《中国药典》记载药材黄精包括黄精、滇黄精和多花黄精三种,可用于治疗脾胃气虚、体虚、少食口干、肺虚干咳,还具有补充能量、增强免疫力等功效。同时黄精作为一种药食同源的药材,还可泡茶、制作药酒,或与肉、粥等一起食用,黄精的嫩叶和茎也能作为蔬菜食用。
黄精具有“补虚”的疗效,在现代药理学中,中药的补虚作用往往与其免疫作用密切相关。前人研究表明,来源于黄精属药用植物的玉竹多糖可以恢复D -半乳糖诱导的小鼠胸腺和脾脏衰老,并增加参与免疫应答的CD8+ T细胞的比例。由于CD4+、CD8+等在内的总T淋巴细胞(免疫细胞)数量及免疫应答均随年龄上升而下降,表明其延缓衰老作用可能与其免疫调节作用有关。黄精多糖作为黄精最重要的活性成分,能促进免疫抑制小鼠腹腔巨噬细胞溶血素的形成,增强其吞噬功能。还有研究表明,药材的活性与生物体内的肠道菌群相关,而肠道菌群不仅能影响哺乳动物免疫系统的发育和稳定,还与炎症和免疫疾病以及免疫治疗反应有关。
近年来,随着黄精在市场上的不断普及与应用,对黄精活性成分的研究也在不断深入,目前黄精多糖的免疫活性研究已有较多报道,但对于除多糖外其他成分的免疫活性研究较少。
对此,皖西学院生物技术与制药工程学院的何燕飞教师团队开展了相关研究,并在Journal of Ethnopharmacology(Q2,IF: 5.195)期刊上发表了题为“Immunological regulation of the active fraction from Polygonatum sibiricum F. Delaroche based on improvement of intestinal microflora and activation of RAW264.7 cells”的研究论文。

