

大家好
在刚刚过去的“网络情人节”
你们有度过一个浪漫的520吗

说到浪漫
大家可能感触颇丰
逢年过节
有人会绞尽脑汁给伴侣送惊喜
制造浪漫
而有人却木讷老实厌烦过节
缺乏浪漫

说到这你可能会很好奇
为什么别人的伴侣惊喜连连
而你的大猪蹄子却不懂浪漫
这可能与他的基因变异有关

加拿大科学家在《Scientific Reports》上
发表了一项研究成果
他们发现催产素受体中的CD38基因变异
可能影响着人类间的浪漫行为

1
先简单介绍下催产素
催产素是一种肽类激素
由垂体后叶分泌(男女均可分泌)
其生理作用主要是刺激乳腺分泌乳汁
以及分娩过程中促进子宫平滑肌的收缩

目前已有证据表明
催产素在人类的浪漫行为中发挥作用
比如通过测定血浆中催产素浓度
预测情侣身体接触的频率
已婚夫妇的婚姻质量
以及情侣恋爱的成功率
另外也有研究发现
催产素会让配偶产生归属感
有助于帮助配偶保持忠贞
看到这你是不是有了某些邪恶的想法

别说还真有这么做的
某位姑娘在看到后
为了防止男友出轨
便网购母猪催产素给其下药

不过这位姑娘不知道的是
催产素虽然在大部分胎生哺乳动物中
是高度保守的
但因为它是一种肽类激素
口服基本无效
不仅如此
兽类激素一般浓度较高
服用的话还会对身体健康造成影响
这里也奉劝大家千万不要学习哦

2
为进一步探究生物学原理
催产素受体基因CD38
引起了科学家们的注意
过往的小鼠实验表明
敲除CD38基因的雄性和雌性小鼠
分别在社会认同和母性关怀方面
表现出严重缺陷
这些缺陷与CD38基因依赖的
血浆和脑脊液中
催产素水平下降有关

为进一步确定CD38基因
在人际关系中作用
加拿大科学家以111对异性情侣为样本
在进行20天ECR(事件追随记录)调查
以及基因检测后
发现了CD38基因的一种变异
CD38.rs3796863
与个体和伴侣日常互动中交流行为有关
比如在与伴侣日常互动中表达爱意
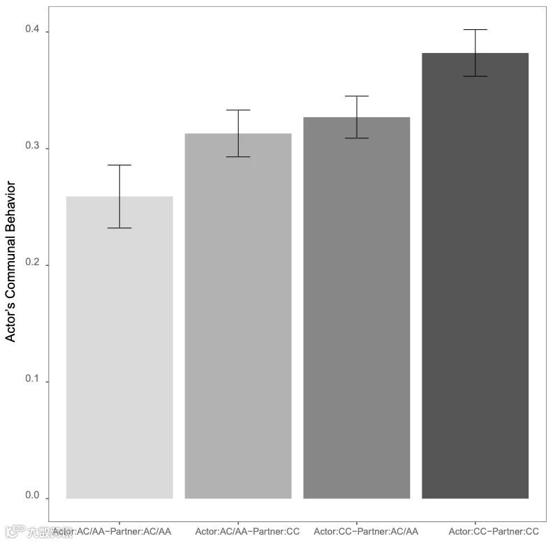
具体到各个基因型上
CC基因型的个体
比AA或AC基因型的个体
具有更高的集体行为
他们经历了较少的负面情绪
如担心、沮丧或愤怒

在恋爱中
CC基因型的人更容易察觉到恋爱中的问题
并为此做出调整
他们在与伴侣互动时的消极感和不安全感较少
因此,恋爱幸福浪漫指数更高

研究者还发现
如果参与者和伴侣都拥有CC基因型时
彼此互动感知最高
会更加体贴、理解和包容自己伴侣
反之
伴侣间很容易产生矛盾和争执
这还没完
如果CC基因型伴侣为AA/AC时
神奇的事情发生了
CC基因型伴侣会弥补AA/AC基因型的缺陷
使二者表现出相同水平的交流行为
幸福浪漫指数同样更高

如此看来
有些人的浪漫是天生的
而有些人需要后天不断努力才行
所以不要再责备你的大猪蹄子不懂浪漫
要怪就怪他的基因吧(doge)
本期盲盒第二个表型
浪漫倾向已上线
快点击下面图片
查看你的浪漫倾向结果吧


