大数跨境

黄精,随时让你“脉动”回来

黄精,随时让你“脉动”回来 黄精联盟
2024-04-09
0
导读:疲劳是一种疲惫和缺乏能量的亚健康状态,已成为全球20%以上人口日益关注的问题。疲劳通常分为中枢性疲劳和周围性疲劳。中枢性疲劳被定义为外周疲劳运动神经元信号转导受阻或中枢神经系统长期处于紧张状态时的不良

疲劳是一种疲惫和缺乏能量的亚健康状态,已成为全球20%以上人口日益关注的问题。疲劳通常分为中枢性疲劳和周围性疲劳。中枢性疲劳被定义为外周疲劳运动神经元信号转导受阻或中枢神经系统长期处于紧张状态时的不良精神状态。外周疲劳是指由于过度训练导致肌肉功能下降而产生的一种不良生理状态。据报道,组织糖原的消耗是外周性疲劳的关键因素。持续的能量供应和代谢副产物(如乳酸、氨)的消除可以恢复外周性疲劳。此外,剧烈运动可能破坏体内氧化系统和抗氧化系统之间的平衡,导致活性氧化物和丙二醛的过量产生。这些过氧化物也会引起身体疲劳。近年来,人们发现来自饮食的外源性抗氧化剂与内源性抗氧化剂相互作用,形成一个抗氧化网络。这种抗氧化网络可以通过消除自由基和活性氧来抑制运动引起的氧化应激,防止身体疲劳。

多花黄精(Polgonatum cyrtonema Hua)是一种多年生药食植物,具有护肾、滋阴、解乏等功效。越来越多的研究表明,多糖是其主要的生物活性物质。最近,从多花黄精中获得了一种相对分子量为8.5 kDa的均质多糖PCP。单糖分析表明,PCP主要由果糖和葡萄糖组成,摩尔比为28:1。迄今为止,虽然从其他药用植物中提取的一些多糖具有抗疲劳活性,但其作用机制尚不清楚。为探究黄精多糖抗疲劳的作用机制,合肥工业大学罗建平教授与查学强教授及其团队通过负重游泳实验评价PCP(黄精多糖)对小鼠的抗疲劳作用。并通过对骨钙素信号通路的研究,从能量代谢的角度进一步阐明PCP缓解疲劳的可能机制。研究成果发表International Journal of Biological MacromoleculesJCR 1区,IF=8.2),题为Polygonatum cyrtonema Hua polysaccharide exhibits anti-fatigue activity via regulating osteocalcin signaling的研究论文。

