大数跨境

自动控制的现代控制理论阶段1(状态空间)

自动控制的现代控制理论阶段1(状态空间) 中浩控制
2026-04-23
1
导读:伴随着计算机技术的发展和航天技术的应用,自动控制理论转向多输入多输出、非线性、时变系统研究,以解决复杂的系统控制问题。

一、现代控制理论阶段(20世纪50年代—70年代)

伴随着计算机技术的发展和航天技术的应用,自动控制理论转向多输入多输出、非线性、时变系统研究,以解决复杂的系统控制问题。
1954:贝尔曼(Bellman) 创立动态规划,解决多阶段最优决策。
1956:庞特里亚金(Pontryagin) 提出极大值原理,最优控制核心工具
1960:卡尔曼(Kalman) 系统引入状态空间法,提出能控性/能观测性,标志现代控制理论正式诞生。
1960–1961:卡尔曼-布什滤波,解决随机噪声下的状态估计。
1965:扎德 (L.A.Zadeh) 提出模糊集合,模糊控制诞生。

1970s–1980s:鲁棒控制,H∞、μ分析,解决模型不确定与干扰问题。自适应控制成熟。

1980s:神经网络复兴、专家控制、分级递阶智能控制兴起。
1987:第一届国际智能控制大会,智能控制成为独立学科。
核心突破:从“外部输入输出”转向内部状态描述,适配多变量/时变/最优控制。
从1960–1970s,理论体系完善,涌现的分支理论有:
线性系统理论:极点配置、观测器设计、解耦控制、李雅普诺夫稳定性。
最优控制:庞特里亚金极大值原理、贝尔曼动态规划、极大值原理、线性二次型最优控制(LQR)。
随机控制与滤波:卡尔曼滤波推广、系统辨识、自适应控制等理论出现。
在航天(火箭/卫星)、导弹、工业过程的应用全面落地。
从1970–1990s,为应对不确定性,爆发的新分支理论有:
自适应控制:模型参考自适应、自校正控制,应对参数时变。
非线性控制:反馈线性化、滑模控制、逆系统方法。

二、状态空间

1. 状态:能完全描述系统当前运动状况的最少一组变量。
已知t₀ 时刻的状态 及 t ≥ t₀ 的输入→ 就能唯一确定系统未来所有时刻的行为。

例如:

弹簧质量阻尼系统:位置 x、速度 v → 状态变量。
电路:电感电流、电容电压 → 状态变量。

2. 状态空间的描述形式

对线性时不变(LTI)系统,只有两个方程:

1) 状态方程

作用:描述状态如何随时间变化。

2) 输出方程

作用:把内部状态 → 变成能测量的输出。

3. 状态空间的三大优点

  • 能描述多输入多输出(MIMO)
  • 能刻画非线性、时变系统
  • 能体现系统内部的状态

三、传递函数 ↔ 状态空间

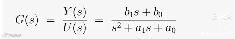
1. 传递函数 → 状态空间

由所给 G(s),写出状态空间。
以单输入单输出为例:
状态方程和输出方程
规律:
分母系数 → 放进 A 矩阵最后一行
分子系数 → 放进 C 矩阵

2) 状态空间 → 传递函数

公式

步骤

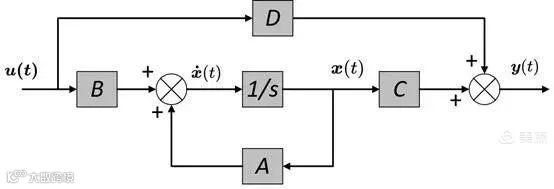
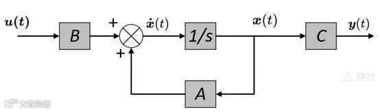
四、线性系统状态空间结构图

如下结构图表示单输入单输出(SISO)线性定常系统的状态空间模型。
D=0 的结构图(D表示输入直接影响输出,很少见)

状态空间的结构图理解:

积分器:1/s(数量 = 状态个数)反馈:A 矩阵;输入耦合:B 矩阵;输出抽取:C 矩阵。
每个积分器的输出 x(t) 就是一个状态变量,其个数等于系统阶数。
状态更新:状态方程体现了状态自身的演变(A阵)与受输入的驱动作用(B阵)。
测量输出:输出体现了从内部状态到外部输出的映射(C阵)。

