大数跨境

黄精能抗类风湿?——从滇黄精中提取到了抗炎新多糖

黄精能抗类风湿?——从滇黄精中提取到了抗炎新多糖 黄精联盟
2023-10-13
2
导读:类风湿性关节炎(RA)是一种在人群尤其是中年女性中广泛发生的自身免疫性疾病。它以滑膜炎为主,可以使滑膜衬里细胞增生、间质大量炎性细胞浸润、以及微血管的新生、血管翳的形成以及软骨和骨组织的破坏,导致关节

类风湿性关节炎(rheumatoid arthritisRA)是一种在人群尤其是中年女性中广泛发生的自身免疫性疾病。它以滑膜炎为主,可以使滑膜衬里细胞增生、间质大量炎性细胞浸润、以及微血管的新生、血管翳的形成软骨和骨组织的破坏,导致关节畸形及功能丧失且病因不详。现阶段治疗主要依靠抗炎药物和生物抑制剂,主要目标是减轻疼痛、减少炎症并改善人的整体功能,但是常见的治疗药物如非甾体消炎药(RSAIDs)、抗风湿药(DMARDs)、免疫抑制剂等都对人体有较大的副作用,因此,低副作用的药物是该疾病的研究热点。

滇黄精(Polygonatum kingianum Coll.et Hemsl.)是黄精的植物来源之一,滇黄精多糖(P. kingianum polysaccharidesPKPs)具有多种生物活性,如抗炎、抗骨质疏松和糖尿病作用,可能与它的多糖结构相关。近期,安徽中医药大学新安医学重点实验室从滇黄精中首次分离出一种新型多糖,PKP2-1,并对该多糖的结构和抗炎活性进行了研究,研究结果在期刊Frontiers in Nutrition(2区,IF5.0)上发表了研究论文“Structural characterization and anti-inflammatory activity of a novel polysaccharide PKP2-1 from Polygonatum kingianum”。

