逆水行舟
2022·SUMMER
点击蓝字
关注我们
感谢关注光伏百科公众号。
黎明
✦
从黑暗中醒来
1 总体介绍
1.1 光伏市场
晶体硅光伏(PV)是光伏能源市场的工作母体,从20世纪50年代发明至今。在过去十年中,晶体硅光伏的市场份额一直在80%至90%之间(见图1中的蓝色部分)。晶体硅光伏可以细分为由多晶硅、单晶硅和带状硅制成的电池,其中多晶硅(mc-Si)扮演最重要的角色,紧随其后的是单晶硅(mono-Si)。晶体硅光伏的主导地位有其历史原因:这种太阳能电池类型的早期发明和微电子工业的平行发展;此外,硅和硅太阳能电池的优越性能也促成了晶体硅光伏的发展。
此外,硅和硅太阳能电池的优越性能也促成了晶体硅光伏的主导地位。
硅是一种丰富的材料(大约25%的地壳是由硅构成的)。
硅是无毒的。这对一项绿色技术来说尤其重要。
采用晶体硅太阳能电池的光伏组件在户外长期稳定(>20年)。这对光伏的成本竞争力具有决定性意义,因为目前的投资在光伏系统最初安装后的第10年左右开始收回。
高能源转换效率。高效率可以降低系统成本,并能在屋顶等可用空间有限的地方安装高功率系统。目前,最好的商业硅太阳能电池的效率超过20%[1]。

图1 不同光伏技术的市场份额。数据基于PhotonInternational上发表的年度市场调查。德国亚琛。Photon Europe。
• 进一步降低成本的潜力相当大。尽管有人预测硅质光伏已经达到了成本的最低点,但成本的下降是按照学习曲线进行的,学习率为20%[2](累计安装功率增加一倍,成本降低20%),未来很可能会扩大。
1.2 电池效率的历史发展
1941年,第一个硅太阳能电池由Ohl报告[3]。它的特点是熔融生长的pn-结,能量转换效率低于1%。20世纪50年代初,贝尔实验室的Pearson、Fuller和Chapin制备了具有扩散pn结的硅太阳能电池,取得了巨大的进展。第一批电池是在p型硅上制造的,效率高达4.5%左右[4]。然后他们改用掺砷的n型硅和掺硼的发射器[5]。这使效率提高到了6%以上的数值。这些 "太阳能电池"的第一个应用是作为卫星的动力源。它们在与其他电源如化学电池的竞争中获胜[6]。在冷战期间,太空竞赛关系到美国人和苏联人的国家利益,太阳能电池发挥了重要的技术作用。事实上,今天,光伏板仍然是卫星和其他空间应用的主导电源。直到20世纪50年代末,电池主要是在n型硅上制造的,导致了高达14%左右的卓越效率。然而,人们发现,空间辐射的硬度对具有p型基底的电池的损害较小[7]。当美国人点燃高大气层的核弹,导致卫星的太阳能电池板失效时,这一点变得更加明显[8]。因此,在20世纪60年代初,人们开始转向使用掺磷发射器的p型硅电池[9]。这些电池具有较高的辐射硬度,但开始时的效率较低。直到1973年,p型硅电池的效率才比1960年代早期n型基座电池的效率高。
随着钝化发射极太阳能电池(PESC)在1985年清除了20%的重要障碍,电池发展的第二个强劲阶段开始了[10]。PESC及其后续的钝化发射极和后部电池(PERC)[11]和钝化发射极、后部局部扩散电池(PERL)[12]有一个非常重要的共同特征:表面钝化,以减少表面电荷载体的重组。事实上,这是所有高效硅太阳能电池的一个重要前提,特别是对于互渗式背接触电池[13, 14],其中集电结点在后侧,大多数载流子必须扩散很远的距离。 背面接触电池在创纪录的效率竞赛中一直发挥着重要作用,是当今效率高于22%的最佳商业太阳能电池的基础结构。单晶硅太阳能电池的最佳效率是25%[4,15],相当接近26%左右的"实用 "极限[16]。
尽管单晶硅电池的效率要高得多,但密切关注多晶硅电池是非常重要的,因为今天10个太阳能电池中有5个是由这种材料类型制成的。多晶硅比单晶硅便宜,但不幸的是,由于晶体缺陷和金属杂质的数量较多,材料质量也较低。由于材料质量的这种差异对于单晶电池使用超纯浮动区(FZ)硅的记录太阳能电池来说尤其重要,因此单独报告多晶电池的记录效率是公平的。对多晶硅的主要兴趣开始于20世纪70年代中期,创纪录的效率约为15%。在这种情况下,效率的历史性提高主要是受到在结晶过程中或在电池过程中利用晶粒和晶体缺陷的内部氢气钝化来提高材料质量的影响(见1.16.4.3节)。减少材料质量影响的一个有效方法是减少电池厚度和使用有效的表面钝化。这条道路导致了今天创纪录的麦克硅太阳能电池,其效率为20.4%,厚度仅为99微米[17,18]。
1.3 可实现的最大效率
与太阳能电池的效率有关的一个主要问题当然是可以达到多远。这个问题的答案由Shockley和Queisser在1960年代以一种非常优雅的方式给出[19]。基于对理想情况的详细平衡计算,即唯一的,他们计算出了最大的可实现的效率,对于1.1eV的带隙来说,大约是30%(原文如此!)。