本实验将3007周龄雄性C57BL/6小鼠(20±2 g)适应性喂养1周后,随机分为3批,每批100只。每批随机分为5组,包括正常组(Control, n = 20)pcp -低剂量组(L-PCP, 65 mg/Kg/dayn = 20)pcp -中剂量组(M-PCP, 130 mg/Kg/dayn = 20)pcp -高剂量组(H-PCP260 mg/Kg/dayn = 20)和阳性对照组(VC100 mg/Kg/dayn = 20)PCP和维生素C溶解在纯水中。在小鼠258个月大之前,研究人员对它们正常喂食,然后在4周内口服维生素C或不同剂量的PCP。正常组灌胃等量纯水,4周后进行负重游泳试验。在整个实验期间,每只小鼠的体重每周测量一次。从实验结果可以看出,随着喂养时间的延长,369月龄各组小鼠的平均体重逐渐增加。此外,正常组和PCP治疗组369个月大的小鼠体重增加无显著差异,这说明PCP并不会影响小鼠的体重从而影响耐力水平(图1)。
1 PCP对小鼠体重变化的影响。(A) 3月龄小鼠;(B) 6月龄小鼠(C) 9个月大的老鼠
运动耐力的下降被认为是机体疲劳的最直接证据。一般来说,负重游泳试验被广泛应用于评估动物模型的抗疲劳能力记录穷尽游泳时间,可以评价PCP的抗疲劳活性。从下图可以看出,正常组3月龄、6月龄和9月龄小鼠的平均力竭游泳时间分别为65.6 min47.5 min25.2 min(图2。与正常组相比,PCP处理后可显著延长了小鼠的疲劳时间,且呈剂量依赖性和年龄依赖性,高剂量组的平均力竭游泳时间要显著高于低剂量组和正常组,这说明PCP可以增强小鼠的运动耐力能力。
2  PCP对小鼠负重游泳时间的影响
有报道称,力竭游泳运动可导致与疲劳相关的一些血液生化指标发生变化,如LABUN。在运动至疲惫期间,碳水化合物糖酵解将葡萄糖转化为LALA的过度积累导致肌肉和血液pH值降低,抑制糖酵解相关酶的产生和ATP的合成,导致肌肉疲劳。此外,LA解离产生的H+可以抑制Ca2+与骨骼肌钙蛋白的结合,导致肌肉收缩力受损。与正常组相比,PCP治疗显著降低血清LA水平,且呈剂量依赖性和年龄依赖性(图3.A)。BUN也是评价疲劳的重要指标。在高强度运动中,来自碳水化合物和脂肪代谢的能量不足,为了弥补这一点,蛋白质和氨基酸表现出高分解代谢,导致BUN迅速增加。从图中可以看出,与正常组相比,PCP处理过的小鼠血清BUN水平显著降低,且剂量和年龄呈依赖关系(图3.B)。这些结果表明,PCP可以有效缓解运动后LABUN的积累,有助于身体从体力疲劳中恢复过来。
3 PCP对小鼠血清代谢物的影响。(A) LA(B) BUN
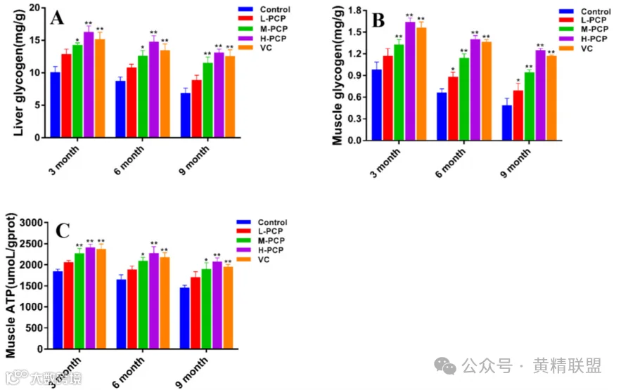
在长时间剧烈运动中,糖原被分解,补充运动消耗的血糖,为机体提供能量。肝脏和骨骼肌中的糖原水平可以反映疲劳程度。糖原储存水平高意味着机体耐受性良好,能够及时补充能量,缓解疲劳。因此,糖原水平的高低直接决定了机体的运动耐力。ATP是正常生理活动的快速能量来源ATP不足可引起各种生理功能障碍,尤其是在肌肉耐力表现方面。与正常组相比,PCP以剂量依赖的方式提高了369月龄小鼠的肝脏和肌肉糖原含量,并增加了肌肉ATP浓度(4)。这些结果表明PCP可以改善能量代谢系统,提高运动耐力能力。
氧自由基的积累是氧化应激和肌肉疲劳的危险因素之一,可通过抗氧化酶消除。MDA是磷脂过氧化的代谢物,是机体氧化损伤的主要指标。SODGSH-Px等抗氧化酶在降低活性氧的毒性中起着关键作用。因此,提高抗氧化酶的活性可能有助于减轻疲劳。从下图可以看出,PCP显著提高369月龄小鼠的SODGSH-Px活性,降低MDA含量,且呈剂量依赖性,这说明PCP可以提高抗氧化酶活性,以防止耗尽性运动引起的脂质过氧化和氧化应激(5)。这些结果表明,PCP的抗氧化性能与抗疲劳活性之间存在相关性。
4 PCP对小鼠糖原和ATP含量的影响。(A) 肝糖原;(B) 肌糖原;(C) ATP
5 PCP对血清MDA (A)SOD (B)GSH-Px (C)活性的影响
骨骼肌在代谢和运动耐力的调节中起着至关重要的作用。肌纤维的形态特征,如横截面,是衡量肌肉骨骼系统健康和功能的关键指标,事实上骨骼肌的功能与肌纤维有关。与正常组相比,PCP可显著增加369月龄小鼠肌纤维横截面积,且呈剂量依赖关系,且与力竭游泳时间呈正相关,这表明PCP可改善肌肉骨骼系统功能。
6 PCP对小鼠骨骼肌形态的影响。(A)骨骼肌H&E染色(×400)(B)肌纤维的横截面积
骨钙素是骨形成的标志,由成骨细胞分泌。最近,骨钙素信号被发现在运动过程中通过促进肌肉对葡萄糖和脂肪酸的摄取/利用来维持肌肉功能。同时,骨钙素可以提高宽型小鼠肌肉中HSL磷酸化(Ser563)的水平,为运动提供足够的能量。从图中可以观察到口服PCP可剂量依赖性地增加369月龄小鼠的BMP-2、磷- smad1Runx2、磷- creb和磷- hsl的骨架蛋白水平(7.A-G)。骨钙素含量明显升高,而前面的实验结论也证明了黄精多糖可以增强小鼠的耐力,这表明PCP的抗疲劳作用可能与骨钙素信号介导的能量代谢有关。
在本研究中,该研究团队选择VC作为阳性对照,因为VC是一种公认的抗疲劳化合物。越来越多的研究表明,抗疲劳功能与抗氧化活性密切相关。VC和黄精多糖(PCP)在体外均表现出较强的抗氧化活性,且VCPCP都能提高369月龄小鼠的SODGSH-Px活性,降低血清MDA含量(5)。同时,PCP处理可进一步提高骨骼中BMP-2、磷酸化smad1Runx2和骨钙素的蛋白水平(图7)。根据以上数据,可以得出以下推论:抗氧化和调节骨钙素信号也可能是PCP发挥抗疲劳活性的重要途径。
因此,以上数据可以表明PCP可以增强负重游泳实验小鼠的抗疲劳能力骨钙素信号的调控可能是PCP发挥抗疲劳作用的主要途径,但仍需进一步的研究来证明骨钙素信号在抗疲劳过程中发挥的作用。上述结果表明,黄精多糖具有较好的抗疲劳活性,在抗疲劳食品开发中具有良好的应用前景。
7 PCP对骨钙素信号通路蛋白水平的影响。(A, B-E)骨骼组织中BMP-2、磷酸化smad1Runx2、骨钙素的表达水平;(A, F-G)骨骼肌中磷- creb和磷- hsl的蛋白水平
转载请在开头注明:本文转载自公众号——黄精联盟
合肥工业大学沈文迪为论文第一作者,罗建平教授与查学强教授为论文的通讯作者。
https://doi.org/10.1016/j.ijbiomac.2021.01.200
扫二维码关注“黄精联盟”公众号
支持单位:
浙江农林大学森山大健康研究院
浙江农林大学新化黄精研究院
新化县颐朴源黄精科技有限公司
浙江农林大学磐安共富学院
编辑:周茜
审核:刘京晶
终审:邹辉

【声明】内容源于网络
0
0
黄精联盟
林业和草原黄精产业创新联盟主办,发布黄精行业动态、前沿科技成果、黄精企业及产品介绍。
内容 72
粉丝 0
黄精联盟 林业和草原黄精产业创新联盟主办,发布黄精行业动态、前沿科技成果、黄精企业及产品介绍。
总阅读0
粉丝0
内容72