大数跨境

黄精有效治疗糖尿病--黄精皂苷对2型糖尿病小鼠高血糖、肠道微生物群组成和代谢谱的影响

黄精有效治疗糖尿病--黄精皂苷对2型糖尿病小鼠高血糖、肠道微生物群组成和代谢谱的影响 黄精联盟
2023-10-06
2
导读:许多科学研究已经证实,糖尿病与肠道微生物群有着密切的关系。肠道微生物群的失调会增加有害代谢产物的数量。因此,调节肠道微生物群及其代谢产物已成为治疗糖尿病的一种新方法。

黄精始载于《神农本草经》,性平、味甘,是一种药食同源的中药。《名医别录》中记载:主补中益气,除风湿,安五脏。黄精具有润心肺、补气益肾、养阴、益脾胃、强筋骨、填精髓等功效,现代医学研究证明,黄精有降血糖、降血脂、抗癌、抗氧化、调节免疫力、改善记忆力、抗疲劳、抗炎、抗病毒等药理作用。黄精主要分为三种:黄精(Polygonatum. sibiricum Red.)、多花黄精(P. cyrtonema Hua)、滇黄精(P. kingianum Coll.et Hemsl.其化学成分组成丰富,包括多糖、皂苷类、黄酮类、生物碱类、木脂素类、挥发油类和氨基酸等,其中皂苷是最重要的成分之一。近年来,越来越多的学者关注并从事黄精皂苷类成分的研究。

当前,全球糖尿病发病率正逐年上升,已成为一个全球性的公共卫生问题。糖尿病是一种由胰岛素分泌不足引起的代谢紊乱,其特征是葡萄糖障碍,并伴有肾病、眼病和周围神经病变等并发症。从临床上看,传统的降血糖药物有着无法避免的副作用,如恶心、呕吐、低血糖和胃部不适。许多科学研究已经证实,糖尿病与肠道微生物群有着密切的关系。肠道微生物群的失调会增加有害代谢产物的数量。因此,调节肠道微生物群及其代谢产物已成为治疗糖尿病的一种新方法。

近年来,越来越多的学者关注天然降血糖化合物。目前,黄精皂苷调节肠道微生物群及其代谢产物与降血糖机制尚未完全阐明。近日,东北林业大学的包怡红教授团队,在Biomedicine & Pharmacotherapy (分区Q2,IF: 7.5)期刊发表了题为“Effects of Polygonatum sibiricum saponin on hyperglycemia, gut microbiota composition and metabolic profiles in type 2 diabetes mice”的研究论文。

概要:

