周报速览
注:本文于2024-07-26首发
本周重点
看多以太坊:具备成为全球金融结算层的潜力。
Filecoin数据
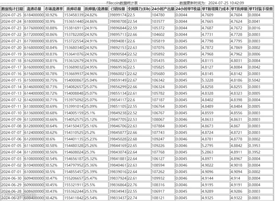
全网算力: 22.6Eib
原值算力 : 5.6Eib
单日每T产币量: 0.0044FIL
持币地址:目前持币地址数3,159,656,增长16,010 地址,总计销毁量 39,899,176 FIL。
交易所地址:7 月 9 日到 7 月 23 日共流出126.45万个。
币价:4.12U
Optimism和Arbitrum项目数据对比
本时间段内BTC反弹回落,但是市场情绪基本恢复,ETH现货ETF正式上市,美联储方面9月详细概率也增大,市场正向着好的方向发展。
虽然ETH现货ETF上市,但是资金还需要时间流入累积后才会有溢出到以太坊生态的可能。短时间内受灰度卖出ETH影响,有可能价格会走低。
链上指标
指标依然处于较低分值,未有入场机会。
二层网络及公链项目
月底的BTC共识大会上特朗普以及相关美国政要的发言可能会造成币价的大幅波动。
市场投融资
基础设施类项目在本时间段内比较受青睐。
美国资产负债表跟踪
72,240.79亿(7月10日)→ 72,082.47亿(7月17日),单周缩表158.32亿 ;
从2023年3月份反弹到高点87,337.87亿至今,下降15,255.40亿;
16个月时间平均下来,每月缩表953.46亿,超过了原计划每月缩表950亿的目标。
UniswapV3 交易量、收益率与 TVL
Uniswap上总交易量为81.56亿美金。
TVL: 36.33亿美金
主流三大稳定币监控
USDT市值继续保持增长状态,目前市值增加至1142.26亿美金市值,USDC总市值本时间段内增加至340.86亿美金,TUSD市值维持在4.95亿美金左右。
三大稳定币总市值目前为1488.08亿美金,相比之前的1462.02亿美元,总市值增加近26亿美金左右。稳定币总市值在经历一段平缓后再次出现大额增幅。
矿机关机币价监控
本时间段内BTC价格维持宽幅震荡,ETH现货ETF正式上市,但是价格表现并不好,预计将持续一段时间积累力量后才会突破上涨。
一、一周信息热点
1. 美国共和党在2024年党纲中支持多项有利于加密货币的政策
2. 分析:悲观情况下,门头沟和德国政府抛售可引发比特币10.5%的快速下跌
3. SingularityNET与Filecoin基金会达成合作,旨在整合AI及DePIN行业
4. 「德国政府」地址比特币余额已耗尽,全部转出
5. 特朗普演讲时遭枪击右耳受伤,离场时高举右拳
6. 消息人士:美SEC已向包括贝莱德在内的至少3家ETH ETF发行公司给予初步批准
7. 门头沟Mt.Gox已向过半数债权人偿还资产
8. 灰度推出去中心化人工智能新基金,NEAR、FIL和RNDR权重最高
9. 9只现货以太坊ETF费用均已公布
10. WazirX遭遇黑客攻击,其以太坊网络多签钱包被盗
11. CME美联储观察:美联储到9月累计降息25个基点的概率为93.5%
12. Binance HODLer空投推出首个项目Banana Gun(BANANA)
13. Binance CEO:距离比特币减半仅过去三个月,着眼长远非常重要
14. 彭博社:Wintermute正以估值约20亿美元与腾讯等投资者进行融资谈判
15. CoinGecko报告:Q2以太坊转为通胀,流通供应量增加120,818枚
16. 美国现任总统拜登宣布将退出2024年总统竞选
17. 拜登将支持副总统卡马拉·哈里斯成为2024年民主党总统候选人
18. 特朗普将于本周末在比特币2024大会发表演讲
19. Binance完成第28次BNB销毁,共销毁价值约9.71亿美元BNB
20. 摩根大通:加密货币市场近期的反弹可能只是暂时的
21. 分析:以太坊现货ETF交易启动后,币价或面临抛售压力
22. 3500美元为以太坊关键阻力位,因超310万地址高位持有
23. 美国特勤局局长承认针对特朗普的刺杀是「特勤局几十年来最重大的行动失败」,但拒绝因此辞职
二、Filecoin项目情况
1. 市场情况
2. 数据情况
3. 地址分析
4. 五维图分析
5. 更新信息
三、Optimism和Arbitrum项目对比分析
四、链上数据分析
1. 链上指标
2. 市场和数据动态
五、二层网络及公链项目研究
1. 去中心化交易所D8X正开发一款杠杆工具
2. Cudos正构建预言机系统
3. OKX推出首款Telegram涨跌竞猜小程序OKX Racer
4. 钱包应用Keplr将增加对EVM的支持
5. Polygon主网升级计划于2024年9月4日进行
6. 观点
六、市场投融资信息
七、看多以太坊:具备成为全球金融结算层的潜力
1. 前言
2. 什么是结算层?
3. 为什么全球金融系统不能运行在单一链上?
4. 为什么全球金融需要一个结算层?
5. 为什么每个金融机构都想要自己的 rollup?
6. 为什么只有以太坊能够支持这一点?
7. 比特币呢?
8. 让基础层变快有什么问题?
9. 为什么我们需要一个结算到以太坊的链生态系统?