图2 太阳能电池的光谱损失。该图显示了与太阳光谱(AM1.5)有关的硅太阳能电池的最大可实现能量。
图2展示了硅太阳能电池的主要损失机制:光谱损失。它显示了硅太阳能电池的最大可实现能量与太阳光谱的关系。携带特定能量的光子只能产生一个电子-空穴对,即使其能量更高。大于带隙能量的能量在热载流子的热化过程中损失,也就是作为热量(见图2中的灰色部分)。 能量低于带隙能量的光子不能产生电子-空穴对(非吸收;见图2中的右灰色部分)。 这两种损失约占太阳光谱中所携带功率的50%。
与Shockley和Queisser的计算相反,在现实的晶体硅太阳能电池中,由于硅的间接带结构,辐射重组并不发挥主导作用。与此相反,俄歇复合起着主导作用。最近对硅的俄歇系数的精确测定导致计算出硅太阳能电池的最大可实现效率为29%[20]。然而,这样一个没有接触的理想化装置只具有理论意义,无法实现。对于一个现实的但经过优化的硅太阳能电池,预测其效率极限为26%[16]。
2 硅太阳能电池技术的现状
2.1 硅太阳能电池的基本结构
本节将概述目前工业上用于生产硅太阳能电池的技术。一种太阳能电池技术由两个特征定义。
• 太阳能电池的物理结构,它由结构元素的几何顺序组成,以及
• 生产技术,即用于实现这种产品的设备、材料和工艺。对于一个有效的太阳能电池,至少需要三个结构元素。
• 吸收器,吸收进入的光子并将其能量转化为电荷载体的激发状态。通常,像硅这样的半导体被用作吸收器,吸收过程在导带中产生一个电子,也就是说,一个电子从价带转移到导带,在价带中留下一个 "空穴"。
• 一层膜可以防止受激载流子与它的基态重新结合的反向过程。这样的重组可能将电子的激发能量转移到光子的激发中,将电子的能量转移到另一个已经激发的电子上,或导致晶格振动。在目前的技术中,使用由相邻区域的p-和n-导电半导体层形成的结,称为pn-结。
• 允许收集载流子并与其他太阳能电池或外部负载互连的接触。
原则上,这些元素就足够了,但一个工业太阳能电池更复杂,如下节所述。
2.2 工业硅太阳能电池的物理结构
目前,单晶硅和多晶硅太阳能电池的主要物理结构大多被表示为共烧丝网印刷的铝背场(Al-BSF)电池。

