
甲烷是仅次于二氧化碳的第二大人为温室气体 。而沼气厂则是大量无组织甲烷排放的来源。现如今,英国运营的沼气厂数量不断增加,为甲烷监测、量化和减少带来了全新的排放类别。甲烷关系到可再生能源生产的可持续性,因此,最大限度地减少沼气厂对大气中甲烷的影响至关重要。
本研究使用两种主要方法来量化排放率:现场量化和下游量化。现场方法可用于识别和量化设施中的单一甲烷源,而下游测量与基于质量平衡方法或大气传输模型的源估计相结合,能够确定沼气厂源的总体排放率。
近年来,更多的废物被转移到沼气厂等替代处理方法中,而被填埋的废物较少。因此,此研究的目的是为了量化英国沼气厂由不同材料供给的甲烷排放率,以突出各种原料类型对沼气厂排放的重要性。同时,本文量化了各种沼气厂的排放率,从而强调英国沼气厂需要更好的监管与监测。
1.采样地点:
2.移动监测
3.(Gaussian plume)高斯烟雨建模的数据处理 |
1. 采样地点:
2018 年至 2020 年期间对英格兰南部的温室气体进行了移动调查,以检查气体的来源。在第一次调查中,我们收集了环境空气样本进行同位素分析,用于计算排放率。此次研究对56家沼气厂进行了调查,但出于多种原因,只能量化其中10家的排放量。根据其风向与风速,在每个站点排放的CH4羽流中测量CH4摩尔数 。
其中四间沼气厂被归类为“废物”,这意味着原料主要包括来自商业和工业过程的食物垃圾以及从市政来源分离的可生物降解废物。而其他六间沼气厂被归类为“农场”。
2. 移动监测:

图1:高斯羽流建模的测量日期和时间间隔、风速和风向、羽流横断面的数量以及到沼气厂址的测量距离
移动监测活动使用 Picarro G2301 CRDS 分析仪及 GPS 接收器。在移动调查期间,车辆沿着靠近目标沼气厂的公共道路行驶,速度通常为每小时 25 – 30 公里。当在给定源的顺风处检测到羽流时,它会被多次横切以供以后的排放率分析。
同时,风速和风向由横断面之间的手持风速计测量,风速和风向等大气条件由当地气象站的数据证实。
3. (Gaussian plume)高斯羽流建模的数据分析:

图2:移动调查 1 小时周期内采样的A沼气发电厂的顺风羽流。

图3:以 ppb 为单位的背景上方过量 CH4 摩尔分数的 ArcGIS 地图,白色箭头显示风向。白框代表排放率计算中使用的数据。绿色图钉表示沼气厂A 的选址。
移动式温室气体调查显示,英格兰南部沼气厂的甲烷排放物的大小、废物饲料输入材料和沼气利用各不相同。高斯烟雨模型基于重复通过羽流来估算 10 个沼气厂的甲烷总排放量。在这项研究中,高斯羽流模型将气体的摩尔分数描述为与点源的顺风距离的函数用于估计排放率以及预测高于环境的平均羽流浓度(公式如下)。
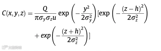
浓度计算公式:

其中 C 是随时间 t 平均的浓度;x 是顺风距离;y 是侧风距离;z 是离地高度;Q为源强度;sigma_y 和 sigma_z 是“分散系数”,分别代表羽流的侧风和垂直混合;u 为垂直和时间平均风速;h 是释放的高度。
为了计算排放率,该方法首先需要确定每个甲烷浓度羽流。为沼气厂 A 采样的单个羽流如图 2 所示。羽流紧密地遵循高斯形状。其次,使用峰值羽流位置和已知源位置计算每个羽流中心到源的距离。除此之外,此研究的未知变量是释放点的高度。因此,计算排放率时需要考虑每个沼气厂场地的释放高度。
峰值(强度)计算公式:


假设A:根据四个参数,放大了10个沼气厂中的总平均排放率和 22 个沼气厂的零排放率,以观察英国可能的排放范

假设B:基于假设B的排放估算。最大和最小排放分别基于沼气厂数量和沼气产量
1. 在 10 个沼气厂中测量甲烷排放量,发现其变化范围在 0.1 到 58.7 kghr-1 之间,相对于计算出的生产率的损失百分比在 0.02% 到 8.1% 之间。
2. 这项研究还表明,沼气厂甲烷排放量可能占英国甲烷排放总量的3.8%。将这些估计损失与温室气体排放计算器的默认值进行比较,测得的排放率可能明显大于清单。
此研究表明,在接下来的十年中,随着更多废物从垃圾填埋场转移,沼气厂的CH4排放量预计会增加。因此,强烈建议对沼气厂排放进行每日监测,以捕捉由于场地活动或气象变化在日、周和季节的基础上的排放和扩散模式,同时运用移动技术方法量化英国一些沼气厂的排放量。从而实现减排。
仪器的运用:
本研究中使用的 Picarro G2301 CRDS(光腔衰荡光谱)分析仪用作:
提供二氧化碳和 CH4 干摩尔分数的 ppm 测量值和水蒸气 (H2O) 的 % 测量值。
仪器中的GPS 接收器,用于连续记录位置。