10. 结语
八、美国资产负债表跟踪
九、常见资产保证金匹配监控
1. USDC(截止2024年5月31日)
2. BUSD(截止2024年5月31日)
3. WBTC(截止2024年7月22日)
4. stETH(截止2024年7月22日)
十、UniswapV3交易量、收益率和TVL跟踪
十一、主流三大稳定币监控
十二、矿机关机币价监控
一、一周信息热点汇总
1. 美国共和党在2024年党纲中支持多项有利于加密货币的政策
7 月 9 日,据 The Block 报道,美国共和党全国委员会在其 2024 年美国大选官方党纲中对多项有利于加密货币的政策措施表示支持。根据共和党总统候选人特朗普竞选团队周一公布的官方文件,共和党党纲发誓要结束对美国加密行业的「非法和非美国式打击」。除了反对创建 CBDC,该纲领还承诺「捍卫比特币挖矿的权利「并允许加密货币持有者自行保管其代币。文件中写道:「我们将捍卫不受政府监督和控制进行交易的权利」。
2. 分析:悲观情况下,门头沟和德国政府抛售可引发比特币10.5%的快速下跌
7 月 9 日,加密分析师 Alex Krüger 在其社交平台对门头沟和德国政府抛售比特币可引发的下跌幅度进行分析测算。根据当前市场流动性和此前几次比特币大额转移引发的市场下跌幅度,Krüger 基于悲观假设(假设德国一次性卖出剩余比特币、门头沟持有的 8.5 万枚比特币会被出售 30%)得出结论:门头沟和德国政府抛售可引发比特币 10.5% 的快速下跌。但总体来讲市场完全可以吸收上述抛压。
3. SingularityNET与Filecoin基金会达成合作,旨在整合AI及DePIN行业
7 月 10 日,据官方消息,人工智能平台开发商 SingularityNET 和 Filecoin 网络背后的管理机构 Filecoin 基金会宣布建立合作伙伴关系。此次合作旨在整合人工智能和分散物理基础设施网络(DePIN)行业,同时保持分散化、人工智能伦理和数据来源。
4. 「德国政府」地址比特币余额已耗尽,全部转出
7 月 13 日,据 Arkham 监测,「德国政府」地址内比特币已耗尽,刚刚向 Flow Traders 和 139Po(可能是机构存款/场外交易服务)发送了 3846.05 枚 BTC(约合 2.2381 亿美元)。目前地址内比特币余额为 0。
5. 特朗普演讲时遭枪击右耳受伤,离场时高举右拳
7 月 14 日,特朗普在一场竞选集会中演讲时头部中枪,现场视频显示特朗普右耳受伤,但似乎并无大碍。在被安保掩护的过程中,特朗普高举右拳以振奋人心。同时,特朗普MEME概念暴涨,TRUMP 在半小时内暴涨 44%,MAGA 暴涨 32%。
6. 消息人士:美SEC已向包括贝莱德在内的至少3家ETH ETF发行公司给予初步批准
7 月 16 日,据路透社报道,三位行业消息人士表示,美国证券交易委员会(SEC)已初步批准至少三家资产管理公司(贝莱德、VanEck 以及 Franklin Templeton)自下周二开始交易以太坊现货 ETF,而总共有八家资产管理公司希望推出此类基金。消息人士称,批准的前提是申请人在本周末之前向监管机构提交最终发行文件。其中一位人士表示,预计八家公司都将同时推出此类基金。美国证券交易委员会(SEC)的一位发言人表示,该机构不对个别申请发表评论。此前今日早些时候消息,消息人士称,随着美 SEC 收集注册声明的最终版本,以太坊 ETF 将于下周开始交易。
7. 门头沟Mt.Gox已向过半数债权人偿还资产
7 月 16 日,根据 Mt.Gox 受托人 Nobuaki Kobayashi 发布的通知,截至目前受托人已向超过 13,000 名债权人偿还了 BTC 和 BCH。而此前 Mt.Gox 在其破产时的法庭文件和相关报道中提到,大约有 24,000 名债权人提交了索赔。目前偿还人数已过半,一旦满足以下条件,将立即向其他债权人偿还:
(i)确认注册账户的有效性和其他事项;
(ii)指定加密货币交易平台等接受订阅代理收据协议的意向;
(iii)受托人与指定加密货币交易平台完成有关偿还的讨论;
(iv)确认可以安全可靠地偿还。要求符合条件的债权人等待一段时间。
8. 灰度推出去中心化人工智能新基金,NEAR、FIL和RNDR权重最高
9. 九只现货以太坊ETF费用均已公布
7 月 18 日,随着各发行商相继向美 SEC 提交现货以太坊 ETF 的 S-1/A 等文件后,目前 9 只现货以太坊 ETF 费用均已公布,具体数据如下:
· BlackRock 现货以太坊 ETF 费用为 0.25%(前 25 亿美元或前 12 个月为 0.12%),代码为 ETHA;
· Fidelity 现货以太坊 ETF 费用为 0.25%(2024 年全年免管理费),代码为 FETH;
· Bitwise 现货以太坊 ETF 费用为 0.20%(前 5 亿美元或前 6 个月为 0%),代码为 ETHW;
· 21Shares 现货以太坊 ETF 费用为 0.21%(前 5 亿美元或前 12 个月为 0%),代码为 GETH;
· VanEck 现货以太坊 ETF 费用为 0.20%(前 15 亿美元或前 12 个月为 0%),代码为 ETHV;
· Invesco Galaxy 现货以太坊 ETF 费用为 0.25%,代码为 QETH;
· Franklin 现货以太坊 ETF 费用为 0.19%(2025 年 1 月 31 日前或前 100 亿美元为 0%),代码为 EZET;
· Grayscale 现货以太坊 ETF 费用为 2.50%,代码为 ETHE;
· Grayscale 现货以太坊迷你 ETF 费用为 0.25%(前 20 亿美元或前 12 个月为 0.12%),代码为 ETH。
10. WazirX遭遇黑客攻击,其以太坊网络多签钱包被盗
7 月 18 日,印度加密货币交易平台 WazirX 遭遇黑客攻击,其以太坊网络上的多签钱包被盗。总计 2.349 亿美元已转移到新地址。每笔交易的调用者均由 Tornado Cash 提供资金。
11. CME美联储观察:美联储到9月累计降息25个基点的概率为93.5%
