任何单位或个人对公示有异议的,可在公示期内,向市科技局书面提出复核申请(受理地址:广州市越秀区府前路1号4号楼东座813室,联系电话:83124175,邮政编码:510032)。单位提出申请复核的,应当明确复核内容及理由,并加盖单位公章,注明联系人和联系方式;个人提出申请复核的,应当明确复核内容及理由,签署真实姓名,注明联系方式。未按上述要求提出复核申请的,不予受理。
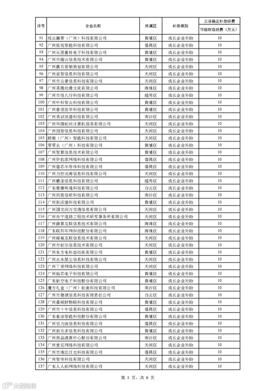
附件:2021年广州市科技型中小企业技术创新专题拟后补助名单.pdf
广州市科学技术局
2020年10月27日
(联系人:科技金融处李立照、许鸿斌,联系电话:83124175、83124076)








乐飞物业·园区运营部
幸先生:18023469300
服务联系咨询

■ ■■■■

广州芯大厦·园区介绍
广州芯大厦作为广州市集成电路产业布局“一核两极”的芯片设计极、广州市集成电路企业最集中聚集的园区,是广州市半导体产业综合服务平台,将为入驻企业提供专业化产业平台与孵化服务,打造华南地区有影响力的集成电路产业孵化基地。我们的招商运营团队将为您提供包括政策服务、项目申报、商务服务、投融资服务等全方位、便捷高效的企业服务。芯大厦致力于将园区打造成为智慧型园区,综合服务提供商-乐飞物业以标准化ISO管理体系,打造高品质精准服务,同时投入使用微信小程序乐飞PARK,在园区建设健身中心、咖啡厅、书吧、便利店等设施,从园区企业员工的工作到生活,提供全天候智慧园区服务。
芯大厦首层联合办公空间于2020年10月正式开业,企业全生命周期的孵化赋能,无缝链接30+芯片设计企业,欢迎芯片产业上下游及相关企业进驻。

芯大厦,期待您的到来!