图3 铝后表面场(Al-BSF
尽管铝-BSF电池家族中有许多变化,但都有几个明显的结构元素的共同点,约占世界市场份额的80%。在下文中,将描述这些共同的特征(比较图3)。
1. 该电池很可能是由156 × 156×0.2 mm3大小的掺硼晶体硅片制成的,受体密度NA约为1016cm-3,对应的基体电阻率约为1 Ωcm(p型衬底)。硅片来自单晶硅或多晶硅。单晶硅通常是以平行于晶圆大表面的(100)平纹进行生长和切割。此外,这些晶圆通常不是全正方形,而是假正方形,即对角线比匹配的全正方形短5-20毫米,并且在四角有径向的几何形状。Mc-Si晶圆是全方形的,只是角部有轻微的斜面。多晶是指晶体面积大小通常在平方毫米到平方厘米的范围内;因此,每块晶圆的晶体数量在数103个的范围内。晶片通常是非常纯净的,金属杂质含量低于1ppm。在单晶硅晶圆中,氧是主要的杂质,其浓度通常在几1017 cm-3之间。多晶硅晶圆显示出相对较高的金属和碳的浓度,它们聚集在晶界上。氧气浓度则在1017 cm-3或以下[21]。p型衬底的主要功能是在一个大的表面上有效地吸收进入的光子,使少数载流子(电子)扩散,并作为一个良好的导体,使多数载流子(空穴)有效地传输到触点。
2. 太阳能电池的正面(在本文中,正面是指太阳能电池面向太阳的一面)是有纹理的,纹理深度通常为几微米。单晶硅的特点是直立的随机分布的金字塔,而多晶硅太阳能电池的表面主要是随机分布的圆型山谷(比较图4)。纹理的主要功能是增加进入硅吸收器的光子的传输,并增加光子在吸收器内的路径长度(相对于表面的光子传播的斜向和表面的高内部反射)。
3. 电池正面的顶层被掺入了磷。供体浓度ND从硅表面的1020 cm-3以上陡然下降到低于NA的值,在不到1微米的深度形成一个净n型层,片状电阻率约为75Ωsq-1,pn结为几百纳米。主要功能是允许形成这种具有合理厚度的pn-结,以分离电荷载体,使少数载体有足够的扩散长度。(该层内的空穴),并允许有效传导,以使多数载流子(电子)有效地传输到触点。