7 月 18 日,据 CME「美联储观察」:美联储 8 月维持利率不变的概率为 95.3%,降息 25 个基点的概率为 4.7%,美联储到 9 月维持利率不变的概率为 1.9%,累计降息 25 个基点的概率为 93.5%,累计降息 50 个基点的概率为 4.6%。
12. Binance HODLer空投推出首个项目Banana Gun(BANANA)
7 月 19 日,据官方公告,Binance 宣布 HODLer 空投门户上的第一个项目 Banana Gun (BANANA)。2024 年 6 月 23 日 至 2024 年 7 月 5 日 期间订阅 BNB Simple Earn 产品的用户将获得空投分配。BANANA HODLer 空投页面预计将在五个小时内上线,新代币将在交易开始前 1 小时分发到用户的现货钱包中。Binance 将于 2024 年 7 月 20 日 09:00(UTC)上线 BANANA,并添加种子标签。
据悉 Binance HODLer Airdrops 是一项根据 BNB 余额的历史快照向 BNB 持有者奖励代币空投的计划。通过订阅 BNB Simple Earn,用户将自动获得 HODLer 空投(以及 Launchpool 和 Megadrop 奖励)的资格。
13. Binance CEO:距离比特币减半仅过去三个月,着眼长远非常重要
7 月 19 日,Binance CEO Richard Teng 在 X 表示,「市场是周期性的,经历起起落落并不罕见。在做出投资决策时,着眼长远非常重要。这里提醒一下,距离最近的比特币减半才过去 3 个月。不是财务建议,DYOR。」并在文末配图历次减半后 6 至 12 个月的比特币涨幅,其中 2012 年减半后一年涨幅 7043%,2016 年减半后一年涨幅 289%,2020 年减半后一年涨幅 559%。
14. 彭博社:Wintermute正以估值约20亿美元与腾讯等投资者进行融资谈判
7 月 19 日,据彭博社援引知情人士报道,加密货币交易公司 Wintermute 正在与腾讯等投资者进行融资谈判,以估值约 20 亿美元筹集资金。知情人士表示,作为交易的一部分,早期投资者和员工可以出售部分股票。他们表示,加上 Wintermute 通过出售新股筹集的资金,交易总规模可能达到 2 亿至 3 亿美元。
15. CoinGecko报告:Q2以太坊转为通胀,流通供应量增加120,818枚
7 月 20 日,加密货币数据聚合平台 CoinGecko 发布报告表示,以太坊在 2024 年第二季度变为通胀模式,ETH 流通供应量增加了 120,818 枚。这一变化是由于以太坊网络活动减少,导致销毁率显著降低。
2024 年第二季度,以太坊网络销毁了 107,725 枚 ETH,而同时发行了 228,543 枚 ETH,这导致以太坊流通供应量净增加 120,818 枚。ETH 销毁率环比下降 66.7%,原因是网络活动减少和 Gas 费下降。交易量下降是导致这一下降的重要原因。
2024 年第二季度,对 ETH 销毁最有贡献的领域 ETH 转账,销毁了 6838 枚 ETH。这反映出尽管使用网络进行价值转移的现象有所减少,但仍然持续存在。
16. 美国现任总统拜登宣布将退出2024年总统竞选
7 月 22 日,美国现任总统拜登发文宣布退出 2024 年美国总统竞选,并表示将于本周晚些时候就「退选决定」发表全国讲话。
17. 拜登将支持副总统卡马拉·哈里斯成为2024年民主党总统候选人
7 月 22 日,美国总统拜登表示将支持副总统卡马拉·哈里斯 (Kamala Harris) 成为 2024 年民主党总统候选人。
18. 特朗普将于本周末在比特币2024大会发表演讲
7 月 22 日,据 bitcoin2024 官网显示,美国前总统特朗普将于当地时间 7 月 27 日 14:00-14:30 在纳什维尔举行的比特币 2024 大会发表演讲。BlockBeats 此前报道,业内人士透露,特朗普或将于比特币 2024 大会上宣布计划将比特币作为美国战略储备资产。
19. Binance完成第28次BNB销毁,共销毁价值约9.71亿美元BNB
7 月 22 日,据官方公告,Binance 完成第 28 次 BNB 销毁,共销毁 1,643,698.8 枚 BNB,价值约 9.71 亿美元。
20. 摩根大通:加密货币市场近期的反弹可能只是暂时的
7 月 22 日,摩根大通(JPM)在一份研究报告中表示,加密货币市场在短期内的任何反弹可能都是战术性的,而不是新的长期看涨上升趋势的开始。摩根大通表示,这是因为比特币(BTC)的价格目前相对于其 4.3 万美元的开采成本过高,而且相对于其波动性调整后的黄金比较价格 5.3 万美元也过高。报告发布时,比特币的交易价格约为 67,220 美元。摩根大通指出,由于 Gemini 债权人、Mt. Gox 债权人和德国政府的 BTC 清算,最近几周比特币期货的动能一直疲软。
21. 分析:以太坊现货ETF交易启动后,币价或面临抛售压力
7 月 22 日,BRN 分析师 Valentin Fournier 表示,以太坊 ETF 现货交易启动后,币价可能会立即下跌。其表示,「以太坊在本周初可能面临巨大的抛售压力,而 ETF 的推出可能无法立即抵消这种压力。」因此,以太坊在 ETF 推出当天可能会出现抛售压力,随后会逐步回升。另据 Deribit 数据,看跌/看涨比率已飙升至 1.45。这表明看跌期权的数量高于看涨期权,表明交易员预计可能会立即下跌或正在寻求对冲价格下跌。
22. 3500美元为以太坊关键阻力位,因超310万地址高位持有
7 月 22 日,IntoTheBlock 数据分析,自 7 月 16 日以来,以太坊一直在努力突破 3,500 美元的阻力位。造成这一挑战的一个主要因素是 313 万个地址以平均 3,547 美元的价格购买了 ETH。这些地址处于亏损持有状态,增加了抛售压力,使得 ETH 很难突破这一关键水平。
23. 美国特勤局局长承认针对特朗普的刺杀是「特勤局几十年来最重大的行动失败」,但拒绝因此辞职
