大数跨境

自动控制的经典控制理论阶段1(系统模型)

自动控制的经典控制理论阶段1(系统模型) 中浩控制
2026-03-03
0
导读:经典控制理论(18世纪末—20世纪60年代初),核心是单输入单输出(SISO)线性定常系统,以时域分析、频域分析、根轨迹分析为支柱,解决稳、准、快三大目标。
经典控制理论(18世纪末—20世纪60年代初),核心是单输入单输出(SISO)线性定常系统,以时域分析、频域分析、根轨迹分析为支柱,解决稳、准、快三大目标。

一、经典控制理论阶段

1. 萌芽期(1788—1868):反馈思想诞生

1788年:瓦特(J. Watt)发明离心式飞摆调速器,工程化应用负反馈思想,解决蒸汽机转速稳定问题。
1868年:麦克斯韦(J.C. Maxwell)发表《论调速器》,用微分方程描述系统,提出稳定性与特征根位置的关系,开启理论分析。

2. 奠基期(1875—1930):稳定性理论建立

1875—1895年:劳斯(E.J. Routh)、赫尔维茨(A. Hurwitz)分别提出劳斯判据、赫尔维茨判据,用代数方法判断线性系统稳定性,无需求解微分方程。
1892年:李雅普诺夫(A.M. Lyapunov)提出李雅普诺夫稳定性理论,为非线性时变系统稳定性奠基(后更多用于现代控制)。

3. 频域法成熟期(1932—1945):工程化工具爆发

1932年:奈奎斯特(H. Nyquist)提出奈奎斯特稳定判据,用频率特性判断闭环稳定性,奠定频域分析基础。
1934年:布莱克(H.S. Black)发明负反馈放大器,明确负反馈可抑制干扰、改善性能,成为控制核心思想。
1945年:伯德(H.W. Bode)提出伯德图(Bode Plot),用对数坐标简化频率特性分析与设计,至今仍是工程标配。
1940年代:米诺尔斯基(N. Minorsky)提出PID控制,成为工业控制最广泛应用的校正方法。

4. 理论体系形成期(1948—1954):控制论诞生与成熟

1948年:维纳(N. Wiener)出版《控制论——关于在动物和机器中控制与通讯的科学》,创立控制论学科,统一反馈、信息、系统概念。
1948年:伊万斯(W.R. Evans)创立根轨迹法,直观分析参数变化对闭环极点(稳定性/动态性能)的影响。
1954年:钱学森出版《工程控制论》,系统总结经典控制理论,将其工程化、体系化,标志经典控制理论成熟。

5. 应用鼎盛期(1950—1960初):全面工业化

二战及战后,经典控制广泛用于火炮、雷达、飞机自动驾驶、化工过程等,形成完整的分析—设计—校正工程流程。

二、经典控制理论核心框架

系统模型:微分方程、传递函数、方框图、信号流图。
分析方法:时域法、频域法(奈奎斯特/伯德)、根轨迹法。
研究对象:单输入单输出(SISO)线性定常系统。
控制指标:稳定性、准确性、快速性(稳、准、快)。
局限:难以处理多输入多输出(MIMO)、时变、非线性系统

三、控制系统的系统模型

控制系统模型有用数学公式描述系统的数学模型,即微分方程、传递函数。主要用于对系统的特性如零极点分布、稳定性等进行分析。还有将各元件在系统中的功能及各部分之间的联系用方框和有向支路表示的图形模型,即方框图和信号流图。主要用于对系统结构、信号流向及运算关系进行等分析。