图4 单晶(左)和多晶(右)硅太阳能电池正面的纹理。
4. 正面进一步涂有约75纳米的非晶氢化氮化硅薄层。该层略微富含硅,导致其折射率约为2.1[22],以有效减少正面反射。 无定形结构允许加入通常超过10at.%的氢气浓度。主要功能是提供基于折射率匹配和四分之一波长厚度的抗反射涂层,以及基于加入的氢的n型表面和体积的钝化(使用钝化一词是为了表示减少载流子重组率,通常是通过技术手段;钝化可以发生在表面或体积内,并相应地表示)[23,24] 。
5. 在前表面形成了一个烧结银浆的H型图案[25],它冲破了氮化硅层[26, 27]。H型图案是连续的,约占前表面的8%。在烧结银浆的下面,纯银晶体沿着(111)平面穿透氮化硅进入硅,深度可达约100纳米,表面积分数通常约为10-30%。烧结银浆的大部分是由圆形和片状的银颗粒密集形成的,它们通过烧结颈部相互连接(比较图5)。银颗粒之间的体积由玻璃熔块填充。H型图案的主要功能是有效的载流子传输和对入射光线的透明度,即低遮蔽性。它可以被细分为两个设备元件,即接触栅线和接触主栅,它们履行特定的功能。
大多数情况下使用三条母线,它们大约1.5毫米宽,20微米高,与晶圆边缘平行等距。它们的主要功能是收集来自接触指的电流,并允许以良好的电气和机械接触(最小粘附力为1 N)焊接互连到涂层铜带。
细栅约100微米宽,20微米高,垂直于主栅线,间距通常为2毫米。在与主栅平行的晶圆外边缘,触指经常是相互连接的。在所有的边缘,有一个通常为1.5毫米的范围,完全没有被触点覆盖。触点的主要功能是为底层n型硅表面提供低接触电阻,并为有效的载流子传输提供良好的横向导电性。 边缘的指状物的相互连接能够从太阳能电池的边缘实现良好的载流子收集,并容忍电池外侧的单个指状物中断。对丝网印刷的手指和硅之间的接触区域的微观结构的分析表明,银块通常与硅表面有一层薄薄的玻璃隔开。已经讨论并发现了不同的电流传输路径,包括与银块紧密接触的长入银晶体,以及由于玻璃层中的金属颗粒允许多步隧道而增强的载流子传输(比较图5)[28, 30-32]。
6. 后侧是完全金属化的。 其主要功能是有效的载流子传输。 同样,背面的金属化可以被细分为两个区域。
• 大约5%的后侧面积被用作接触垫,它们位于前汇流条的另一侧。它们形成一个连续或中断的线路。这些接触垫通常为4毫米宽,由大约20微米厚的银浆组成。通常,也会加入低分量的铝。后面的银接触垫的垂直结构与前面的接触垫相似。铝允许在银接触垫的下面有轻微的掺杂[33]。这些接触垫的主要功能是收集来自金属化区域的电流,并使一个高导电性的电极以后能以良好的机械接触(最小粘附力1N)焊接到互连带。
• 后面的剩余区域由一个多层区域组成,它被一个非金属化的1.5毫米宽的区域所包围,围绕着晶圆边缘。在金属化的后部区域的硅表面被掺入了大约5微米深的铝,以达到最大浓度约为3-4×1018cm-3,向表面慢慢减少[34, 35]。在掺杂的硅表面之上,有一个共晶层,也是大约10微米(见图6)。在共晶层的顶部,有一层烧结的铝浆,有大量的硅的内扩散[36]。这些区域的主要功能是提供低接触和侧向电阻,以及通过实施高低结或后表面场(BSF)对后侧进行钝化。

图5 (左) 电流丝网印刷接触的图片。(右)丝网印刷的银接触处的电流传输模型。提出了银晶体和银块之间三种不同的电流传输路线:直接接触,通过玻璃的隧道,以及通过玻璃中的金属沉淀物的多隧道。经许可转载自KontermannS, Hörteis M, Kasemann M, et al.(2009)退火条件下N型硅上银厚膜触点行为的物理理解。太阳能材料和太阳能电池2009(93)。1630-1635[28](版权归Elsevier公司所有)在SchubertG(2006)晶体硅太阳能电池的厚膜金属化。康斯坦茨大学的学位论文[29]。

图6扫描电子显微镜(SEM)后部铝接触和底层掺杂区域(铝后表面场(Al-BSF))的横截面图像。经许可转载自KrauseJ, Woehl R, and Biro D (2010) 分析用小型丝网印刷结构加工的太阳能电池的局部铝-p+层。在。第25届欧洲光伏太阳能会议和展览论文集,第1899-1904页。瓦伦西亚,西班牙[36]。Copyright2010, WIP, Munich.
7. 太阳能电池的边缘由太阳能电池正面的高n掺杂层和背面的p掺杂层的中断组成。 这个中断至少有几微米宽。 这个区域的主要功能是阻断不需要的载流子从前面的n型发射器到后面的p型层的传输,以防止寄生分流的发生。
在目前的生产线上,这种电池结构的典型效率为单晶硅17.5-18.0%,多晶硅16.5-17.0%。
这种电池结构取得巨大成功的主要动力如下。
• 与可获得的效率相比,实现该结构的相关生产技术非常简单。
• 结构和工艺对晶圆质量变化的容忍度,即基础材料掺杂、金属和其他杂质以及晶界的浓度变化。
• 这种电池结构的成功最重要的一点是相关生产技术的可用性。没有一个重要的结构元素或工艺序列受到专利或其他法律问题的严重保护。这使得许多设备和材料制造商能够加入到最佳和最低成本产品的竞争中。
由于市场上对生产技术的巨大需求,这些驱动力是生产能力非常迅速增加的关键。
2.3 工艺顺序
在下文中,将详细讨论各个工艺步骤。相应的工艺流程显示在图7中。
1. 来料检验和分拣到载体上
入口界面是堆栈中的硅片。作为第一步,硅片通常使用红外透射来检查微裂缝。然后,根据进一步加工是批量加工还是在线加工,它们或者被分拣到湿化学载体中,或者直接被放到传送带上进行进一步加工。
2. 锯切损伤的清除、纹理处理和清洁
所使用的制绒工艺的差异主要取决于晶圆的结晶度。单晶硅片在70-80℃的热氢氧化钠水溶液中与有机添加剂(通常是异丙醇)进行约20-30分钟的蚀刻,以达到无规金字塔结构。主要的反应可以概括为