7 月 22 日,美国特勤局局长 Kimberly Cheatle 在国会听证会上承认 7 月 13 日发生的针对特朗普的刺杀是「特勤局几十年来最重大的行动失败」,Kimberly 表示将为与特朗普未遂暗杀有关的安全漏洞负全部责任,但拒绝因此辞职。
二、Filecoin项目情况
1. 市场情况
a. Filecoin基金会发布6个主要相关项目涉及热数据商用、永久安全、简易快速、大数据集等方面,该批次项目将彻底改变Filecoin数据存储生态。
i. LighthouseWeb3:Filecoin上的永久存储项目;
ii. CiDgravity:企业级数据项目,零知识解决方案;
iii. GhostDrive_Web3:私密安全的数据存储项目;
iv. SteelDome:软件优先的数据保护项目;
v. Decentrally:去中心化存储对象,可兼容web2向web3过渡;
vi. Titannet_dao:热数据存储项目,属于Tian网络的一部分。
b. Filecoin基金会Storacha小组负责人Momack表示,Storcha将能够为去中心化游戏、社交和媒体dapps带来一流的速度和易用性,使所有人都能从Filecoin去中心化和可严重的存储中受益。该小组是由原Filecoin基金会下土星检索小组和web3Storage小组合并而成。
c. 灰度Grayscale推出去中心化人工智能新基金,该基金旨在推动加密货币行业的人工智能投资和季度重组,将资助包括:人工智能服务、解决集中式人工智能使用问题以及开发与人工智能相关的基础设施在内的项目。基金首批项目包含TAO、FIL、LPT、NEAR、RNDR其中FIL是最高权重资产之一。
d. 本时间段内FIL下跌至4.12美金。
2. 数据情况
a. 全网有效算力22.6Eib,原值算力下降到5.6Eib。
b. 单T日产币量:0.0044FIL。
c. 近期GAS保持较低水平。
d. FVM链上目前总计存款3000万枚FIL,累计借出2100万枚,资金主要集中在Glif项目中。
左右滑动查看更多
3. Filecoin地址分析
a. 持币地址:持币地址数3,159,656,增长16,010地址,全网总计销毁量39,899,176FIL。
b. 交易所地址:交易所地址持币量从7月9日到7月23日期间一共流出126.45万个,符合本时间段内市场资金流动。

4. 五维图分析Filecoin和分布式存储项目发展

a. 项目背景和市场
i. Filecoin 作为融资 2.57 亿美金的大项目,受到各大投资机构追捧。
ii. Arweave 在 2018 年-2020 年 3 月,通过 ICO 和一级市场累计从 A16Z、联合广场风投(Union Square Ventures)、Coinbase 等机构融资 2200 万美元。
iii. 2023 年 2 月,BNB Chain 发布了 BNB Greenfield 白皮书,提出了 Web3 时代的一种新型数据结构和经济范式,将目标瞄准了分布式存储赛道。BNB Greenfield 是 BNB Chain 生态系统中继 BNB 信标链和 BNB 智能链之后的第三条区块链,使用 BNB 作为其原生代币。
iv. Arweave 的目标是建立一个永久存储的去中心化应用,重点保护人类需要永久保存的文献资料。
v. Arweave 项目的协议之一 Permaweb:一个互相连接的文档和应用程序的集合, 其中所有内容都是永久的。浏览器将有权访问网络中存储的所有数据。因为 Arweave 网络本身是建立在 HTTP 之上的。与 Filecoin 是自己开发并建立在 IPFS 网络形成鲜明的对比,表明 Filecoin 的技术实力更强。
vi. FIL 检索市场土星上线测试网络,将在本年度内部署 13 万个以上检索节点 。
vii. Filecoin 子网络 IPC 登录 Fileocin spacenet 测试网,将提高FIL网络功能,解决TPS消息处理等问题。
viii. Filecoin 推出 AWS 亚马逊云、GCP、AZURE 服务的数据托管开源替代方案 FWS。
b. 存储规模
i. Fileco存储规模上目前Filecoin一骑绝尘。
ii. Filecoin-v19升级后DC数据封装加速,全网算力突破21Eip 。
iii. Arweave目前的存储规模为130TiB,相比Filecoin远远落后。
c. 未来发展潜力
i. Filecoin3月14日上线FVM虚拟机,兼容以太坊链,未来还有检索和计算待上线。
ii. AR作为永久存储类项目,有比较明确的存储对象,能够更好的针对性发展。
iii. BNB Greenfield先做用户后做存储,有币安做依托,市场前景很大。
iv. Filecoin在FVM和IPC以及FSW加持下,已然成为可以同以太坊和其他公链竞争的大型生态系统。
d. 生态竞争力
i. 目前单纯从智能合约生态而言,AR生态发展要比Filecoin更加迅速,AR已经有比较成熟的去中心化交易所和Defi项目。
ii. Filecoin生态未来可期,虚拟机上线后各大项目在其上进行部署,一大批生态即将问世。
iii. BNB Greenfield依托币安和BSC链,未来生态有很大的发展潜力。
iv.目前Filecoin基金会和协议实验室也在关注BNB Greenfield进展情况,有可能会是Filecoin未来最大的竞争对手。
v. Arweave官方宣布目前网络上永久存储数据超过10亿条。
vi. Crust Network宣布将整合 Crust 主网、Polkadot 平行链和 EVM 合约,构建全新的 Crust 协议,支持任何 EVM 兼容链的存储服务。
vii. Filecoin子网络IPC已进入测试网部署,将大大提高TSP,优化网络能力,为生态发展助力。
viii. Yellowstone项目将整个Solana链上区块历史记录加载到Filecoin上,以保证所有基础设施提供商、Solana 个人用户、探索者和索引器都可以免费进行访问。
ix. Crust Network最新部署的Crust EVM Storage 现在支持Arbitrum生态系统,开发者现在可以通过 Arbitrum 下单来使用 Crust 的存储服务。
