
首先,我们来聊个令人开心到飞起的话题:

心心念念的端午小长假,明天就要到来啦~~~~~~~~
恭喜大家喜提三天K歌到天明,睡到自然醒,吃喝拉撒睡,粽子空调被的日子○( ^皿^)っHiahia…

好了,接下来,男士请止步,我要和女性捧油们聊点羞羞的话题了。

那就是:尿。
尿,在不同人眼中,都意味着什么?
在5岁孩子的眼中,尿可以和稀泥,还可以是布鲁塞尔的救世主👇

在古罗马医师的眼中,尿液漱口可以用来治疗蚜虫👇

在荒野生存大师贝尔的眼中,尿是续命的法宝👇

对于正在看文章的上班族来说,尿是每天早晨叫醒我们的起床神器👇

但是对于正在饱受尿路感染的女性朋友来说,尿就是一种渡劫。

我们今天要说的,就是尿路感染和夏天之间不得不说的故事。
俗话说,身体是革命的本钱。只有身体健康,才能在假期睡到自然醒,然后出门尽情浪。
但是对于患有泌尿感染的人来说,她们根本不可能有自然醒的时候,因为尿频,原本应该趁着假期好好补个觉,晚上却要上7、8趟厕所。
因为尿急,她们假期不敢去各大景区,因为那感觉说来就来,稍一拖延就会湿一裤裆。在假期的景区,女厕门口永远都是长长的队伍,对尿急患者非常不友好。

因为尿痛,所以原本应该是酣畅淋漓的过程,却变得像上刑一样煎熬。
而尿急、尿痛与尿频,便是尿路感染的三大症状。
诸事不顺,连尿尿都不顺了,sad。

夏天,堪称是女性尿路感染的「春天」。
不要以为尿频离你很远。
据世界卫生组织的调查报告显示,对于成年女性而言,最常见的疾病不是感冒,而是尿路感染。女性的发病率是男性的9倍以上。大多数女性在其一生中会患过一次尿路感染,部分女性可出现反复发病。
尤其是在这炎热的夏季,女性因为特殊的生理构造、较短的尿道,以及夏季容易出汗的缘故,所以为致病菌提供了得天独厚的滋生环境,它们得以大量繁殖,兴风作浪,感染你的尿道,让你「尿事」不顺。

看到这里的女性朋友,是不是有点担心,炎热的夏季已经到了,万一自己感染了这让人不那么畅快的疾病怎么办?
接下来,已经确诊患有尿路感染的宝宝,请立即就医。想要防患于未然或者避免反复发作的,请继续。
对于疾病来说,预防,永远大于治疗。
那么怎么能让人舒心办了这「尿事」呢?
答案很简单,还很……好吃:那就是食用蔓越莓。

蔓越莓是北美广泛食用的一种浆果,含有丰富的多酚类物质,包括原花青素、花青素杨梅素、槲皮素等。目前研究表明,蔓越莓具有显著的保健作用 [1,4]。
蔓越莓最著名的功能是被认为可以用以治疗妇科疾病,实际上并不正确。
目前研究证明蔓越莓的确对于泌尿道感染有预防作用。

泌尿道感染是女性最常见的细菌感染之一,约占所有感染的25%,约50%-60%的女性在一生中会经历泌尿道感染。
泌尿道感染可能影响泌尿道的不同部分,如肾脏、膀胱和尿道,临床表现为排尿时有灼烧感、小便频繁、尿量小,女性患者可能伴有盆腔疼痛。若感染程度严重,可能会有发烧、恶心和呕吐等症状 [8]。
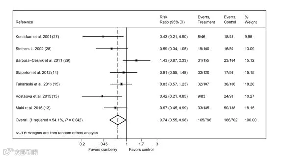
荟萃分析研究表明,接受蔓越莓治疗的健康女性的泌尿道感染复发风险比未接受蔓越莓治疗的健康女性低26%(图1)。因此蔓越莓可以作为一种有效的非药物方法来预防一般健康女性泌尿道感染复发 [2]。

图1:蔓越莓预防尿路感染的作用
研究表明,蔓越莓对血糖管理有积极影响。
在一项随机交叉餐后研究中,证明了低热量的蔓越莓干可以改善2型糖尿病人的餐后高血糖现象 [1]。
美国一项针对健康成年人的双盲对照实验的结果表明,连续8周分别饮用蔓越莓汁与安慰剂后,蔓越莓汁组受试者的空腹血糖浓度显著低于安慰剂组,同时,饮用蔓越莓汁的受试者的胰岛素阻抗性下降幅度更大(图2)[4]。

图2:饮用蔓越莓汁或安慰剂前后的胰岛素阻抗性变化
其作用机制可能是蔓越莓中主要的多酚物质——原花青素抑制了碳水化合物代谢酶、改善了细胞葡萄糖的摄取与代谢 [6]。
同时,浆果提取物被认为可以抑制肠道中的葡萄糖转运蛋白,从而降低葡萄糖的吸收 [7]。
健康成年人连续8周分别饮用蔓越莓汁与安慰剂后,蔓越莓汁组受试者的血清三酸甘油酯浓度下降幅度显著大于安慰剂组(图3)。

图3:饮用蔓越莓或安慰剂前后的血清三酸甘油酯浓度变化
这一作用的可能机制是蔓越莓中的多酚物质抑制了微粒体三酸甘油酯转移蛋白,进而降低了脂蛋白的合成,改善血脂管理 [4]。
最新的荟萃分析表明蔓越莓具有降低收缩压的作用,而对于舒张压的降低效果并未达到显著性(图4)。