图7 工业晶体硅太阳能电池生产线的工艺流程示意图。
必须小心处理释放的分子氢和最终蒸发的有机添加剂。 由于蚀刻时间长,温度高,为了达到高产能和高产量,批量式湿式工作台是这个过程的标准。蚀刻通常是通过在酸性溶液中的短暂浸泡来停止。 在这一点上,特定的清洗被部分应用,以去除表面的金属离子和其他杂质。然后进行漂洗,并将晶圆烘干。
通过用同时具有氧化性和氧化物蚀刻性的酸性药剂(如去离子水、HNO3和HF的混合物)处理约1-2分钟,使麦饭石产生纹理。为了更好地控制和减少蚀刻,工艺温度通常降低到10-15℃,因为该过程是强烈放热的。发生的主要反应是

在这个过程中,必须注意释放出的氧化亚氮。纹理处理后,在氢氧化钾水溶液中去除蚀刻过程后留下的薄的多孔表面层(污点)。低温和短的工艺时间使在线湿法台系统得以使用,与基于载体的湿法台加工相比,它提供了更好的材料流动。晶片在级联工作台中被冲洗并干燥。
3. 磷的扩散
经过纹理处理和清洁的晶圆随后被转移到石英载体上进行磷扩散。载体中狭窄的晶圆距离和背对背的处理方式使一个管子中可以同时处理多达500片晶圆。然后,石英载体被转移到热管中,炉子被关闭。对于磷的扩散,纯氮被用作载气,它被引导通过液态氧氯化磷(POCl3)的容器,并与氧气一起释放到炉室内,在晶圆表面进行以下反应。

氯气的产生有利于去除金属杂质,如钠。该过程的这一部分通常被称为预沉积。第二个反应发生在氧化磷上,可以描述为

这种硅酸磷玻璃(PSG)被生长到几十纳米的厚度,然后关闭POCl3的流动,使磷含量保持在一个有限的水平。这允许在随后的驱动过程中,在给定的表面浓度下有更深的扩散。在这部分过程中,温度通常被提高到820-850℃范围内的高原温度。在工艺结束时,对炉子进行吹扫,将载体从炉子中取出。典型的循环时间约为1小时[37]。
在线扩散法已经使用了很多年,而不是管式炉扩散法。在这里,磷掺杂物是在炉子外面施加的,例如,通过超声波喷涂。尽管基于陶瓷辊或串的低污染炉已被证明可以实现清洁加工,但由于一些原因,在线扩散显然已经失去了市场份额[38]。
4. 磷玻璃的去除
磷玻璃在进一步的湿化学蚀刻处理中被去除。由于氢氟酸具有出色的蚀刻选择性,在标准加工条件下,磷玻璃和硅的蚀刻率之比约为400:1,因此使用氢氟酸。然而,由于磷的表面浓度在扩散后非常高,高掺杂表面区域的几纳米的控制性蚀刻是可取的,在许多生产线上使用。加工后再次进行漂洗和干燥。整个工艺周期只需要几分钟,并且可以在批量或在线式的湿式工作台中应用。
5. 抗反射涂层的沉积
作为下一个步骤,氢化非晶氮化硅层被沉积。主导技术是基于硅烷和氨的等离子体增强化学气相沉积(PECVD)。该领域有许多不同的PECVD方法,最重要的两种是低频直接等离子体或基于线性天线的微波等离子体,用于在线处理(比较图8)。等离子体使硅烷和氨部分解离,沉积通过不同的机制发生[40]。基于含硅靶材和氮气和氨气作为活性气体的反应性溅射被作为一种替代方法引入,具有良好的横向均匀性和光学性能,但还没有成功地取代占主导地位的PECVD方法[41]。