x. Filecoin的LOTUS客户端推出Lotus Slasher和Lotusd Disputer两项增强服务,这两项服务将会在维护网络完整性、预防恶意活动和奖励活跃参与者方面发挥至关重要的作用。
xi. BNB Greenfield测试网于8月31日升级至 v0.2.4,这是主网之前的最后一次重置,主要目标包括解决以前版本的错误并引入新功能。
xii. UniswapV3成功在FVM上进行部署,将为Filecoin生态发展带来更多的机会和关注。
e. 社区关注度
i. Filecoin近一年来越来越重视社区的力量,项目方在全球各地积极举办各种大型活动进行宣传。
ii. Arweave的分布式存储类项目社区宣传力不大,相关的推特等社区宣发活跃度较低。
iii. BNB Greenfield开始进入分布式存储赛道测试网络,开始引起各大社区关注。
iv. Filecoin推出FWS云服务替代方案引起社区关注,同时美国国会议员公开表示FIL不是证券。
v. 比特大陆在官网公开销售Filecoin矿机,Filecoin社区关注度明显提升。
vi. Filecoin子网络IPC部署Alpha测试网,标志着Filecoin子网解决方案里程碑式的进展,对未来生态发展和计算功能完善有很大的促进作用。
vii. 胡安出席Filecoin巴黎会议并解答社区问题,扩大社区影响力。
viii. Arweave于7月29日开始举行社区黑客马拉松活动以扩大社区影响力。
ix. Filecoin Orbit大中华区首批社区大使出炉,包括New Web Groro、ND LABS、STFIL、Filet等多家储存供应商和生态项目团队。这将持续扩大Filecoin社区影响力。
x. Filecoin和Chainlink共同合作探讨去中心化预言机和数据管理,继续扩大Filecoin在行业的认可度。
xi. 澳洲顶级医学研究所Victor Chang与分布式存储解决方案DSS合作,将其突破性心脏研究的数据存储在Filecoin网络上,实现Filecoin的应用落地。
xii. Bitmex创始人发言力挺Filecoin,FIL在行业间的认可度持续增加。
xiii. Filecoin分别在韩国、新加坡以及后续的冰岛举办会议,和社区、开发者等一起探讨项目未来。
xiv. Filecoin基金会和联合国世界粮食计划署合作,将同埃森哲、拜耳等公司一起努力开发基于区块链的解决方案,为世界粮食计划署获得的捐赠提供额外的信任和透明度,该技术预计将于2024年进行试点。
xv. Protocol Labs 推出 Venture Studio 计划,旨在利用 Filecoin、IPFS、libp2p、以太坊和 Protocol Labs 生态系统中的其他技术,发展和支持新创业公司构建突破性技术。
f. 综合评述
i. 子网络测试网上线,将极大提升FVM性能,扩大生态发展能力,未来Filecoin将赋予存储加智能合约两大功能。其次官方将着眼提升真实数据质量,该措施将数据真正的同生态结合起来。
ii. 最大的去中心化交易平台Uniswap部署到FVM网络上将给Filecoin带来新的发展机遇。
iii. Filecoin推出云服务替代方案FWS,将打开云服务市场。
iv. Arweave作为永久存储的去中心项目与Filecoin有着本质的区别,它们并不是竞争关系,更为恰当的表述是相辅相成的完善存储赛道。
v. Filecoin和Arweave发展至今已经成为了去中心化存储的代表性项目,也代表着去中心化存储的0到1过程基本完成。在发展理念上,将非链上核心数据拆分到存储层已经成为了以太坊扩容的主要手段。与此同时,存储聚合网络和L1扩展网络作为补充和延展,可以更高效、低成本的满足用户的具体需求。
vi. BNB Greenfield主网正式上线,依托币安的生态和资源未来可能有比较好的发展前景,虽然是Filecoin的强劲竞争对手,但是也同时能够吸引更多的人来关注去中心化存储赛道。
5. 更新信息
a. 灰度推出去中心化人工智能新基金,Filecoin是权重最高资产之一。
三、Optimism和Arbitrum数据对比分析

1. 本时间段内BTC反弹回落,但是市场情绪基本上恢复,ETH现货ETF正式上市,美联储方面9月详细概率也增大,市场正向着好的方向发展。
2. OP和ARB币价方面触底反弹,相对最低点有所上涨,但是整体上依旧偏弱。链上交易量也并不活跃。
3. 虽然ETH现货ETF上市,但是资金还需要时间流入累积后才会有溢出到以太坊生态的可能。短时间内受灰度卖出ETH影响,有可能价格会走低。
四、链上数据分析
1. 链上指标
a. 希望通过链上数据动向把握市场行情变化
b. 指标依然处于较低分值,未有入场机会。

2. 市场和数据动态
a. BTC价格走势
i. 上上周提到本次调整时间会较长,可能持续一两个月。在7月14日,特朗普遭遇枪击奇迹生还之后,使得其成为第47届总统几率增加,且因其对加密货币的支持,导致潜在的总统叙事交易情绪迸发,比特币开始反弹。反弹最高点去到了68474,目前进行的是对反弹的回调,如无意外预计在9月前,比特币都将维持宽幅震荡的走势。
ii. 53485目前有做底的可能性,在7月22号美股收盘后,SEC公布了ETH ETF通过的消息,但正如意料之中的,以太坊的价格并没有明显的上升,原因可能在于比特币ETF的通过效应在以太坊初次审批时20%的价格拉升耗尽了短期潜力,以及推出的时间节点不够好、推出前后SEC对其态度的180°奇怪转变,还有灰度持有的抛压等等综合因素堆叠。以太坊的发力还要等到持续的ETF净流入之后。
iii. 市场仍然维持着宽幅震荡的走势,如果我们能在接下来美股的回调中看到比特币在某一支撑位的坚挺,那都是较好的购买点位,此次调整结束,比特币的目标价位是10万美金及以上。
b. 全链TVL数据
i. 从全链的TVL数据上来看,本周随着市场的回调而下跌,TVL牛市最高1700亿美元,上上周数据954.89亿美元,本周数据951.02亿美元,TVL下跌4.05%。
ii. 上上周7天交易量为366.5亿美元,本周7天交易量为447.47亿美元,上涨22.09%。
c. BTC和ETH清算量
