搜索
首页
大数快讯
大数活动
服务超市
文章专题
出海平台
流量密码
出海蓝图
产业赛道
物流仓储
跨境支付
选品策略
实操手册
报告
跨企查
百科
导航
知识体系
工具箱
更多
找货源
跨境招聘
DeepSeek
首页
>
黄精治疗动脉粥样硬化效果为何男女有别?
>
黄精治疗动脉粥样硬化效果为何男女有别?
黄精联盟
2023-11-01
1
导读:黄精是一种药食两用的多年生植物,具有保护心血管、抗疲劳、补脾养肺等功效。多糖是黄精主要活性成分之一,由于其降脂、抗炎和抗氧化功能,可能成为动脉粥样硬化患者的潜在治疗选择。
心血管疾病是世界各地的一个严重健康问题,其发病率和死亡率正在逐年快速上升。根据世界卫生组织
2019
年的统计,心血管疾病每年夺走
1790
万人的生命,占全球总死亡人数的近
32%
。预计到
2030
年全球死于心血管疾病的患者将达到
2360
万。其中,心血管疾病发生的主要潜在原因是动脉粥样硬化
——
中等动脉或大动脉的动脉壁形成脂质斑片状沉积物(粥样斑或粥样硬化斑块),导致血流量减少或阻塞血液流出。其发病机制复杂,包括血脂异常、氧化应激和炎症,饮食、生活方式、行为、环境因素和性别都能影响其疾病发展。他汀类药物在临床上被广泛应用于改善动脉粥样硬化性心血管疾病的症状,但长期使用会引发如肌肉无力和肝脏损伤等副作用。因此,从食品或传统草药中开发抗动脉粥样硬化药物具有重要意义。
黄精是一种药食两用的多年生植物,具有保护心血管、抗疲劳、补脾养肺等功效。多糖是黄精主要活性成分之一,由于其降脂、抗炎和抗氧化功能,可能成为动脉粥样硬化患者的潜在治疗选择。早期识别和积极干预对动脉粥样硬化的治疗非常重要。已有多种研究表明性别对动脉粥样硬化的发生和发展有很大影响,但很少有研究试图从性别
角度
评估多糖对动脉粥样硬化的干预作用。
近日,
合肥
工业大学查学强教授及其团队利用动脉粥样硬化小鼠模型
——LDL
受体敲除(
LDLr
-\-
)小鼠模型,探讨了
黄精多糖
对高脂饮食(
HFD
)诱导的不同性别小鼠的动脉粥样硬化的干预作用。
研究成果
发表
在国际期刊
Food Science and Human Wellness
(
2
区,
I
F
:
7.
0
)。
在前期工作中,研究团队已从多花黄精的根茎中得到纯化后的
多糖(
PCP
)
,分子量约为
8500 Da
,主要由果糖和葡萄糖组成,摩尔比为
18
:
1
,其结构如图
1
所示。在该研究中,作者设置了正常饮食组(
ND
),高脂饮食组(
HFD
),
PCP
高剂量组(
H-PCP
),
PCP
低剂量组(
L-PCP
)和阿托伐他汀钙片组(
ACT
)探究
PCP
对
HFD
诱导的雄性和雌性
LDLr
-\-
小鼠动脉粥样硬化的干预作用
(
图
2 A)
。
图
2 PCP
干预策略(
A
)和实验期间雌性和雄性小鼠体重的变化(
B-C
)。
结果显示,
PCP
治疗可以剂量依赖性地减轻
HFD
引起的雄性和雄性小鼠的体重增加
(图
2 B-C
)、血脂异常
(图
3 A
)
,其中雄性小鼠变化更显著。作者进一步探究
P
CP
对小鼠主动脉的保护作用,
通过动脉树的表面和主动脉窦的横截面分析确定动脉粥样硬化病变
。当
PCP
剂量达到
260 mg/
(
kg·d
)时,雄性和雌性小鼠的油红
O
染色损伤面积分别减少了
82.21%
和
58.75%
。
通过
H&E
染色评估了主动脉窦的内膜面积,发现在给予高剂量
PCP
后,
HFD
诱导的雄性和雌性小鼠的主动脉壁厚度分别减少了
66.82%
和
57.60%
。除此之外,
PCP
给药以剂量依赖的方式抑制胶原纤维在血管壁中的沉积
(图
3
B
)。
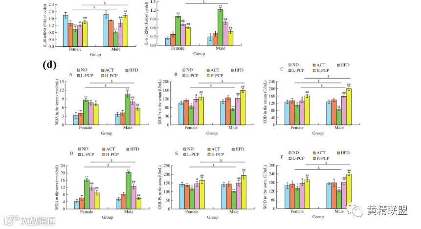
图
3
PCP
治疗对
HFD
喂养的雌性和雄性小鼠
高脂血症(
A
)、主动脉病理(
B
)、氧化应激(
C
)和炎症因子水平(
D
)的影响。
**
P
<0.01
(与