图8 两个主要的等离子体增强化学气相沉积(PECVD)技术的示意图。(左)直接低频等离子体和(右)微波天线。经许可转载自Photon International,2003年3月[39]。Copyright 2003 Photon Holding GmbH.

图9 触点形成的三个印刷步骤
6. 丝网印刷
触点的定义是通过随后印刷三种不同的浆料--后部Ag、后部Al和前部Ag浆料--以及随后的干燥来进行的。在印刷过程中,浆料由快速移动的刮刀分配。浆料通过丝网的开口与晶圆基片接触。一个典型的程序显示在图9中,但印刷也可以按照不同的顺序进行,例如,先印刷前面的H型图案。浆料通常含有最大尺寸在10微米范围内的金属和玻璃碎片,以防止丝网堵塞和在接下来的高温步骤中有效形成烧结颈。其他成分是溶剂和其他有机化合物,它们的加入是为了改善印刷性能,使浆料具有触变性,即在印刷过程中应用剪切应力时降低粘度。在过去的10年里,浆料的配方有了很大的发展,这使得大部分的效率得到了提高。因此,发射器片的电阻可以从40增加到近80Ωsq-1。同时,后部浆料的配方也得到了很大的改进,这使得形成更均匀和高掺杂的BSF,并减少了由于硅和铝的膨胀系数完全不同而出现的机械应力。在200℃下进行干燥是很重要的,可以去除浆料中的溶剂,防止扩散。最后的干燥步骤可以包括在最后的烧制步骤中。
7. 丝网烧结
在最后的印刷步骤之后,晶圆在传送带炉中进行进一步的热处理。 在温度上升过程中,在最后一个印刷步骤中加入的低沸点的有机化合物被去除。在第二阶段,剩余的有机化合物在400℃左右的含氧气氛中被燃烧。然后晶片在几秒钟内被加热到800℃左右的温度,之后直接冷却。前面和后面的接触形成是在这部分工艺中进行的。最广泛使用的接触形成模型在图10和图11中以示意图的形式显示。

图10 接触形成的简化模型。(a) 有机物燃烧后Ag厚膜粘贴在<100>Si上的示意图截面。(b)玻璃通过SiNx层蚀刻。(c) 硅和玻璃之间的氧化还原反应。形成了Pb。(d)液体Pb开始熔化Ag。(e)Ag-Pb熔体与Si反应。形成倒置的金字塔。(f)冷却时,银在(111)-硅平面上重新结晶。经许可转载自SchubertG (2006) 晶体硅太阳能电池的厚膜金属化。康斯坦茨大学的学位论文[29]。

