现如今,洞穴中的堆积物被越来越多地用于古气候重建,它们能够提供涵盖长时间间隔的精确日期和高度解析的气候记录。迄今为止,绝大多数基于洞穴生物的古气候重建都是基于方解石上的氧同位素测量结果。然而,由于可能会受到相互竞争的气候和非气候因素的影响,例如降雨的季节性变化、不同的洞穴气温和蒸发。因此,流体包裹体的氢和氧同位素,可用于计算古温度或揭示水分来源的变化。
使用波长扫描腔衰荡光谱 (WS-CRDS) 仪器分析洞穴石油包裹体的水同位素的新在线方法。这种新技术使我们能够同时测量释放的等分水的氢和氧同位素。为此,我们设计了一条新的简单生产线,允许对洞穴铁矿样品进行在线水提取和同位素分析。该方法的特殊性在于流体包裹体的释放是在标准水背景下进行的,从而提高了其稳健性。
分析过程与方法:
1.线路设计

图1:洞穴堆积物流体包裹体水提取线图。
图1 中新生产线基本上由三个单元组成:
(i) 用于提高仪器性能的水背景发生器;
(ii) 一个注射器注射装置,允许单次注射小等份的标准水;
(iii) 一个简单的自制破碎装置;
1. 整条管线都使用氮气冲洗,以将水样从破碎装置转移到 Picarro L1102-i 分析仪。向管线输送氮气由 Analyt-MTC 压力调节器控制,该调节器设置为将恒定压力调节为 1.015 巴(超过大气压)。
2. 整条生产线由两个加热源均匀加热至 140 C,以蒸发大量的水,从而避免冷凝和水在死体积中积聚。与室温下的管线相比,加热管线最大限度地减少了其壁上的水吸附。如图 1 所示,包括水泵入口、混合腔和吹扫装置在内的汽化单元使用数控加热带加热至 140 C,该加热带可随时间精确控制温度。
2.样品制备

图2:在用线锯切割之前对样品进行调节。生长层清晰可见

图3:单个流体包裹体的放大
首先,提取宽度为25mm、高度为5mm且沿石笋生长轴截取的长度可变的方解石的平行六面体(优选顶点在中间)。然后将这块方解石切成碎片,并用胶水固定在玻璃薄片的两侧,以避免在切割过程中样品崩解(图 2)
此外,还准备了 200 μm 的薄片来评估流体包裹体的分布和体积。这种制备方法的优点是,一旦获得了丰富的流体包裹体,就可以调整样品的厚度。切割样品后,将它们放在丙酮浴中几个小时,以去除可能残留在样品上的残留胶水。然后将 0.1 至 1 g 的样品放入直径为 3/800 英寸的 16 厘米长的高纯铜管中,该铜管已准备好并用丙酮清洁并用干燥空气冲洗以去除任何残留灰尘。
3. 解吸试验:

图4

图5
图4:解吸测试:大峰对应于加载样品时管线打开期间的环境水汽迁移。关闭后,样品在不加热的情况下用干燥的氮气流冲洗。在达到干燥背景水平后,系统被加热到 140°C 以从方解石中解吸水。
图5:加载样品后水蒸气量及其同位素组成的解吸和稳定示例。在此分辨率下,几乎看不到从样品表面或流体夹杂物裂纹中的解吸
影响因素:
在系统保持在加湿条件下,线壁不断地受到水分子的调节,与壁上吸附的水发生同位素交换的可能性相当低,因为在我们的条件下平均自由程长度很小。因此,稳定背景条件大约需要50分钟。对于堆积物的样品测量,进行了 90 分钟以确保没有大气水蒸气的污染,从而影响测量结果。
尽管空管、负载管和压管条件之间的稳定性条件略有不同,但这些不同的状态可能只会轻微影响水背景水平。
4.激光光谱仪校准
WS-CRDS 系统的使用对于此类应用来说是新的,Picarro L1102-i 分析仪的校准和精度已经过仔细确定。我们展示了与使用我们的在线系统(预处理/破碎机/激光仪器的耦合)优化连续测量相关的测试。图6 给出了用于校准的标准水的同位素组成。

图6
校准过程:
1. 测量水蒸气的同位素校准):根据 VSMOW 标度对仪器进行同位素校准。它们的同位素值在我们研究所通过质谱仪精确测量,18O 的范围为 0‰ 至 27‰,而D 的范围为 0‰ 至 220‰。
2.(优化稳定水):将标准水与已知同位素组成连续混合,以产生接近分析仪最佳操作域(17000 至 23000ppmv)的人工水背景。这意味着,设备表面都充满了标准水分子,从而避免了在干燥条件的挥发性问题。
3.(系统稳定所需的时间):用负载铜管替换空铜管后的稳定时间可以通过监测同位素值和水蒸气混合比来评估。
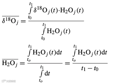
5. 同位素值的计算:
当样品在粉碎过程中时,不同同位素组成的标准水和样品水会在管线中混合。为了测量样品的同位素组成,需计算峰上水量与其同位素值的乘积。基于水混合含量会影响峰积分的标准。峰值拐点被明确定义为释放(或注入)水导致的水蒸气混合比将会快速增加。当分馏发生在峰值拐点且达到峰值混合比之后,数值将会随着时间下降。
水混合量计算方程:

Delta 中的同位素值计算方程:

当j 是混合物、背景或样品时。计算水样品s 的同位素值计算方程:

结论与展望:
这种用于测量从洞穴中提取的流体包裹体水的氢氧同位素比的新系统。测量原理基于波长扫描腔衰荡光谱技术,可同时监测氢和氧同位素。与我们的研究相关的 WS-CRDS 技术的主要优点是 :
1. 仪器仅专用于水同位素测量 ;
2.分析的操作成本低;
3.通过在同位素测定之前避免任何水处理,简化了洞穴流体包裹体测量程序,此外,该生产线避免了使用冷冻聚焦池的冷冻处理步骤;
4.允许通过用液压机压碎样品来提取和分析从洞穴石油包裹体中释放出的水的同位素组成;
5.可以通过放置两个来增加样品通量或多个铜管并联以优化稳定性, speleothem 破碎之间的时间,或者测量方案也可以缩短,从而显着增加时间并允许每天破碎两个以上的样品。
仪器的运用:
本研究中使用的 Picarro L1102-i(Picarro Inc., Sunnyvale, CA, USA)分析仪用作:
• 氮气/标准水同位素的测定
• 通过光谱图显示 Picarro 仪器 对洞穴样品 18O、D 与 H2O 的测量及响应
Affolter, S., Fleitmann, D., and Leuenberger, M.: New online method for water isotope analysis of speleothem fluid inclusions using laser absorption spectroscopy (WS-CRDS), Clim. Past, 10, 1291–1304, https://doi.org/10.5194/cp-10-1291-2014, 2014.