i. 从本周中心化交易所合约交易BTC清算地图来看,BTC本周清算强度悬殊较大,多单累计清算强度27.33亿美元,空单方面累计清算强度68.28亿美元,空单在64900至70440为密集清算区,多单在63792至61022为密集清算区。
ii. 去中心化交易所方面,ETH在1746开始有大额清算,在1746至571为密集清算区,571为最大清算点。
d. 链上交易
i. 链上交易以太主网本周活跃度保持低迷,主要受到市场价格震荡,无创新叙事、情绪低迷影响。7天平均gas为5.5Gwei,较上上周5.6Gwei,下降0.1Gwei。
ii. ETH主网呈现通胀,7天年通胀率为0.59%。
iii. 链上gas销毁最多的三个项目是:Uniswap、链上转账以及泰达的铸造和销毁。
左右滑动查看更多
五、二层网络及公链项目研究
1. 去中心化交易所D8X正开发一款杠杆工具
据CoinDesk报道,去中心化交易所D8X正开发一款杠杆工具,使用户能够在Polymarket的预测市场进行杠杆交易。D8X联合创始人Caspar Sauter表示,杠杆可提升交易效率和潜在收益,并有助于风险管理。计划于8月在主网上线该功能。
2. Cudos正构建预言机系统
Cudos项目作为Layer 2网络中的一员,不仅致力于智能合约的优化,还构建可靠的预言机系统。CUDOS近期宣布与Kaisar Network建立战略合作关系,后者作为全球基础设施解决方案的领导者,被誉为先进AI的去中心化支柱。这一合作标志着双方在扩展去中心化云服务覆盖范围方面取得了重大进展。Kaisar将通过贡献约5000个NVIDIA H100 GPU,增强Cudos生态系统的供应能力,进一步加强全球范围内的分布式基础设施连通性和效率。
3. OKX推出首款Telegram涨跌竞猜小程序OKX Racer
7月22日OKX正式推出Telegram首款Telegram涨跌竞猜小程序OKX Racer。更有引擎升级、油箱升级、积分排行榜等多重游戏机制等可供探索,帮助用户游戏中体验加密交易的乐趣。用户在Telegram搜索OKX_official_bot,发送消息触发启动,即可体验。
4. 钱包应用Keplr将增加对EVM的支持
Cosmos区块链生态系统中最受欢迎的钱包应用Keplr将增加对EVM的支持,旨在加强其作为多层钱包解决方案的功能。此次新集成预计将允许用户直接在Keplr界面内查看和管理基于以太坊的资产。此外,该功能还旨在支持利用两个生态系统的新兴模块化项目,如Initia、Dymension、Saga和Celestia。
5. Polygon主网升级计划于2024年9月4日进行
据The Block报道,Polygon的主网升级计划于2024年9月4日进行,在获得社区批准后,其原生代币将从MATIC转换为POL。POL预计将维持MATIC现有的代币经济学、分布和总供应量。后续阶段可能会看到POL功能的扩展,特别是在AggLayer内。升级后,POL将取代MATIC成为Gas费和质押的主要代币。
6. 观点
目前市场在ETH现货ETF上市之后出现了回调,基本跟之前预期一致,门头沟赔付造成了BTC价格小幅下跌,不过可以看到市场还算稳定,月底的BTC共识大会上特朗普以及相关美国政要的发言可能会造成币价的大幅波动。
六、市场投融资信息
本时间段内一级市场融资项目不算太多,大部分项目并没有披露融资金额,可以看到基础设施类项目在本时间段内比较受青睐。
左右滑动查看更多
七、看多以太坊:具备成为全球金融结算层的潜力
1. 前言
a. 以太坊是全球金融的结算层,它是唯一能够胜任这一角色的区块链。
b. 其他区块链仍然会托管许多有用的应用程序,并在特定领域发挥作用,但全球金融系统将会运行在以太坊上。
2. 什么是结算层?
a. 结算层并不是一条供消费者使用应用程序和与朋友交易的链,而是其他链构建其上的基础链。
b. 它专注于以下五个方面:
i. 通过存储数据和验证数据的正确性来保护其他链
ii. 部署将在整个链生态系统中使用的 Token 和资产
iii. 管理应在多个链之间共享的状态
iv. 保护所有连接链的原生桥接,消除桥接风险
v. 在所有连接的链之间提供互操作性,以最安全的方式在没有对手方风险的情况下转移无限流动性
c. 这些构建在以太坊之上的链被称为 rollups 或 Layer 2 ,因为它们将数据汇总成一个 blob 并存储在以太坊上。
d. 以太坊作为结算层而非单一链的设计,解释了为什么它的市值如此之高,尽管表面上看,它似乎比其他较新的链更慢、更昂贵。
3. 为什么全球金融系统不能运行在单一链上?
a. 许多区块链声称能够每秒处理 1 万、 5 万,甚至 10 万以上的交易,如果他们能达到这个水平,那当然很好。
b. 问题在于,全球金融系统的规模至少会大 3 到 4 个数量级——接近每秒 1 千万到 1 亿笔交易,甚至更多,特别是在 AI 智能体上线后。
i. “但信用卡只需要每秒 5 万笔交易就能处理全球所有的支付” 。这个数字是对的,但还没有意识到未来金融系统的庞大规模。想想 80 年代互联网出现之前,有多少电视节目、书籍和一般信息。当时,这些内容的创作和分发仅限于少数出版商,几乎所有人都被迫从几个分发渠道获取信息。
ii. 然后互联网来了,任何人都可以在任何地方创建博客、视频频道,或者仅仅与世界分享他们的观点,成为影响者。内容的数量不是增加了 10 倍甚至 100 倍,而是增加了 100 万倍。
iii. 当金融真正被释放出来,任何人都可以投资或交易任何资产,而不仅仅是像今天这样的一些债券、股票和房地产时,金融系统将经历类似的爆炸性增长。股票和债券将像 YouTube 一代眼中的传统电视一样无聊。
iv. 人们将会做什么?他们会投资自己喜欢的游戏、乐队、歌曲、艺术家、博主、影响者、作者、书籍和视频。可以在任何地方资助任何项目,并从中获得一些收益或回报。收集和交易游戏物品——数百万玩家将在成千上万个游戏中进行交易。进行目前华尔街的金融交易,但规模扩大到全球,所有想参与的人都可以参与。对任何事物进行下注。
v. 不仅仅是人类在进行这些交易,还会有数百万的机器人和 AI 智能体在各处交易数十亿的资产,试图在数百万个市场中获得优势。还认为所有这些都能在全球复制的几台 PC 上运行吗?
