

高光谱成像技术在树种识别领域的应用日益广泛,它通过捕捉树木在多个窄波段上的光谱信息,实现对树种的精确分类和识别,在森林资源管理、城市绿化规划和生态环境保护等方面具有重要意义,为相关工作提供了关键技术支撑。
下面是高光谱成像技术在树种识别的应用场景。
1. 森林资源调查与监测
树种分类与分布:高光谱数据可以用于识别和分类森林中的不同树种,生成树种分布图,为森林资源管理提供基础数据。
在巴西大西洋森林的研究中,研究者利用无人机高光谱数据,对8种上层树冠树种进行分类,通过主成分分析(PCA)处理所有特征后,分类总体精度达到76%,为该退化森林的物种分布监测提供了有效数据支撑。
各种树的平均光谱
森林健康评估:通过分析树木的光谱特征,可以评估树木的生长状况和健康程度,及时发现病虫害和环境胁迫,为森林保护提供预警信息。
中国地质调查局在湖北宜城的研究中,采用无人机高光谱数据(400~1000nm,270个光谱波段),结合归一化植被指数(NDVI)、类胡萝卜素反射指数(CRI)和水波段指数(WBI),构建“宽带绿度指数-叶绿素指数-冠层含水量/光合能力指数”的综合评估体系,实现了森林树木健康状况的定性与定量评估,结果与实地观测及假彩色合成图像特征高度一致。
(a) 真彩色影像与树种识别分类;(b) 假彩色影像与健康评估
生物多样性研究:高光谱数据可以用于研究森林生态系统的生物多样性,了解不同树种的生态功能和相互关系,为生态保护提供科学依据。
林木生长参数反演:利用高光谱数据可以反演林木的叶面积指数、生物量等生长参数,为林木生长模型的建立和优化提供数据支持。
在东北针阔混交林研究中,研究者通过高光谱数据提取植被指数,结合激光雷达获取的树高、冠幅等结构参数,实现了林木叶面积指数和生物量的精准反演,为该区域精准林业中林木生长模型优化提供了关键数据。值得注意的是,在这项研究中,高光谱成像仪和激光雷达分别挂载在不同的无人机上。
树种专题图
2. 城市绿化规划与管理:
城市树种识别与分布:高光谱图像可以用于识别城市中的树种,了解城市绿化的树种构成和分布情况,为城市绿化规划提供参考。
城市树木健康监测:通过分析城市树木的光谱特征,可以评估城市树木的生长状况和健康程度,及时发现病虫害和环境胁迫,为城市树木的养护管理提供指导。
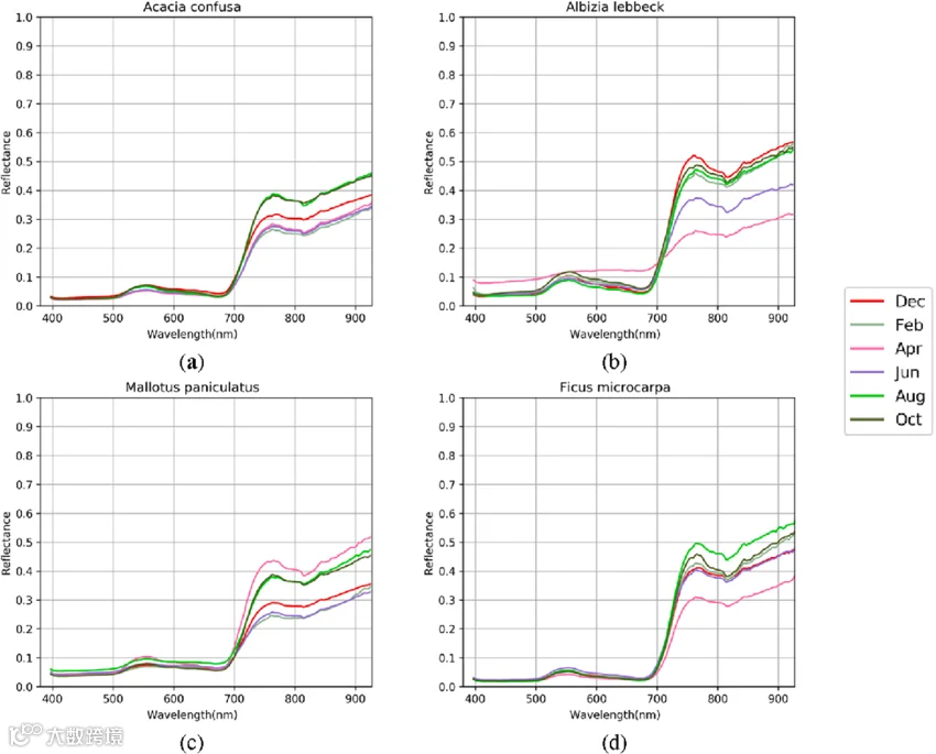
香港理工大学一团队利用高光谱图像对城市树种进行了识别分类,2018年11月至2019年10月期间,在不同季节对19个树种的75棵城市树木进行了图像采集,深度神经网络方法在物种识别中达到了85%~96%的准确率。不同物种对健康状况表现出不同的光谱响应。
各轮实地数据采集中的不同树种平均冠层光谱特征,树种分别为:(a) 相思树(样本量N=6);(b) 大叶合欢(N=3);(c) 白楸(N=5);(d) 榕树(N=3)
高光谱成像技术为树种识别提供了高效、精确的技术方案,它可以减少人工调查的工作量、获取精细信息、为森林资源管理、城市绿化规划和生态环境保护提供科学依据和决策支持,应用前景广阔。
作为高光谱的供应商,爱博能提供全面的产品线,包括全波段的高光谱相机、无人机载高光谱成像系统、便携式、高光谱实验室和显微高光谱。欢迎垂询!
案例来源:
1. Zhong, H., Lin, W., Liu, H., Ma, N., Liu, K., Cao, R., Wang, T., & Ren, Z. (2022). Identification of tree species based on the fusion of UAV hyperspectral image and LiDAR data in a coniferous and broad-leaved mixed forest in Northeast China. Frontiers in Plant Science, 13, 964769.
2. Martins-Neto, R. P., Tommaselli, A., Imai, N., Honkavaara, E., Miltiadou, M., Moriya, E., & David, H. (2023). Tree species classification in a complex Brazilian tropical forest using hyperspectral and LiDAR data. Forests, 14(5), 945.
3. Zeng, G., Xu, J., Zhang, W., & Wang, B. (2023). Tree species identification and health assessment of forest sample plots based on UAV hyperspectral remote sensing technology. Journal of Physics: Conference Series, 2621(1), 012001.
4. Abbas, S., Peng, Q., Wong, M. S., Li, Z., Wang, J., Ng, K. T. K., Kwok, C. Y. T., & Hui, K. K. W. (2021). Characterizing and classifying urban tree species using bi-monthly terrestrial hyperspectral images in Hong Kong. ISPRS Journal of Photogrammetry and Remote Sensing, 177, 204–216.

