大数跨境

九转黄精丸能够缓解脂肪肝

九转黄精丸能够缓解脂肪肝 黄精联盟
2023-09-25
2
导读:九转黄精丸是一种中药制剂,源自《清内廷法制丸散膏丹各药配本》,由黄精和当归制成,具有补益气血、养心安神、健脾开胃、润肺止咳、抗衰老、提高免疫力等功效。主要作用于由气血两亏引起的面黄肌瘦,腰腿无力,津液

近年来,随着大众生活方式和饮食结构的改变,如久坐不动、高脂饮食,糖尿病、肥胖等代谢功能障碍人群增多,脂肪肝患者也逐年增多。最近,全球22个国家30位国际脂肪肝领域的专家发布了一份关于代谢功能障碍相关脂肪性肝病(MAFLD)的国际专家共识声明,当患者存在肝脂肪变性并伴有以下三种代谢状况中的任何一种时,即超重或肥胖、糖尿病或代谢失调,则被诊断为患有MAFLD

九转黄精丸(JHP)是一种中药制剂,源自《清内廷法制丸散膏丹各药配本》,由黄精(PR)和当归(ASR)制成,具有补益气血、养心安神、健脾开胃、润肺止咳、抗衰老、提高免疫力等功效。主要作用于由气血两亏引起的面黄肌瘦,腰腿无力,津液不足,饮食减少,精神倦怠,心悸气短,自汗盗汗。有研究发现,线粒体功能障碍会导致MAFLDJHP可以治疗线粒体功能障碍,从而治疗MAFLD。然而,JHPPRASR单味药物在抗MAFLD方面的功效尚未进行比较,其作用机制也不清楚。对此,云南中医药大学中药学院和云南省可持续利用重点实验室通过体内外药理实验进行了研究。论文“Compatibility of Polygonati Rhizoma and Angelicae Sinensis Radix enhance the alleviation of metabolic dysfunction-associated fatty liver disease by promoting fatty acid β-oxidation.”发表在二区期刊Biomedicine & PharmacotherapyIF=7.5)上。