c. 也许这一切都不会实现,政府可能会扼杀这种乐趣,我们将永远被困在交易无聊的股票和债券中,但我对此表示怀疑。年轻一代决定了未来的基调,他们对交易 meme 币和游戏物品比传统金融资产更感兴趣,就像他们对 YouTube 比对电视更感兴趣一样。
4. 为什么全球金融需要一个结算层?
a. 严格来说,不一定需要,毕竟我们已经有一个运行在许多独立数据库上的金融系统。然而,当你的系统通过一个标准化层连接到所有其他系统时,速度、安全性和互操作性的提升是显而易见的。忽视这一点就像在互联网已经开始接管世界后,仍然试图在私有内联网上运行你的公司。
b. 以太坊的另一个关键属性是它的中立性——即使是彼此敌对的国家或公司也可以使用这个平台来结算交易。以前,当两个国家交战时,他们会使用黄金来结算债务,因为他们不信任彼此的货币或金融系统。现在,他们可以在以太坊上的任何中立加密货币中进行交易。
5. 为什么每个金融机构都想要自己的 rollup?
a. 当以太坊在 2015 年首次出现时,许多金融公司开始尝试这项技术,不是为了成为网络的一部分,而是为了在合作公司之间运行自己的私有区块链。JP Morgan 开始了 Onyx 链,Microsoft 推出了以太坊区块链即服务,Amazon 创建了 AWS 托管区块链。公司希望拥有私有区块链以保持控制——这样他们可以实施合规、KYC (了解你的客户)、AML (反洗钱),并在发生黑客攻击时暂停链。
b. 这些私有区块链都没有成功,因为它们忽略了区块链有用的两个原因:可组合性和无许可创新。当人们合作,创造互补和扩展彼此的产品,任何人都可以贡献时,惊人的事情就会发生。而当你移除这两个要素时,你得到的只是一个更慢的数据库。
c. 通过 rollups,公司可以享受两全其美的优势——既能创建带有任何限制或控制的链,同时又能保持与以太坊生态系统的互操作性。他们可以实施 KYC (了解你的客户)、AML (反洗钱) 规则,对交易进行人工审核,剔除不良行为者,所有这些都像他们在集中平台上所做的一样。
d. 现在用户可以在几分钟内无缝迁移到他们的平台,这也吸引了开发者为其客户部署有用的应用程序。如果他们的 rollup 使用与其他 rollup 相同的语言,这些应用程序可以在一天内上线。开发者通过使用费用获得收入,而公司则免费获得许多额外的服务。
e. Coinbase 开创了这一策略,他们的 Base 链仅在一年前推出,现在已经有超过 250 个应用程序,而且 Coinbase 并没有花一分钱来构建它们!Coinbase 为开发者提供了激励措施,包括通过智能钱包访问数百万用户和数十亿美元的资金,这变成了一个双赢的局面。
f. 这种通过 rollup 扩展产品的策略现在在加密生态系统中逐渐流行,Kraken、OKX 、Crypto.com都推出了自己的 Layer2。
g. 全球最大的资产管理公司 Blackrock 已经意识到潮流正在变化,并在其他机构注意到之前率先调整方向。他们最近在以太坊上推出了一个 1 亿美元的基金,Larry Fink 对将一切代币化以实现更好的互操作性和比其他金融系统更少的开销持乐观态度。推出他们自己的 rollup 并在其他人之前建立一个生态系统只是时间问题。
h. 当金融公司意识到 Coinbase 在做什么,Blackrock 在尝试什么,他们可以获得用户、流动性和一个庞大的免费开发者基础时,推出自己的 rollup 将是一个显而易见的选择。
6. 为什么只有以太坊能够支持这一点?
a. 以太坊是唯一一个高度专注于支持成千上万条链,同时最大限度地去中心化、保持高运行时间和安全性的区块链。当前使用这个生态系统的用户体验虽然较差,但这是以太坊为实现未来十年内扩展到数百万 TPS 而做出的短期牺牲。修复用户体验比重新构建底层基础设施要容易得多,而且已经有很多项目在解决跨链问题。
b. 这种作为数千条其他链的支持层的系统不是任何其他网络可以简单复制的,它需要整个生态系统的全面改革。你必须创建桥梁、互操作层、共享排序器、跨链 MEV 解决方案、能够处理多个链的钱包、能够识别跨链资产的应用程序。以太坊现在正在经历所有这些成长的痛苦,以准备成为金融的基础层。
c. 此外,以太坊已经为这个世界进行了高度优化:
i. 它设计为在最小的硬件上运行,并且只需要普通的互联网连接,这使得节点可以遍布全球,几乎不可能被摧毁。
ii. 它在权益层上高度去中心化,没有任何单一实体持有超过几个百分点的质押代币。任何对链的攻击都需要全球众多公司的协调,这几乎是不可能的,即使有人尝试接管,他们也可以被社区削减。
iii. 它在软件层上也高度去中心化。以太坊有 5 个执行客户端 (Geth、Nethermind、Besu、Reth、Erigon),还有 4 个正在开发中 (Megaeth、Monad、GPU-EVM、Ethereum Rust),以及 6 个共识客户端 (Teku、Lighthouse、Prysm、Nimbus、Lodestar、Granadine)。这些客户端由不同团队用不同编程语言在世界各地编写。这使得网络中出现缺陷的可能性极低,即使其中一个客户端有严重漏洞,也不足以使网络瘫痪。
iv. 所有最大的升级都是为了支持这种结算层设计。以太坊试图为 Layer 2 提供尽可能多的数据,并专注于快速验证 ZK 证明和其他使 rollups 工作并实现跨兼容的必要技术。
v. 以太坊社区比任何其他链都更关心最大化去中心化。社区中有大量人群在家质押、运行自己的验证节点、敦促大公司多样化其质押客户端,并鼓励用户从大型质押提供商转向较小提供商。
d. 是的,其他生态系统可能会尝试转向这种 rollup 世界,但它们都面临创新者困境——没有公司或团体愿意研究会破坏其当前工作产品的技术。此外,所有想要构建单片链的人都已经从以太坊跳槽到其他项目,几乎所有关心这种多链高度可扩展世界的人都在从事以太坊开发或研究。没有任何其他团队能够实现这一愿景的转变,并获得建立必要生态系统以进行竞争的资源和人才。
7. 比特币呢?