在这篇研究中,作者探究了黄精去除多糖后的提取物PSE30 (Polygonatum sibiricum ethanol 30) and PSE75 (Polygonatum sibiricum ethanol 75)的免疫调节活性。材料制备是由1 kg黄精粉末加入75%乙醇回流提取后过滤,滤液在45℃下减压旋蒸去除乙醇。将1.0 g/mL的提取物置于D101大孔树脂中吸附1 h后用水洗柱去除杂质,再用30%乙醇洗脱得到PSE30馏分,用75%乙醇洗脱得到PSE75馏分。然后,将PSE30、PSE75分别用D941大孔树脂处理,用70%乙醇洗脱分别得到得率为3.62%的PSE30和1.63%的PSE75。
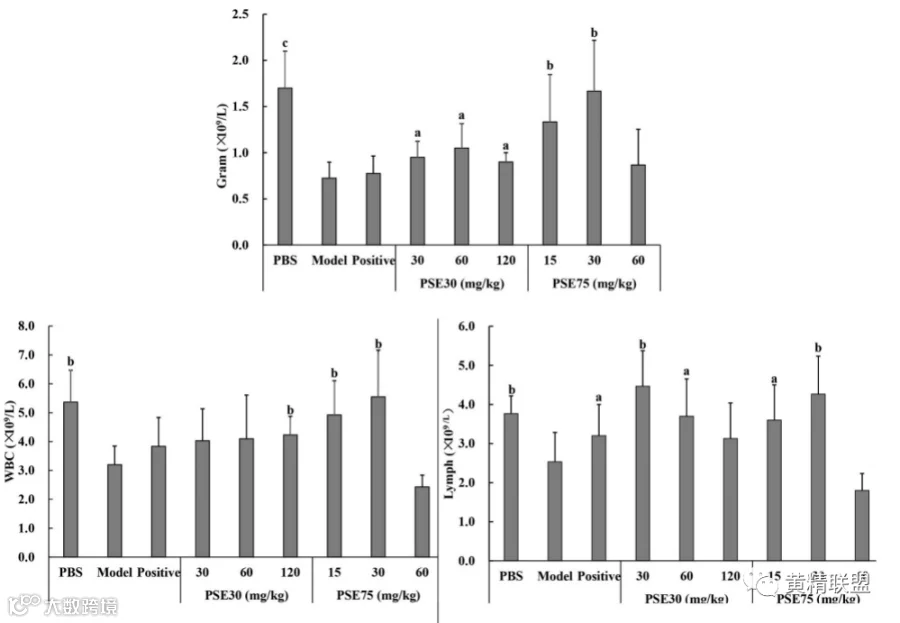
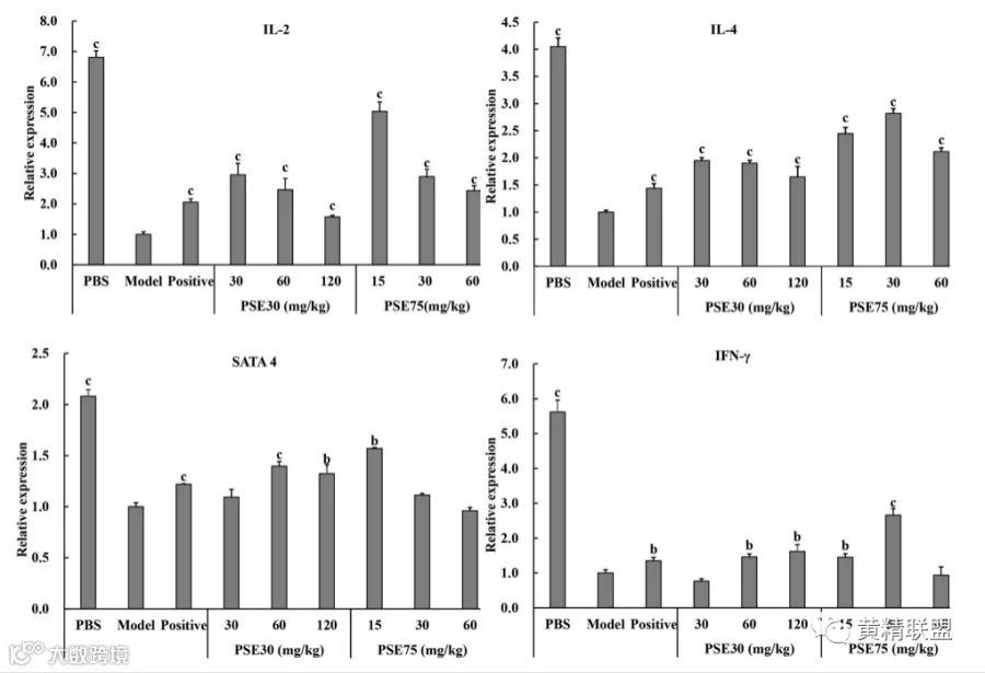
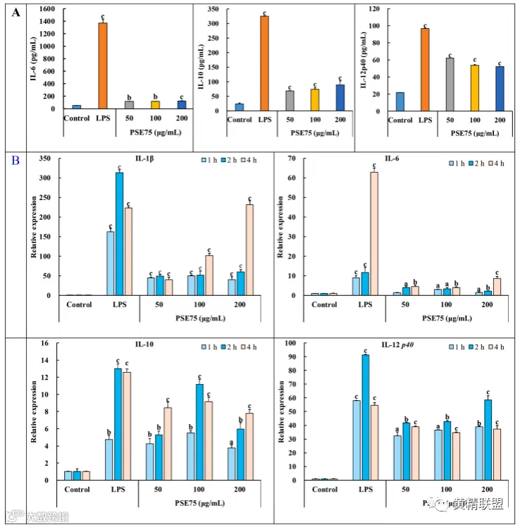
数据表明,PSE30和PSE75均能提高抗体IgG和IgM的含量,增强NK细胞对K562细胞的活性。经PSE30和PSE75处理的脾细胞中白细胞介素(IL)-2、干扰素(IFN)-γ、转录因子(STAT)4等Th1分子标记物(细胞免疫相关)和IL-4等Th2分子标记物(体液免疫相关)的mRNA表达均显著提高。除此之外,PSE30和PSE75还能增加小鼠体内白细胞、淋巴细胞、粒细胞数量,且PSE75的免疫调节作用优于PSE30。此外,PSE75可以改善小鼠的肠道微生物群落,与对照组相比,PSE75可降低肠道中拟杆菌(Bacteroidales)、毛螺菌(Lachnospiraceae)的相对丰度,提高乳酸菌(Lactobacillus)、脱硫弧菌(Desulfovibrio)、肠杆菌(Enterorhabdus)的相对丰度,说明这些微生物菌群可能在PSE75的免疫调节活性中发挥重要作用。同时,PSE75还能激活RAW264.7细胞分泌IL-6、IL-12p40、IL-10等细胞因子来提高小鼠免疫力。
这项研究表明黄精可通过改善肠道微生物群落和激活免疫细胞提高免疫力,从药理学角度阐明了黄精的免疫作用,为黄精的应用疗效提供新的理论依据。

图片摘要
结果展示

图1 PSE30 (A)及PSE75 (B)指纹图谱

图2 PSE30和PSE75对血清IgG和IgM含量的影响。显著性差异:aP<0.05, bP<0.01, cP<0.001。

图3 PSE30和PSE75对小鼠白细胞、淋巴细胞和粒细胞数量的影响。

图4 PSE30和PSE75对小鼠NK细胞活性的影响。

图5 PSE30和PSE75对小鼠mRNA表达的影响。

图6 PSE30和PSE75对小鼠脾脏形态和组织的影响。




图7 PSE75对微生物群落组成的影响。A:非度量多维测度结果B:属级微生物群落柱状图C:微生物群落柱状图与cluster-tree在属水平上的综合分析D:LEfSe分析结果。

图8 PSE75对RAW264.7细胞增殖的影响。

图9 PSE75对RAW264.7细胞因子蛋白(A)和mRNA表达水平(B)的影响。
皖西学院何燕飞博士为论文的第一作者,皖西学院何燕飞、黄林教授为论文的通讯作者。
原文链接:
https://doi.org/10.1016/j.jep.2022.115240

请扫二维码关注“黄精联盟”公众号
编辑:周茜
审核:刘京晶
终审:邹辉