部分结果展示:
2 黄精皂苷对2型糖尿病(type 2 diabetes mellitus , T2DM)小鼠口服糖耐量试验(oral glucose tolerance test, OGTT)(A)、胰岛素水平(B)和定量胰岛素敏感性检查指标(quantitative insulin sensitivity check index, QUICKI)指数(C)的影响。8只正常小鼠被分配到常规对照(normal control, NC)组。将40只糖尿病小鼠随机分为5组:糖尿病对照组(diabetes control, DC)、二甲双胍对照组(metformin control, MC)、黄精皂苷低剂量组(PSS low-dose, PLD)、黄精皂苷高剂量组(PSS high-dose, PHD)和PSS中剂量组(PSS medium-dose, PMD)。
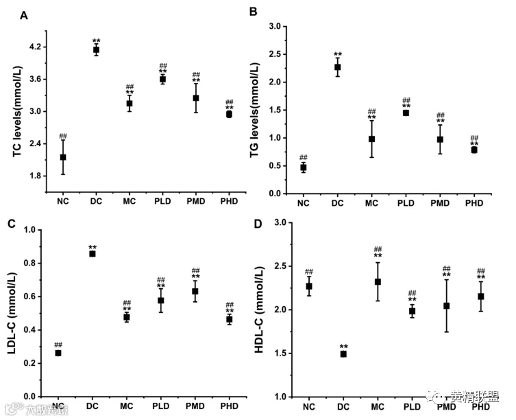
3 黄精皂苷对2型糖尿病小鼠总胆固醇(total cholesterol, TC)(A)、三酰甘油(triacylglycerol, TG)(B)、低密度脂蛋白胆固醇(low-density lipoprotein cholesterol, LDL-C)(C)和高密度脂蛋白胆固醇(high density lipoprotein cholesterol, HDL-C)水平的影响。
4 黄精皂苷对2型糖尿病小鼠肠道微生物群多样性的影响。αβ多样性分析:Chao1指数(A)、Simpson指数(B)、组显著性图(C)、主成分分析(PCA)(D
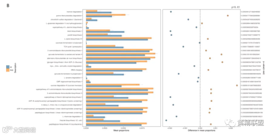
图5 PICRUSt2分析肠道菌群功能。EC数据库(A)pathway数据库(B)
图6 黄精皂苷对糖尿病小鼠代谢模式的影响。主成分分析得分图(A)、PLS-DA得分图(B)、PLS-DA验证图截距:R2=0.00.887),Q2=0.00.322)(C)。
本实验将雄性4周龄小鼠,在适应性喂养两周后随机分为2组,分别为正常对照组和糖尿病组,再将糖尿病小鼠随机分为五组:糖尿病对照组、黄精皂苷高、中、低剂量组和二甲双胍(治疗糖尿病的传统药物)对照组。每周监测体重和空腹血糖水平,结果显示与糖尿病对照组相比,治疗组体重增加,糖尿病小鼠的血糖水平有效降低。
使用试剂盒测定血清中胰岛素、总胆固醇(total cholesterol, TC)、甘油三酯(triacylglycerol, TG)、低密度脂蛋白胆固醇(low-density lipoprotein cholesterol, LDL-C)和高密度脂蛋白蛋白胆固醇(high density lipoprotein cholesterol, HDL-C)的水平。结果表明,黄精皂苷高剂量组(PSS high-dose, PHDTCTGLDL-C水平相对较低,HDL-C水平高于糖尿病对照组( diabetes control, DC)。黄精皂苷可调节糖尿病小鼠的脂质代谢,并在一定程度上抑制了心血管并发症。
实验最后一天,从小鼠身上采集新鲜粪便样本,从粪便样本中提取总微生物DNA,接着进行PCR扩增,利用Vsearch软件(v2.3.4)对序列进行聚类,得到操作分类单位,分析微生物群落组成的多样性。结果表明,糖尿病小鼠喂食黄精皂苷28天后,拟杆菌门的丰度增加,厚壁菌门的丰度显著下降。
在研究微生物组的功能时,使用网站分析微生物组表型,糖尿病对照组中需氧菌和革兰氏阳性菌的相对丰度较低。相比之下,厌氧菌、革兰氏阴性菌和潜在致病菌的相对丰度更高。然而,黄精皂苷高剂量组的情况正好相反。因此,微生物组成的变化也伴随着细菌表型的变化。黄精皂苷改变了糖尿病小鼠肠道中细菌的表型。
采用气相色谱-质谱联用技术检测粪便中的正离子和负离子代谢产物。代谢产物中,黄精皂苷高剂量组的烟酰胺、氨基酸、γ-氨基丁酸、赤藓糖醇、α-生育酚、绿原酸和低聚糖的含量显著上调。然而,在糖尿病对照组中检测到更高水平的5-羟基-3-吲哚乙酸、4-羟基马尿酸、n-乙酰-D-氨基(单糖)、丁醛、胆固醇和肌醇。提示黄精皂苷治疗可有效调节糖尿病小鼠的代谢。
综上,我们发现黄精皂苷在体内具有良好的降血糖活性,显著降低T2DM小鼠的胰岛素分泌。其次,黄精皂苷降低T2DM小鼠血液中三酰甘油、总胆固醇和低密度脂蛋白胆固醇的水平。此外,黄精皂苷调节糖尿病小鼠肠道微生物组的结构、组成、丰度、功能、表型和代谢特征,降低T2DM小鼠厚壁菌门的丰度,增加拟杆菌门及一些细菌属的丰度。最后,黄精皂苷对碳水化合物代谢和氨基酸代谢(如L-丙氨酸和L-谷氨酸)有很大影响,代谢产物中的肌醇和绿原酸水平也因黄精皂苷显著增加。
这项研究结果表明黄精可能在治疗2型糖尿病发挥重要作用,可作为一种糖尿病预防和治疗的天然药物,并为黄精皂苷在医药行业的应用启发新的思路。
转载请在开头注明:本文转载自公众号——黄精联盟
东北林业大学副教授柴洋洋为论文的第一作者,包怡红为论文的通讯作者。
原文链接:
https://doi.org/10.1016/j.biopha.2021.112155
扫二维码关注“黄精联盟”公众号
支持单位:
浙江农林大学森山大健康研究院
浙江农林大学新化黄精研究院
新化县颐朴源黄精科技有限公司
浙江农林大学磐安共富学院
编辑:周茜
审核:刘京晶
终审:邹辉

【声明】内容源于网络
0
0
黄精联盟
林业和草原黄精产业创新联盟主办,发布黄精行业动态、前沿科技成果、黄精企业及产品介绍。
内容 72
粉丝 0
黄精联盟 林业和草原黄精产业创新联盟主办,发布黄精行业动态、前沿科技成果、黄精企业及产品介绍。
总阅读11
粉丝0
内容72