a. 比特币是最有可能成为这种结算层的竞争者,因为它像以太坊一样,专注于去中心化和安全性,几乎牺牲了其他所有东西。不幸的是,比特币最大的优势也是它最大的劣势——它从不进行硬分叉。比特币不进行硬分叉意味着它无法添加许多破坏性更改,而这些更改对于使 rollups 可行是必需的。没有这些更改,添加 rollups 和所有使其无信任、安全、廉价和快速的基础设施是一项极其复杂的任务。
b. 即使假设它所有关于 Layer 2 的愿景都得以实现,它仍然会比以太坊更慢、更昂贵和更复杂,并且在生态系统发展方面会落后很多年,这使得它难以竞争。
8. 让基础层变快有什么问题?
a. 技术中的一切都有权衡。当基础层承担更多工作时,运行节点的要求增加,能够运行它的人和地点减少,使其去中心化程度降低。它也有更高的失败风险,导致停机,而停机是对基础层最糟糕的事情,因为每个建立在其上的 rollup 也会中断。
b. 借助 ZK 证明 (ZK Proofs) 的魔力,基础层节点可以在几毫秒内验证数百万甚至数十亿笔跨越数千个 Layer 2 的交易。处理这些交易并创建 ZK 证明的节点需要非常强大,但验证它们的节点可以非常小。这意味着基础层唯一的真正任务是存储数据、验证 ZK 证明并保持在线。硬件要求越低,它就能越好地完成这项工作。
9. 为什么我们需要一个结算到以太坊的链生态系统?
a. 目前已经有一些链生态系统可以彼此互操作——Cosmos 是其中最大的一个。这些生态系统比认为单一链可以完成所有任务更有意义,但它们的共同缺陷是缺少一个在它们之间最大限度安全的结算和互操作层。
b. 没有这个基础层,你必须单独检查和信任每个链的安全属性,这非常难以推理。而且随着代币在整个生态系统中流动,你不仅要信任起源链,还要信任这些代币在到达最终目的地过程中经过的所有链。
c. 拥有这个共同的共享基础层还可以创建一个部署跨链代币或保存共享状态的地方,这确保它们由这个层保护并可以在所有 rollup 之间无缝传递。
10. 结语
a. 从长期来看,结算层这一趋势似乎和 Linux 接管服务器领域一样不可避免,只是通过金融激励加速了这一进程。拥有一个大家都在使用但没有人能够控制或限制、收取租金的共同标准平台,对公司和各种用户来说都是非常强大且极具吸引力的。
b. 当前的金融系统是破碎的、分散的且难以修复,因为几乎没有真正中立的参与者来协调它。而且,这些中立的参与者一旦获得垄断地位,往往会寻求租金或执行他们自己的道德准则。通过消除人类对网络的控制能力,我们将获得一个最能服务于所有人的金融系统。这就是我们一直在等待的金融互联网,只是时间问题,最终大家都会意识到这一点。
八、美国资产负债表跟踪
72,240.79亿(7月10日)→ 72,082.47亿(7月17日),单周缩表158.32亿 ;
从2023年3月份反弹到高点87,337.87亿至今,下降15,255.40亿;
16个月时间平均下来,每月缩表953.46亿,超过了原计划每月缩表950亿的目标。

九、常见资产保证金匹配监控
1. USDC(截止2024年5日31日)
a. 发行量:32,289,248,060 USDC
b. 保证金价值:$32,340,643,744
2. BUSD(截止2024年5月31日)
a. 发行量:70,511,464 BUSD
b. 保证金价值:$72,216,099
3. WBTC(截止2024年7月22日)
a. 总流通WBTC:154,534.9309 WBTC
b. 总质押BTC量:154,547.1407 BTC
4. stETH(截止2024年7月22日)
a. 总流通量:9,827,592.93 stETH
b. Lido质押ETH量:9,827,566.837 ETH
十、UniswapV3交易量、收益率和TVL跟踪
Uniswap上总交易量为81.56亿美金
TVL: 36.33亿美金

十一、主流三大稳定币监控
左右滑动查看更多
USDT市值继续保持增长状态,目前市值增加至1142.26亿美金市值,USDC总市值本时间段内增加至340.86亿美金,TUSD市值维持在4.95亿美金左右。
三大稳定币总市值目前为1488.08亿美金,相比之前的1462.02亿美元,总市值增加近26亿美金左右。稳定币总市值在经历一段平缓后再次出现大额增幅。
十二、矿机关机币价监控
本时间段内BTC价格维持宽幅震荡,ETH现货ETF正式上市,但是价格表现并不好,预计将持续一段时间积累力量后才会突破上涨。

✏️ 风险提示与免责声明
该报告是基于所示日期准备的,由于市场或经济状况可能发生变化,报告内容可能无法完全反映这些变化,提供的图形图表和其他视觉辅助工具仅供参考。
本文涉及的陈述和结论是基于未来预期的假设和前瞻性观点,但已知和未知的风险与不确定因素可能导致实际结果、表现或事件与陈述中的观点和假设存在实质性差异。请勿据此进行任何投资决策,华澳集团和报告作者不对用户的投资结果负责。
根据央行等部门发布的《关于进一步防范和处置虚拟货币交易炒作风险的通知》,本文仅用于信息分享,不推广或背书任何经营和投资行为,请读者严格遵守所在地区的法律法规,不参与任何非法金融活动。
• END •
往期精彩

❤️喜欢请点「在看」👇