该团队从滇黄精中分离出了一种全新的多糖。提取纯化步骤为:将从滇黄精中提取到的粗多糖,去除游离蛋白后得到粗品PKPs。然后采用阴离子交换层析和凝胶过滤层析相结合的方法对PKPs粗品进一步纯化,得到所需的多糖,定义为PKP2-1
PKP2-1的总糖和糖醛酸含量分别为84.22%6.92%。紫外光谱在260280nm处无吸收,表明PKP2-1的成分不含核酸和蛋白质。分子量标准曲线为LogMw=-0.44X+8.26R2=0.9988检验得知PKP2-1HPGPC中的保留时间9.13min1,根据保留时间计算其分子量为17.34kDa
1PKP2-1的理化性质分析 (A) PKP2洗脱的SEC图谱(B) PKP2-1HPGPC分析
PKP2-1的红外光谱可作出以下推断,首先,PKP2-1不含蛋白质,因为在1541cm-1处没有吸收峰。其次,位于3403cm-1的宽峰是PKP2-1-OH基团存在的原因。2923cm-1处的峰为来自CH3基团的C-Ha对称伸缩振动。在1666cm-11452cm-1处的两个峰为-COOH弯曲振动,进一步证实糖醛酸发生在多糖分子中。在11311026cm-1处的吸收峰表明了C-O-C的不对称伸缩振动。这些结果表明PKP2-1是一种多糖2
2PKP2-1500~4000cm-1频率范围内的FT-IR谱图
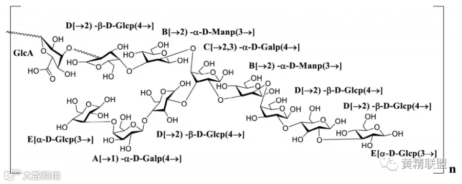
PKP2-1三氟乙酸水解、衍生化后,采用气相色谱质谱法分析测定其单糖组成。结果表明,PKP2-1葡萄糖(Glc半乳糖(Gal甘露糖(Man葡糖酸(GlcA组成,其摩尔比约为6221。进一步通过甲基化和乙酰化反应鉴定PKP2-1中糖苷键的连接类型。表明PKP21(→2)葡萄糖残基(Glcp(4→, 葡萄糖残基(3→,→2)甘露糖残基(Manp(3→,→2,3半乳糖残基(Galp(4→,→1)半乳糖残基(4→摩尔比为27.37:23.53:29.87:2.85:16.38)组成1
1PKP2-1的甲基化分析
结合单糖组成、糖苷键连接、NMR分析及文献报道,推测PKP2-1的结构如图3
3PKP2-1的推测结构
细胞计数盒(Cell Counting Kit-8CCK-8)法是检测细胞增殖或存活率的可靠方法。实验将正常组、对照组和PKP2-1低、中、高3个浓度组各作用MH7A细胞人类风湿性关节炎成纤维细胞,是关节炎中滑膜方向的细胞模型24h。正常组的细胞存活率设为100%对照组则是经过TNF-αα肿瘤坏死因子,一种促炎细胞因子)刺激,存活率为135%结果表明,随着PKP2-1浓度的增加,MH7A细胞的存活率逐渐降低4A
酶联免疫吸附试验Enzyme-Linked Immunosorbent AssayELISA检可以测PKP2-1MH7A细胞中细胞因子IL1βIL-6IL-10表达的影响。正常组MH7A细胞中促炎细胞因子IL6IL-1β的含量分别为1.367.41 pg/ml。经TNF-α刺激后,IL-6IL-1β含量分别提高至5.4015.81 pg/mll高于正常组。然而,使用不同浓度的PKP2-1处理MH7A细胞24 h后,观察到IL-6IL-1β的含量降低,表明PKP2-1可以抑制促炎细胞因子的产生。同时,正常组和对照组中抗炎细胞因子IL-10的含量分别为253.41115.32pg/ml。当PKP2-1浓度为50100200µg/mllMH7A细胞24h时,IL-10的含量分别为171.65231.01269.18pg/ml,说明PKP2-1能够促进抗炎因子的产生。这些结果表明PKP2-1的抗炎活性与浓度相关4B
4:细胞活力和ELISA检测。
(A) PKP2-1MH7A细胞增殖的影响
(B) PKP2-1TNF-α刺激MH7A细胞释放IL-6IL-10IL-1β的影响
与空白对照组比较,*p<0.05**p<0.01
细胞划痕实验通过测量划痕宽度来评估细胞的迁移能力。首先,在0h下观察正常组、对照组和不同浓度50100200 µg/mlPKP2-1组的MH7A细胞愈合状态。24h后观察并记录划痕宽度(5A),计算细胞迁移率。结果显示,正常组和对照TNF-α刺激细胞迁移率分别为36.4%59.0%三种浓度的PKP2-1处理MH7A细胞24h后,细胞迁移率分别为43%26%7%发现50µg/mlPKP2-1MH7A细胞迁移率降低,当PKP2-1浓度达到200µg/ml时迁移率明显降低,表明PKP2-1可以有效地抑制MH7A细胞的迁移。
此外,通过侵袭实验(Transwell进一步检测PKP2-1TNF-α刺激的MH7A细胞的抗侵袭作用。结果显示,PKP2-1作用于MH7A细胞后,平均穿膜迁移数减少。当MH7A细胞穿过小室内膜到达外环境时,与对照组相比,三个PKP2-1组细胞数量明显减少。这些结果表明PKP2-1能够抑制MH7A细胞的侵袭能力(5B)
5:基于MH7A细胞探讨PKP2-1抗炎活性的机制
PKP2-1MH7A细胞迁移影响的统计结果
Transwell小室检测PKP2-1MH7A细胞迁移的影响
该研究发现PKP2-1这种新型多糖对MH7A炎症细胞具有较强的清除自由基和抗炎作用,且与浓度相关。推测单糖及其异构体的组成及含量共同决定了PKP21独特的抗炎活性。在单糖组成和糖苷键分析的基础上,研究人员发现GlcManGal是共同的主要成分,在PKP骨架中存在1,2-连接的葡萄糖或1,4-连接的甘露糖。研究测得PKP2-1具有较高的Glc含量,分子量约为17.34kDa,可能是其具有较强的自由基清除和抗炎活性的原因。
进一步的抗炎活性测试表明,PKP2-1能够抑制MH7A细胞的生长,且具有浓度和时间相关性。研究表明PKP2-1能够降低细胞因子IL-1βIL-6的表达,促进IL-10的分泌。此外,PKP2-1可以诱导MH7A细胞凋亡并抑制该细胞的迁移和细胞侵袭。这些结果表明PKP2-1可以有效的抑制类风湿滑膜炎相关细胞的生物功能,具有开发为消炎药物和免疫调节剂的潜力。
转载请在开头注明:本文转载自公众号——黄精联盟
安徽中医药大学欧金梅和王斌教授为本文通讯作者。
原文链接:https://doi.org/10.3389/fnut.2023.1156798
扫二维码关注“黄精联盟”公众号
支持单位:
浙江农林大学森山大健康研究院
浙江农林大学新化黄精研究院
新化县颐朴源黄精科技有限公司
浙江农林大学磐安共富学院
编辑:周茜
审核:刘京晶
终审:邹辉

【声明】内容源于网络
0
0
黄精联盟
林业和草原黄精产业创新联盟主办,发布黄精行业动态、前沿科技成果、黄精企业及产品介绍。
内容 72
粉丝 0
黄精联盟 林业和草原黄精产业创新联盟主办,发布黄精行业动态、前沿科技成果、黄精企业及产品介绍。
总阅读11
粉丝0
内容72