
干细胞是具有自我复制、多向分化和归巢潜能的原始细胞,是机体的原始细胞,是形成人体各种组织器官的祖细胞。就像树干一样,可以长出树枝、树叶、花朵和果实。干细胞在形态上具有共性,通常呈圆形或椭圆形,细胞体积小,核相对较大,细胞核多为常染色质,具有较高的端粒酶活性。它经体外生产、制备等操作后,输入(或植入)人体能够用于疾病治疗,所以干细胞在医学界有非常大的意义。
干细胞作为医学界的治疗“潜力股”,其制剂必须保证质量可控性以及治疗的安全性和有效性。
我国首个人源干细胞国家标准《生物样本库多能干细胞管理技术规范》在今年9月正式发布,其中在质量控制里,提到干细胞的验收标准可参考T/CSCB-0002与T/CSCB-0005的内容,其中影响质量的重要因素有三个,细胞来源、细胞活率、细胞生长活性等。
想要获得高质量的干细胞,细胞来源的尤为重要。随着人类的衰老,细胞的活力也是会逐渐减弱的,无论你是选择了异体回输还是“自给自足”,细胞供者本身的年龄及身体状况都会对细胞质量产生影响。
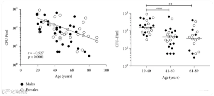
2019年,英国利兹大学的科研团队就采集了67名健康供体(19-89岁)的骨髓间充质干细胞,通过体外培养的方式证实了:年轻人的干细胞数量和增殖能力显著高于老年人。
培养基中培养14天后,年轻组(19-40),中年龄组(41-60)和老年组(61-89岁)的干细胞计数对比
年轻态的干细胞胞体饱满、呈明显的梭形;衰老的干细胞胞体宽大扁平
从年龄这个因素考虑,有零岁细胞之称的脐带/胎盘间充质干细胞应该是最优解,年轻人的骨髓、脂肪、牙髓等来源。
先供体必须经过检验筛查证明无人源特定病毒(包括HIV、HBV、HCV、HTLV、EBV、CMV等)的感染,无梅毒螺旋体感染。其次除了病毒感染,许多疾病也会影响自体间充质干细胞的功能及效果,如遗传性疾病、自身免疫性疾病和部分慢性疾病等。
以常见的糖尿病为例,2021年9月刊登在《STEM CELLS TRANSLATIONAL MEDICINE(干细胞转化医学)》上的一项研究证实:长期患有2型糖尿病会降低干细胞的增殖能力、免疫抑制潜力及存活率。

健康组(第1组)和2型糖尿病患者的自体骨髓来源间充质干细胞(BM-MSCs)的表征对比(糖尿病持续时间:第2组:<5年,组3:5-10年,第4组:>10年)
尽管干细胞治疗2型糖尿病的具有潜在治疗效果,但一些患者使用自体干细胞进行治疗却得到矛盾的结果,这是由于疾病影响了患者自体干细胞的分子和细胞特征,特别是代谢活动和线粒体DNA的改变。
因此,当你患有糖尿病超过10年时,采用自体干细胞进行治疗就不是一个明智的选择。
只有活着的干细胞能真正起到修复或治疗的作用,失活细胞不仅有碍疗效,有时还会“帮倒忙”,引发机体毒性反应。所以细胞存活率不但关乎细胞质量,更涉及人体自身的安全。国内监管对于干细胞产品活率要求较高,通常要≥90%
除了干细胞本身的活性外,存储、运输条件也会影响细胞活率。如果存储或运输条件不合格,则可能导致细胞死亡、细胞膜破裂及内容物释放等。
人体会衰老,人体内广泛存在的MSC也会衰老(大自然的规律),体外培养的MSC同样会衰老(复制性衰老)。刚从脐带、胎盘等组织提取出来的干细胞是原始P0代,传一代是P1代干细胞,以此类推。在此过程中,干细胞的生物学效力和增殖特性,会随着传代次数的增加逐渐下降。
下图为越南某实验室分离培养的人脂肪间充质干细胞,培养至P10代时,干细胞出现典型的衰老特征,胞体直径增大、宽大扁平,失去了典型的成纤维细胞样的梭形,朝着“煎蛋”形态发展且局部排列紊乱。
从P10代开始有明显的衰老
虽然间充质干细胞理论上可以长期传代培养,但衰老干细胞的免疫抑制功能会出现明显的下降,因此在临床应用中不建议选择代次较高的干细胞批次。
P0代干细胞确实活性很高,但我们需要综合考虑细胞的剂量与安全性。如果没经过足够的体外培养、扩增,可能导致细胞总数量不够,达不到使用标准。
此外,传代培养的过程还是一个纯化间充质干细胞的过程。刚从组织中被新鲜提取出的P0代干细胞还来不及检测各种污染物的存在情况,也没有进行进一步的净化,有可能存在某些细菌、病毒、微生物等,缺乏安全保障。
目前学界普遍公认,P3-P7代次的干细胞,遗传特性基本稳定,生物学特性虽然有一定的差异,但差异不大,也可以认为基本稳定。所以要同时兼具数量、安全及干细胞活性,P3-P7代次的干细胞是最佳的选择。
干细胞技术作为一门前沿新兴技术,医学界的治疗“潜力股”。细胞质量的好与坏,是由细胞活率、细胞来源、细胞活性等多重因素共同决定的,不能只单看重某一指标。必须要用更全面、理智的视角去对待,严格遵守干细胞临床应用的相关指导原则和标准,才能从中获得想要的结果。
随着干细胞技术的日益成熟,国家也在不断完善干细胞质量管控体系,确保干细胞制剂临床应用的安全性和有效性。
依照《干细胞临床研究管理办法》、《干细胞制剂质量控制及临床前研究指导原则》、国家卫健委和国家药监局监管要求,开展临床研究的干细胞产品应取得第三方检验机构出具的质量检测报告。

中国食品药品检定研究院(简称“中检院”),是国家检验药品生物制品质量的法定机构和最高技术仲裁机构,也是最权威的第三方干细胞质量复核检验机构。
广东香雪干细胞再生医学科技有限公司作为第二批获得中国食品药品检定研究院细胞报告及第一批获得中国食品药品检定研究院细胞制剂报告的企业,深耕细胞行业,引领细胞质量。取得中检院的细胞质量检验报告,标志着该企业从细胞制剂的生产工艺到质量控制体系,均符合药品申报的前提,具备生产临床级干细胞制剂的能力。同时国家的认证,让整个行业正向着规范化、更加长远地利于临床转化的方向发展。