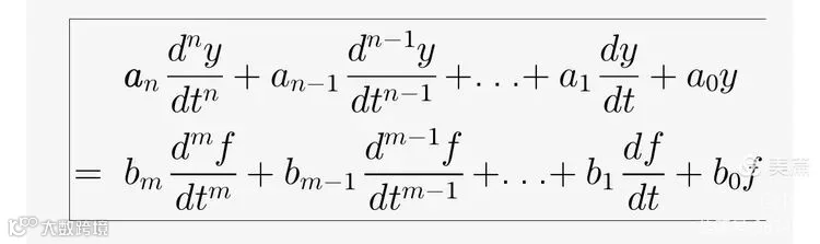
1. 系统微分方程标准形式

利用物理定律建立系统微分方程,消去中间变量,得到只含有输入量和输出量的方程式,可化为如下标准形式。

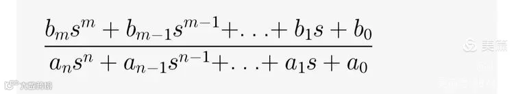
2. 传递函数

在零初始条件下,线性定常系统输出量的拉普拉斯变换与输入量的拉普拉斯变换之比。
数学表达式
系统传递函数的一般形式
G(s)=
只适用于:线性定常系统。
前提:零初始条件(初始位移、初始速度、初始储能全为 0)。
只描述系统外部输入输出关系,不反映内部结构。
由系统本身结构、参数决定,与输入无关。
是经典控制理论最核心的数学模型。

由微分方程求传递函数步骤:

列写系统微分方程。
零初始条件下,方程两边做拉普拉斯变换。
整理成:G(s)= C(s)/R(s)

举例

处理方法
步骤1:记住前提
步骤2:对微分方程两边做拉氏变换
拉氏变换规则(零初始):
步骤3:把 C(s) 提出来
步骤4:写成输出/输入
最终答案

3. 方框图

由具有一定函数关系的环节组成的,并标明信号流向的系统的方框图,称为系统的结构图。系统的结构图实质上是系统原理图与传递函数两者的综合。可以清楚地表示出系统的结构和各部分信号的流向、传递关系。
方框图也称方块图或结构图,具有形象和直观的特点。构成方框图的基本符号有四种类型,即信号线、比较点、传递环节的方框和引出点。

输入信号:进入方框的信号;输出信号:离开方框的信号。

方框图元素
(1)方框:表示输入到输出单向传输间的函数关系。
(2)信号线:带有箭头的直线,箭头表示信号的流向,在直线旁标记信号的时间函数或象函数。
(3)比较点(合成点、综合点):两个或两个以上的输入信号进行加减比较的元件。“+”表示相加,“-”表示相减。“+”号可省略不写。注意:进行相加减的量,必须具有相同的量刚。
(4)分支点(引出点、测量点):表示信号测量或引出的位置。注意:同一位置引出的信号大小和性质完全一样。

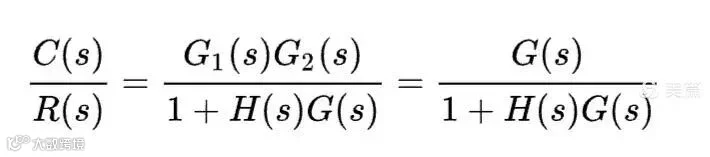
一个完善的控制系统通常包含反馈结构,所以又称闭环控制系统。

反馈控制系统方框图

方框图中可看到:
(1) 输入端到输出端的前向通路传递函数G(s)
(2) 从输出端反送到参考输入端的反馈回路传递函数H(s)
(3)开环传递函数G(s)H(s)
(4)闭环传递函数
假设N(s)=0,定义为输出信号C(s)与输入信号R(s)之比。
文字描述

4. 信号流图

对于复杂的控制系统,使用方框图的简化过程较复杂,且易出错。信号流图便是复杂系统中变量间相互关系的另一种图示方法。这种方法是由美国数学家梅逊(Mason)首先提出的,应用这种方法,不必对信号流图进行简化,而根据统一的公式,就能方便的求出系统的传递函数。

(1)信号流图的基本概念

信号流图是表示一组联立线形代数方程的图。表明了系统中各信号的关系,包含了结构图中所包含的全部信息,与结构图一一对应。
考虑简单等式: 𝑥𝑖=𝑎𝑖𝑗•𝑥𝑗
变量xi和xj可以是时间函数、复变函数,aij是变量xj变换(映射)到变量xi的数学运算,如果xi和xj是复变量s的函数,称aij为传递函数Aij(s),即上式写为
Xi(s)=Aij(s)Xj(s)
变量xi和xj用节点“○”来表示,传递函数用一有向有权的线段(称为支路)来表示,支路上箭头表示信号的流向,信号只能单方向流动。