五、应用举例

举例1

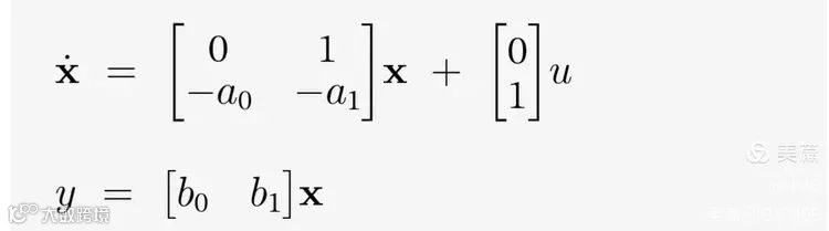
假设系统结构图中的矩阵参数如下(二维系统),求:根据结构图计算输出 y(t)

第一步:写状态方程

第二步:写输出方程

注:输出y其实就是状态变量x1

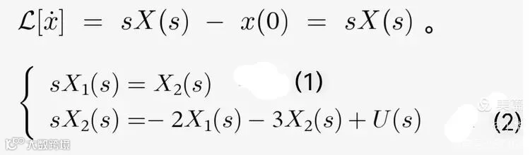
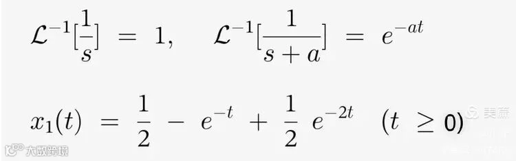
第三步:求解微分方程(拉普拉斯变换法)

零初始条件下取拉氏变换:
利用微分性质
消元求解
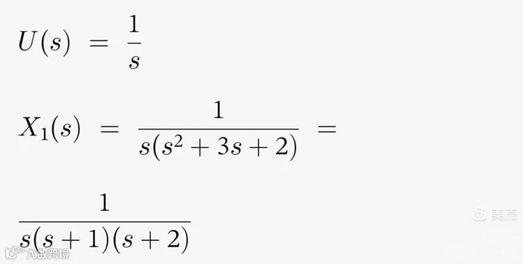
代入输入
假设 u(t) 是单位阶跃信号,则

第四步:部分分式展开与反变换

展开
查拉氏变换表反变换:

第五步:得出最终结果

举例2

经典的二阶 LC 串联电路,含两个电容串联,电感串联,输入为电压源 u(t),输出通常取电容电压或电感电流。
输入输出

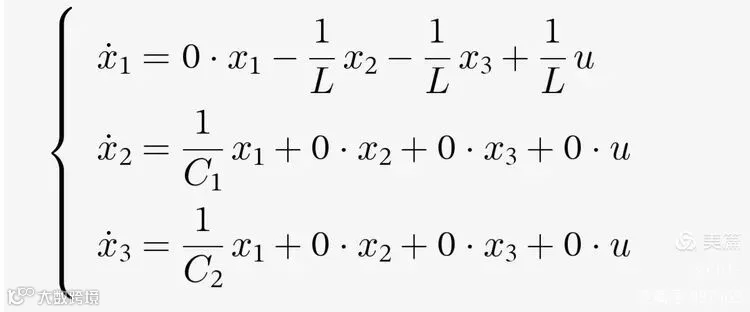
步骤1:确定状态变量

选择电感电流和电容电压作为状态变量(物理意义明确,且为独立储能元件)

步骤2:列写电路方程(KVL/KCL)

根据基尔霍夫电压定律 (KVL),沿回路列写电压方程:

步骤3:推导状态方程

将 KVL 方程代入电感电压表达式,展开为状态变量形式:
结合电容电流方程,完整的状态方程组为:
矩阵形式

步骤4:推导输出方程

若输出为两个电容的总电压
矩阵形式

特殊情况说明

若电路拓扑或输出定义不同(例如仅取 C1电压为输出),仅需调整 C 矩阵:
有了状态空间就能判断系统能不能控,能不能观测。才能设计状态反馈器,配置零极点。才能设计观测器,估计系统状态。才能实现LQR 最优控制和卡尔曼滤波。

【声明】内容源于网络
0
0
中浩控制
广州中浩控制技术有限公司成立于2002年,国家工信部首批重点专精特新“小巨人”企业,“广东省工业物联网工程技术研究中心”依托单位。是从事“智能工厂数字化服务、智慧用能双碳解决方案、智能装备”的研发和产业化的高新技术企业。
内容 0
粉丝 0
中浩控制 广州中浩控制技术有限公司成立于2002年,国家工信部首批重点专精特新“小巨人”企业,“广东省工业物联网工程技术研究中心”依托单位。是从事“智能工厂数字化服务、智慧用能双碳解决方案、智能装备”的研发和产业化的高新技术企业。
总阅读0
粉丝0
内容0