
1. 前言
当今乘用车大多数悬架系统的弹性元件都采用螺旋弹簧。它具备结构简单、制造容易、成本低廉、可靠耐用等优点。
虽然在通用机械上的螺旋弹簧计算已相当成熟,但是,车辆用的螺旋弹簧因其恶劣的使用环境和路面随机的动载荷,使它在设计方法上和制造工艺上都有别于其他机械上的螺旋弹簧。

螺旋弹簧可分为线性弹簧(刚度ks为常数)和非线性弹簧(刚度ks为变量)两种。非线性弹簧可通过采用锥簧、变螺距、锥形变截面钢丝等手段来实现,卷制前钢丝的形状见图1。
图1
C型弹簧钢丝单端逐渐变粗(也有两端的)采取复杂的墩粗工艺来实现,其制造成本猛增,例如Audi 100轿车前悬架弹簧便是如此。其目的在于提高端圈的刚度,避免端圈与邻圈接触后(在A点)增加额外的接触应力,引起应力集中,从而降低弹簧的疲劳寿命,见图2。

图2
端圈墩粗长度应大于πD0
D0 弹簧中径 mm
用锥形钢丝绕制的变刚度弹簧其紧凑性好,弹簧圈内可装减震器、缓冲块和烛式悬架导向柱。
弹簧端部型式是个重要因素,汽车行驶时,弹簧端部相对支承产生转动,常会产生不愉快的噪音。弹簧托盘的适当形状,可保证切成直角的弹簧端头相对支承不动,C类弹簧总成本最低,弹簧端并紧并磨削成平面是比较昂贵的结构型式(A型),以A型为基准,定义它为100%,对其它结构型式进行成本
比较,见图3,4。 A型弹簧具有制造简单的优点;弹簧端面向内卷曲的结构(例如D),它安装简单,价格便宜,外廓长度较小,但其缺点是不能将减震器或缓冲块装在弹簧内部,F结构型式是个折衷方案。

图3
图4
2. 已知参数
1) 弹簧刚度 Ks N/mm
2) 空载时,弹簧作用负荷 Go N
3) 满载时,弹簧作用负荷 Gm N
4) 弹簧可能的中径 Do mm
5) 满载时,车轮上跳动行程反应到弹簧上的挠度 fr mm
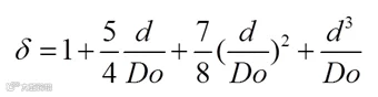
3.在弹簧绕制过程中,钢丝将产生变形,内侧产生压缩(见图5 A区),由此产生最高的扭转应力τ,其大小取决于旋绕比值ξ=Do/d

图5
4. 设计弹簧时,往往将τ视为许用应力上限值的函数。Do越小则旋绕比越小δ值越大。因此,弹簧能承受的应力将降低,材料的利用性变坏,承载后,弹簧的稳定性变坏。因此,在允许的条件下,弹簧中径Do应尽可能地取值大一些是合理的。

见图6

图6
5. 计算参数符号
k 车轮处的悬架刚度,N/mm
ks 弹簧刚度 N/mm
d 弹簧钢丝直径 mm
Do 弹簧中径 mm
f1 车轮压缩行程 mm
f1s 弹簧压缩行程 mm
f2 车轮拉伸行程 mm
f2s 弹簧复原行程 mm
G 剪切弹性模数(G=8×104MPa)
ix 车轮与弹簧之间的行程传动比
iy 车轮与弹簧之间的力传动比
6. 计算顺序
首先确定钢丝的公差,以便用最小的直径dmin进行计算。因为直径在很窄的公差带内变动,就会导致弹簧刚度显著改变。例如直径为20mm的钢丝,若采用±0.2mm的公差(即±1%)时,刚度变化可达±4%。公差制定过严将导致成本上升,根据经验数据推荐公差如下:
允许偏差:d<10mm ±0.05
10 ~20 ±0.08
20 ~28 ±0.10
>28 ±0.15
1) 根据弹簧中径D0计算ξ=Do/d 和系数δ :
先初步设定d值,求出ξ后根据图6查得系数δ。
2)查出弹簧所用材料的屈服极限σs 和抗拉强度σb MPa
取弹簧钢的扭转屈服极限约为τ=0.63 σs ,为了能在充分 利用材料能力的条件下制造出轻量结构,应该选取强度贮备系数υ=1.05-1.10,则许用扭转应力为:
τ=0.63 σs b0/υ
根据钢丝直径d,许用应力上限值的降低曲线(图7)查出系数b0值.

则:
汽车悬架弹簧一般采用60Si2MnA弹簧钢丝冷卷而成,
其抗拉强度 σb=1600-1850 MPa
屈服极限 σs=1450 MPa
取υ=1.1 按d=11.5mm,查图7得b0=0.98
则τ=0.63 σs b0/υ=0.63×1450×0.98/1.1=812MPa
当曲率影响的系数δ=1.1时,理想的弹簧扭转剪切应力τi
τi=τ/δ=812/1.1=740 MPa
许用应力幅是最大极限强度的函数,并在υ=1.1b1=0.99以及δ=1.1的条件下计算其值:
τiA=0.24σbminb1/(υδ)=0.24×1600×0.99(1.1×1.1)
= 314 MPa
3)计算作用于弹簧上的力Fs、弹簧压缩行程f1s、弹簧复原行程f2s和弹簧刚度ks
— Fs=Gw×iy
Gw 单轮上的质量(抛去非悬架质量) N
iy车轮与弹簧之间的力传动比
— f1s=f1/ iX f1车轮压缩行程
f2s=f2/ iX f2 车轮拉伸行程
ks=k×iX×iy k车轮处的悬架刚度
— 作用于弹簧上的最大力
Fsmax=Fs+F1=Fs+ks×f1/iX
弹簧在压缩行程时受力值
F1=ksf1s=ks×f1/iX
— 弹簧在全行程内的平均承受力Fa
Fa= 0.9ks(f1s+ f2s)/2
4) 根据以上计算而得的力 Fsmax、 Fa及刚度ks,然后根据这些值计算比值y1及y2:
y1=Fsmax/τi
y2=Fa/τiA
5) 用y值中较大的一个来计算
最小钢丝直径dmin
将求得的钢丝直径dmin与初步确定的钢丝直径dmin进行比较,如果理想的剪切应力比较小时,则要求重复计算。用开始算得的理想应力与重新算得的理想应力相比的方法,可以很容易地将上面所得到的较大(或小)的钢丝直径进行修正。

