟专业的事情让专业的人来做,大家都皆大欢喜,你说是不是?
点击下方二维码
添加技术小花
了解更多好用功能
微信公众号 | 算易软件
分享、在看与点赞
只要你点,我们就是胖友