(2)信号流图的术语

节点:表示变量或信号的点,用“○”表示。
支路:连接两个节点之间的有向有权线段,方向用箭头表示,权值用传输函数表示。
输入支路:指向节点的支路。
输出支路:离开节点的支路。
输入节点(源节点):只有输出支路的节点,也称输入节点,如图中节点X1。
输出节点(汇节点):只有输入支路的节点,如图节点X7。
混合节点:既有输入支路又有输出支路的节点,如图中X2、X3、X4、X5、X6。
通道(路径):沿着支路箭头方向通过各个相连支路的路径,且每个节点至多通过一次。如X1→X2→X3→X4或X2→X3又反馈回→X2。
前向通道:从输入节点(源节点)到汇节点,且每个节点至多通过一次的通道。如X1→X2→X3→X4→X5→X6→X7为一条前向通道,
又如X1→X2→X3→X5→X6→X7也为另一条前向通道。
回环:起点和终点在同一个节点且信号通过任一节点不多于一次的闭合通路。
自回环:单一支路的闭通道,如图中的-H3构成自回环。
通道传输或通道增益:沿着通道的各支路传输的乘积。如从X1到X7前向通道的增益G1G2G3G4G5G6。
不接触回环:如果一些回环没有任何公共的节点,称它们为不接触回环。如-G2→H1 与-G4→H2。

(3)系统的信号流图

对于线性系统,信号流图的绘制应包括以下步骤:
1)将描述系统的微分方程转换为以s为变量的代数方程。
2)按因果关系将代数方程写成如下形式
3)用节点“○”表示n个变量或信号,用支路表示变量与变量之间的关系。通常把输入变量放在图形左端,输出变量放在图形右端。

(4)信号流图 → 传递函数(梅逊公式)

(5)梅逊公式的理解

信号流图本质:用节点、有向支路表示信号传递,支路增益=传递函数
前向通路:输入到输出的所有“直达”路径,每条贡献Pk
回路的影响:反馈回路会产生叠加、抵消、自激,用正Δ统一描述所有回路的组合效应
接触/不接触:与通路Pk接触的回路,会被通路“阻断”,所以要从Δ中剔除(Δk)
叠加原理:总增益=各通路贡献(PkΔk)之和,除以所有回路的总效应Δ
举例:利用梅逊公式求图中所示系统的传递函数 C(s)/R(s)
输入量R(s)与输出量C(s)之间有三条前向通道,对应Pk与Δk为
P1=G1G2G3G4G5 Δ1=1
P2=G1G6G4G5 Δ2=1
P3=G1G2G7G5 Δ3=1
图中有六个回环,其增益为:
L1= -G3H2,
L2 = -G5H1,
L3 = -G2G3G4G5H3,
L4 = -G6G4G5H3,
L5 = -G2G7G5H3,
L6=G5G6G7H2H3
其中L1与L2是互不接触的,其增益之积
系统的特征式Δ为:

Δ=1-(L1+L2+L3+L4+L5+L6)+L1L2

系统的传递函数为

5. 闭环系统的特征方程

系统的闭环传递函数和误差传递函数虽然各不相同,但是它们的分母却是一样的。均为:
这是同一个闭环控制系统各种传递函数都具有的分母多项式,称其为系统的特征多项式。
在这里,令

并将此方程称为系统的闭环特征方程。将其改写为如下形式:

𝑝1、𝑝2、⋅⋅⋅、𝑝𝑛,称为闭环系统的特征方程的根,可以是实数或共轭复数,或称为闭环系统的极点。

结论:

对给定的系统而言,特征多项式是唯一的,即闭环极点的分布是唯一的。
闭环系统的极点与控制系统的瞬态响应和系统的稳定性密切相关。
特征多项式与开环传函相关,因此其动态特性可用开环传函分析。

【声明】内容源于网络
0
0
中浩控制
广州中浩控制技术有限公司成立于2002年,国家工信部首批重点专精特新“小巨人”企业,“广东省工业物联网工程技术研究中心”依托单位。是从事“智能工厂数字化服务、智慧用能双碳解决方案、智能装备”的研发和产业化的高新技术企业。
内容 0
粉丝 0
中浩控制 广州中浩控制技术有限公司成立于2002年,国家工信部首批重点专精特新“小巨人”企业,“广东省工业物联网工程技术研究中心”依托单位。是从事“智能工厂数字化服务、智慧用能双碳解决方案、智能装备”的研发和产业化的高新技术企业。
总阅读0
粉丝0
内容0