图4:蔓越莓与收缩压、舒张压的关系
但是通过蔓越莓干预收缩压的效果是有限的,在临床运用中,蔓越莓并不能有效代替传统降压药 [5]。
蔓越莓的降压效果可能是因为其槲皮素成分,研究表明槲皮素可以通过降低氧化应激、改善内皮依赖性血管舒张、抑制血管收缩素转换酶以及减轻炎症来降低血压 [5]。

研究认为蔓越莓中的原花青素可以调节细胞活力、细胞增殖、细胞死亡、信息传导通路等(图5)。
目前蔓越莓及蔓越莓提取物在癌症预防的应用中仍处于早期阶段,需要进一步的研究 [9]。

图5:蔓越莓抑制癌症机制,改编自 [9]
其实在中国,我们常接触到的蔓越莓产品主要是以蔓越莓汁、蔓越莓干为主。
啊~不由自主就想到了香甜可口的黄油蔓越莓曲奇~
只是,为什么在平时的生活中,很少会见到新鲜的蔓越莓呢?
答案很简单,中国只有大兴安岭产蔓越莓。

从世界角度来看,蔓越莓多生长于北美,如加拿大的魁北克,美国东北部(从马萨诸塞州到新泽西州),美国中西部(威斯康辛州)和北美西北部(从加拿大不列颠哥伦比亚到美国俄勒冈州)。
除了北美,另外一个出产蔓越莓的地方就是在地球上另一边的国家智利,而这些产地正好处于一条经线上,故被称为「蔓越莓经线」。

而如果要运送到全世界各地的话,对于蔓越莓的保存是一项极大的挑战。所以通常情况下,新鲜的蔓越莓会被做成易保存的果汁与果干,销往世界各地。
但有一点需要主要的是,蔓越莓在加工的过程中会被加入大量的糖分,因为……
蔓越莓实在是太太太太太太太酸啦~!!!!!
所以加工的时候需要放入大量糖分,来中和这酸涩的味道,因此在摄取这些蔓越莓产品时也会增加糖的摄入。
虽然蔓越莓对身体很友好,但是过多的糖分,对于糖尿病患者,或者糖尿病高风险人士来说,还是少摄入为妙。
其实小编本人,属于糖尿病高风险人群。这风险指数,果然不辜负这大糖盛世的现状🙂

图片来自基因宝App
据了解,与糖尿病有关联的基因之一是:TCF7L2基因
TCF7L2基因在信息传导中起重要作用,该基因相关的变异会抑制原胰高血糖素的产生,进而抑制GLP-1调节血液中的葡萄糖浓度,导致血液中更高的葡萄糖浓度,增加罹患2型糖尿病的风险 [3]。
幸运的是,蔓越莓当中的多酚物质与提取物,便可以有效降低人体细胞对葡萄糖的吸收,从而减少糖尿病的患病风险。
前提是,摄入的蔓越莓没有被加入很多糖分。
另外,蔓越莓当中的成分虽然有控制血压的作用,但是高血压人士在蔓越莓产品的选择上,还是推荐糖分添加较少的。

图片来自基因宝App
如果基因检测的结果显示你的高血压风险较高,那么基因宝建议你,将蔓越莓的摄入提上日程。
当然,实在买不到新鲜的蔓越莓,或者实在难以下咽,那么可以选择蔓越莓膳食补充剂,来达到身体的需求。
比如产自澳洲的Swisse蔓越莓胶囊,每一粒当中都含有大量的蔓越莓果实粉剂,可以帮助我们在摄取蔓越莓有益物质的同时避免多余的糖量摄取。

还有一个问题,那就是每天摄入多少蔓越莓是合理的呢?
其实现在还没有针对长期服用蔓越莓最佳剂量的研究。总体而言,蔓越莓是安全的食品,目前的研究仍未发现严重的不良事件或毒性。
所以我觉得,与其担心蔓越莓摄取量对于身体的影响,不如提前知晓一下自己在糖尿病、高血压以及各种常见癌症的风险几率。
前面提到过,虽然蔓越莓对于癌症的作用还处于早期阶段,但是我们对于自身的各种常见癌症的风险高低,应当提早有个明确的认知。
以下是小编的健康风险评估👇
图片来自基因宝App
基因检测的结果显示我膀胱癌(泌尿系统)的风险并不是很高,但是作为一个女宝宝,为了提防尿路感染这个小婊砸,还是要乖乖将蔓越莓提上日程的。
都说到这儿了,已经使用过基因宝产品的婊贝们,是不是该打开基因宝App查看一下自己的癌症风险啦?
还没有体验过的宝宝,还要继续对自己的常见癌症风险一无所知吗?
况且,基因宝App前段时间刚刚上线了「积分抵现金」的功能,在解锁「精准健康」板块的时候,可抵扣总额50%的现金使用喔~

为了大家的健康风险,基因宝也是操碎了心。毕竟常言道:医道千万条,预防第一条。预防不到位,亲人两行泪啊~~~

好啦,说回正题。人生五件大事,吃喝拉撒睡,跟厕所有关的一下就占了两件。且拉和撒都排在睡的前面,由此可见这两件事情对于生活的重要程度。
且人生已经有很多事情都不顺畅了,别再让「尿事」给你添堵了。最重要的是,得来不易的假期,别让这病的「尿性」给糟蹋了。
说说
你吃过关于蔓越莓的产品吗?
你觉得它有什么样的功效呢?
我们将从留言中抽取3位点赞数最高的同学,赠送1份30粒装Swisse蔓越莓胶囊,让你从此远离多种疾病的威胁~
Genebox基因宝
是中国领先的消费级基因检测品牌,
专注于为消费者提供准确、有用、便捷的
个人基因检测产品和服务。
让基因融入美好生活