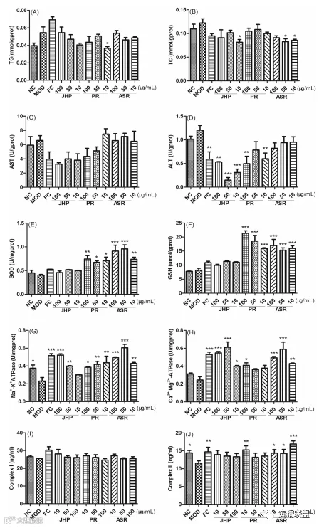
体外实验时,先用脂肪乳剂诱导脂肪变性,再加入JHPPRASR提取物刺激L02细胞,然后用油红O进行脂肪染色,用透射电镜观察提取物对脂肪堆积的影响,并用商业试剂盒测定 TG甘油三酯TC(总胆固醇)AST(天冬氨酸转氨酶)ALT(丙氨酸转氨酶)SOD(超氧化物歧化酶)GSH(谷胱甘肽)ATPaseATP酶)complex I (复合物Icomplex II(复合物II的含量。该研究发现JHPPRASR可以逆转脂肪乳剂诱导细胞脂质积累的现象(图1),并且可以有效抑制脂肪变性(图2)。
体内实验将120只健康Spraque-Dawley (SD)雄性大鼠随机等量分为12组,每天对除NC组以外的大鼠进行高脂饲料喂养,持续12周,将大鼠麻醉后取材,获得血清和肝脏组织。再用商业试剂盒、qRT-PCR法和高效液相色谱法,测定血清的生化参数,并检测肝线粒体。
JHPPRASR提取物对血清参数的影响实验中,JHP组对比其他组,TGALTAST水平显著降低,HDL-C(高密度脂蛋白胆固醇)水平显著升高,表明JHPPRASR提取物可以抑制高脂饮食诱导的高脂血症和肝损伤,且JHP的作用强于PRASR(图3)。
JHPPRASR提取物对MAFLD大鼠肝脏脂质代谢的影响实验中,JHP组对比其他组,TGTCLDL-C(低密度脂蛋白胆固醇)水平均显著降低,HDL-C水平上调,表明JHPPRASR提取物对肝脏脂质紊乱具有抑制作用,且JHP的作用强于PRASR(图4)。
JHPPRASR提取物对线粒体氧化应激和能量代谢的影响实验中,用JHPPRASR提取物和RES(白藜芦醇)处理细胞后,线粒体的超微结构外观显著改善(图5)。JHPGSH(谷胱甘肽)Na+-K+-ATPaseCa2+-Mg2+-ATPase和复合物I活性显著升高;PRSOD(超氧化物歧化酶)GSHNa+-K+-ATPaseCa2+-Mg2+-ATPase、复合物I和复合物II活性均显著升高;ASRSODNa+- K+- ATPaseCa2+- Mg2 +- ATPase和复合物I活性均显著升高(图6)。这表明JHPPRASR提取物还可以调节线粒体氧化应激和能量代谢,改善MAFLD,且JHPPRASR之间的效果无显著差异。
JHPPRASR提取物对脂肪酸β-氧化的影响实验中,JHP组可以缓解ACADLCPT1- A mRNA表达显著降低和CPT-1BPpargcl -αPPARα表达水平呈下降趋势、UCP-2 mRNA表达水平呈上升趋势的情况。PRASR提取物对脂肪酸β-氧化相关指标却无显著影响。这表明JHP提取物通过改善脂肪酸β-氧化来增强抗MAFLD的能力(图7)。
肝线粒体中JHP-PR-ASR-衍生成分的体外抗脂肪变性作用实验中,JHP组、PR组、ASR组都逆转了细胞脂质积累的过程,且JHP组对比其他组,TGTCALTAST水平显著降低,SODGSHCa2+-Mg2+-ATPaseACADLCPT1-ACPT1-BPpargc1 -αPPARα mRNA表达显著升高,Na+-K+-ATP酶,复合体I和复合体II呈上升趋势。这表明肝脏线粒体提取物中的JHP-PR-ASR-衍生成分可以调节氧化应激、能量代谢和β-氧化基因的表达,并减轻细胞脂肪变性,且JHP-衍生组分的作用强于PR-ASR-衍生组分(图8)。
1.JHPPRASR提取物对L02细胞脂质积累的影响。NC,正常组;MOD,高脂饮食;FC,非诺贝特胶囊;JHP,九转黄精丸;PR,黄精;ASR,当归。
2.JHPPRASR提取物对L02细胞生化指标的影响。数据来自三种独立的分析方法,并以平均值±S.D表示。TG,甘油三酯 ;TC,总胆固醇;AST,天冬氨酸转氨酶;ALT,丙氨酸转氨酶;SOD,超氧化物歧化酶;GSH,谷胱甘肽;ATPaseATP酶;complex I,复合物Icomplex II,复合物IINC,正常对照;MOD,高脂饮食;FC,非诺贝特胶囊;JHP,九转黄精丸;PR,黄精;ASR,当归。
3.JHPPRASR对血清生化参数的影响。数值以六组动物的平均值±S.D表示。HDL-C,高密度脂蛋白胆固醇;LDL-C,低密度脂蛋白胆固醇;NC,正常对照;MOD,高脂饮食;RES,白藜芦醇;LJHP,低JHP治疗组;MJHP,中JHP治疗组;HJHP,高JHP治疗组;LPR,低PR治疗组;MPR,中PR治疗组;HPR,高JHP治疗组;LASR,低ASR治疗组;MASR,中ASR治疗组;HASR,高ASR治疗组。

4.JHPPRASR对肝脏脂质含量的影响。数值表示方法同上。
5.JHPPRASR对线粒体超微结构的影响。用透射电镜观察线粒体(A)(原始放大倍数×15000;标尺 = 1µm)。
6.JHPPRASR对线粒体氧化应激和能量代谢的影响。数据表示方法同上。
7.JHPPRASR对脂肪酸β-氧化的影响。数据表示方法同上。ACADL,长链酰基辅酶A脱氢酶;CPT-1A,肉碱棕榈酰基转移酶1ACPT-1B,肉碱棕榈酰基转移酶1BPpargc1-α,过氧化物酶体增殖体激活受体-伽马共激活物-1αPPARα,过氧化物增殖物激活受体αUCP- 2,解偶联蛋白2
8.肝线粒体中JHP-PR-ASR衍生组分对L02细胞生化指标的影响。数据表示方法同上。MEM,模型组的线粒体提取物。
转载请在开头注明:本文转载自公众号——黄精联盟
云南中医药大学中药学院和云南省可持续利用重点实验室的王涛、李艳芹为第一作者,俞捷和杨兴鑫为通讯作者。
原文链接:
DOIhttp://dx.doi.org/10.1016/J.BIOPHA.2023.114584
扫二维码关注“黄精联盟”公众号
支持单位:
浙江农林大学森山大健康研究院
浙江农林大学新化黄精研究院
新化县颐朴源黄精科技有限公司
浙江农林大学磐安共富学院
编辑:周茜
审核:刘京晶
终审:邹辉

【声明】内容源于网络
0
0
黄精联盟
林业和草原黄精产业创新联盟主办,发布黄精行业动态、前沿科技成果、黄精企业及产品介绍。
内容 72
粉丝 0
黄精联盟 林业和草原黄精产业创新联盟主办,发布黄精行业动态、前沿科技成果、黄精企业及产品介绍。
总阅读11
粉丝0
内容72