ND
组相比)
P
<0.05
,
##
P
<0.01
(与
HFD
组相比);
$
P
<
0.05
(女性组与男性组)
。
由过量活性氧(
ROS
)引起的氧化应激与动脉粥样硬化的发病密切相关。
其中
,
谷胱甘肽过氧化物酶(
GSH-Px
)
和
超氧化物歧化酶(
SOD
)
在清除内源性防御系统中的自由基和抑制脂质过氧化方面起着关键作用
。此外,
MDA
是脂质过氧化的关键产物之一,其水平可以间接反映自由基刺激的氧化损伤的严重程度
。本研究表明
抗氧化能力的提高可能是
PCP
预防动脉粥样硬化的重要机制之一
,
PCP
在
H
FD
雄性和雌性小鼠体内均表现出
显著逆
提高
GSH-Px
、
SOD
活性
和
降低
MDA
的变化
,雄性小鼠差异更显著(图
3
C
)。
除了氧化应激外,炎症被认为是动脉粥样硬化发病机制的另一个关键病因
。因此,
本研究探究
了
PCP
对
HFD
诱导的雄性和雌性小鼠动脉粥样硬化炎症的影响。
结果表明
在雄性和雌性小鼠中,与模型组相比,
高剂量黄精多糖(
H-PCP
)
组血清中
TNF-α
、
IL-1β
和
IL-6
水平分别降低了
64.36%
、
50.15%
、
53.11
和
35.77%
、
32.56%
、
29.46%
,
IL-10
水平分别升高了
98.30%
和
38.46%
。综上所述,
PCP
可以限制
HFD
喂养的雄性和雌性小鼠的炎症反应
(图
3
D
)
。
图
4
PCP
对
HFD
喂养的雌性和雄性小鼠主动脉中炎症信号通路蛋白质水平的影响。蛋白质印迹分析(
A
)和
p-p65
(
B
)、
IκB
(
C
)、
p-p38
(
D
)、
p-ERK
(
E
)和
p-Akt
(
F
)蛋白水平的定量结果。
**
P
<0.01
(与
ND
组相比)
P
<0.05
,
##
P
<0.01
(与
HFD
组相比);
$
P
<
0.05
(女性组与男性组)
。
作者进一步研究
P
CP
干预动脉粥样硬化的机制,发现
PCP
可以通过调节炎症反应来减轻动脉粥样硬化小鼠的炎症反应
。
核因子
κB
(
NFκB
)、丝裂原活化蛋白激酶(
MAPKs
)和蛋白激酶
B
(
Akt
)是介导动脉粥样硬化发展的
3
个关键信号通路
PCP
被发现显著降低
p65
、
p38
、细胞外调节激酶
1/2
(
ERK1/2
)和
Akt
的磷酸化,并增加
NF-κB
抑制剂(
IκB
)在男性和女性主动脉中的蛋白表达(图
6
)。综上所述,
PCP
预防动脉粥样硬化的保护机制可能与抑制
NF-κB/MAPKs/Akt
介导的炎症反应有关(图
4
),对男性干预效果更明显。
综上所述
,
PCP
治疗可以剂量依赖性地减轻
HFD
引起的雄性和雄性小鼠的体重增加
、血脂异常
、动脉粥样硬化病变、氧化损伤和炎症,
其机理可能为
抑制
NF-κB/MAPKs/Akt
介导的炎症反应
,
对男性的干预效果大于对女性的干预效果
。
本研究为从食品和传统草药中开发治疗或预防心血管疾病的健康产品奠定了理论基础,为不同性别患者疾病精准化干预提供了潜在方案。
转载请在开头注明:本文转载自公众号
——
黄精联盟
合肥工业大学食品与生物工程学院李雪影老师为本文共同一作,查学强教授为本文通讯作者。
原文链接:
https://doi.org/10.26599/FSHW.2022.9250031
请
扫二维码关注“黄精联盟”公众号
支持单位:
浙江农林大学森山大健康研究院
浙江农林大学新化黄精研究院
新化县颐朴源黄精科技有限公司
浙江农林大学磐安共富学院
编辑:周茜
审核:刘京晶
终审:邹辉
【声明】内容源于网络
0
0
黄精联盟
林业和草原黄精产业创新联盟主办,发布黄精行业动态、前沿科技成果、黄精企业及产品介绍。
内容
72
粉丝
0
关注
在线咨询
黄精联盟
林业和草原黄精产业创新联盟主办,发布黄精行业动态、前沿科技成果、黄精企业及产品介绍。
总阅读
0
粉丝
0
内容
72