图8

确定钢丝平均直径时,应考虑尺寸允许偏差,作下一步计算将用到平均直径。当钢丝直径小于20mm时,允许偏差为±0.08mm 即:d ±0.08mm
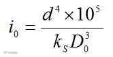
6) 计算弹簧工作圈数i0
根据旋绕比ξ=Do/d 、Do、d(单位为cm)、fs可求得弹簧工作圈数i0

将工作圈数i0精确到小数点1位即可,同时在弹簧两端各加上3/4圈,就可得到弹簧总圈数ig
ig= i0+1.5
7) 求对汽车姿态有影响的有关参数:
— 预加载荷Fw下的弹簧长度 Lw。 Lw下限值取决于最小 工作高度Ln ,即略大于弹簧并圈长度LB。确定Ln时,应利用钢丝最大直径dmax=d+0.08(上偏差)。此时需要验算缓冲块是否完全被压缩至2H/3(H为缓冲块自由高度);弹簧压缩后的高度不应小于Ln 。
弹簧并圈长度LB= ig×dmax
Ln= LB+Sa Sa 是螺旋间的最小间隙
Sa=χdmax i0
χ 可根据旋绕比ξ=Do/d 由图9中查得。

图9
8) 弹簧稳定系数λ:即载荷下的弹簧纵向弯曲度。
λ=L0/D0
稳定系数λ与弹簧相对变形的关系见图10。在曲线A区域是不稳定区,在给定的相对变形(L0-LB)/L0条件下,
λ超过允许值时,弹簧将丧失稳定性。

图10
如果按λ值计算出相对变形(L0-LB)/L0的值与图10所查得的值不同且落入A区,就必需增大弹簧中径Do,否则弹簧将发生纵向弯曲,处于不稳定状态。
9)再一次验算以下弹簧参数:
a)弹簧刚度 N/mm
b)最大应力 N/m㎡
c) 应力幅 mm
应主意:弹簧刚度的改变导致力Fsmax 或 Fa 的增加或减少,因而将影响应力值。
10)弹簧图纸上需标明的参数:
a)载荷Fw下的弹簧长度 Lw(安装高度)。
安装高度的检查,是在规定的高度条件下,用计量簧载的办法实现。因而,必须对检验载荷给出偏差,通常将预加载荷Fw作为检验载荷。对于大量生产的弹簧,预加力Fw的允差Tp 约为 5% Fw。可计算如下:
Tp=±{0.5[1.5mm+0.03(L0-LB)]ks+0.01Fw}
将数字圆整后在图纸上标注为:当载荷为Fw± Tp时,弹簧高度为Lw
11)弹簧的热处理硬度:通常使用60Si2MnA 制造弹簧。经热处理后的硬度为HRc42-48
12)提高弹簧使用寿命的有效措施:
汽车悬架螺旋弹簧使用寿命较其它大多数零部件要低,这是由于以下因素的影响造成的。
因制造过程产生表面遗留的裂痕、摺迭、凹痕、发裂、脱碳等缺陷造成应力集中,使材料的耐疲劳极限急剧降低引起先期损坏。
研究人员通过喷丸处理和塑性压缩等方法,使弹簧表面达到强化目的,较大幅度地提高弹簧的使用寿命。
a)喷丸处理:过去老式喷丸使用的是0.4-2mm的铁丸,喷丸速度达到60-80米/秒。近代都采用喷钢丸,这些钢丸用φ0.8mm弹簧钢丝,在自动机上切成0.8mm的圆柱体,掺入旧钢丸中,经抛丸机以12米/秒的速度打击弹簧表面,形成硬化效果。圆柱形钢丸经多次击打后就变成球形了。
喷丸处理的冷作强化:工作时,弹簧表面受拉应力之作用而损坏,经喷丸处理后的弹簧表面产生一层具有残余压应力的薄壳,钢在压缩状态下的耐疲劳极限,要比拉伸状态下的耐疲劳极限高出两倍多。
由于喷丸压应力的存在,可以抵消弹簧表面的部分工作拉应力,同时抹去了弹簧表面的制造缺陷,消除了应力集中,从而大大提高了疲劳寿命。
b)塑性压缩强化:强化性质基本与喷丸处理相似。弹簧经热处理及喷丸后,进行压缩弹簧令它的工作应力接近疲劳极限,造成弹簧表面产生残余压应力以达到提高疲劳寿命的目的。这种工艺过程,有些制造商称为“弹簧立定试验”,也有人称为“沉压试验”。
本文只供交流使用,如有任何疑问,请后台联系。