图11从丝网印刷的铝浆中形成铝的后表面场和后接触。(1)干燥后的浆料;(2)在660℃时,铝发生熔化,硅溶解在混合相中;(3)在700℃左右,所有的铝完全熔化,硅大量加入;(4)在峰值温度下,液相具有最大厚度;(5)在冷却过程中,硅随着铝的加入而重结晶,而混合液相中的硅含量减少,(6)在共晶温度下,铝和硅的混合相凝固。经许可转载自HusterF (2005)研究丝网印刷铝浆在硅太阳能电池上形成BSF的合金化过程。在。第20届欧洲光伏太阳能会议论文集,第1466-1469页。西班牙,巴塞罗那[42]。Copyright2005 WIP, Munich.
Schubert[29]的模型中描述了正面接触的形成过程。在烧制过程中,浆料中含有的玻璃蚀刻了电介质层,并与底层硅直接接触。然后,液态玻璃促进银颗粒中的银和硅溶解到这个液相中,以及金属玻璃颗粒溶解到银颗粒中。硅的溶解优先沿着硅内强结合的(111)平面出现,形成特殊形状的晶体[28]。
8. 边缘隔离在接触烧制之后,晶圆现在是一个太阳能电池,可以提取功率。然而,功率受到太阳能电池边缘的严重分流路径的限制,在那里,高掺杂的发射器与高掺杂的Al-BSF相遇,产生高-高结,允许大量的隧道或更糟。10年前引入的工艺是通过激光烧蚀去除近边缘区域的n型导电层。通常情况下,该区域是使用具有纳秒脉冲持续时间的紫外固态激光器进行烧蚀。激光束沿着边缘被引导到200微米的距离,形成一个深度约为10微米,宽度为30微米的凹槽。
这个序列有一个重要的偏差,它是基于前后结点的不同分离。最近,使用单面湿式化学蚀刻后部掺磷层的分离已经成为一种有利的结点隔离技术。 它与PSG玻璃移除结合进行,使设备和消耗品成本保持在较低水平。与正面的激光边缘隔离相比,它节省了少量的有源电池面积,通常能带来轻微的效率提升。
9. I-V测量和分选
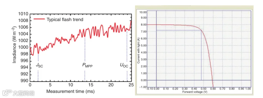
电池的加工完成后,对电池的电气和光学特性进行测量。电流-电压特性是通过一个强度为几十毫秒的闪光灯的照明来确定的。从V = 0到V = Voc的整个测量过程大约需要20毫秒(比较图12)。测量尽可能接近标准测试条件,即使用1000W m-2的辐照度,光谱分布符合归一化的AM1.5g光谱[45],电池温度为25℃,光线垂直入射。 辐照度与标准测试条件的偏差被放置在被测电池旁边的监测电池的信号所考虑。此外,为了提取关于电池电性能的进一步信息,电池在一个较低的光照水平下和黑暗中进行测试。进一步进行视觉测量,特别是控制细胞的视觉外观。最后,电池被分类到性能组。

图12 (左)闪光灯测试仪高原上的典型辐照度。虚线表示典型的入射率与短路电流密度(Jsc)、最大功率点(PMPP)和开路电压(Voc)的电气测量。(右图)由闪光灯测试仪拍摄的I-V曲线。转载自KriegA (2007) Inbetriebnahmeund Weiterentwicklung eines automatisierten IV-Kennlinienmessplatzes undEntwicklung eines Verfahrens zur Materialverfolgung in derSolarzellenproduktion.硕士论文,柏林技术和经济学院[44]。
1.3 基本参数的影响
为了优化效率,也就是减少硅太阳能电池的功率损失,了解不同的电池和材料参数的影响是很重要的,比如说体积寿命和电池厚度。一般来说,基本参数的影响可以根据相关的损失机制来分类。
1. 每一个传入的光子没有被激发到传导带的电子的比率,通常被称为光学损失。在这里,可以根据以下情况作进一步区分
• 损失发生在光子没有进入太阳能电池的时候。这可能是由于电池活性表面的金属化区域的反射所致。
• 光子进入电池,但在电池内没有吸收的情况下再次离开。这主要由前部和后部的内部反射率控制,并发生在近带隙光子上。
• 光子在电池中被吸收,但没有发生电子从价带到导带的激发,这主要发生在重掺杂区的自由载流子吸收红外辐射的情况下。
2. 被激发但没有传递到外电路的电子,通常被称为电损失。电损失可细分为
• 由于电子与空穴的重新结合造成的损失。重组发生在晶圆的每个结构元素中(不包括沉积层和触点)。
• 由于(多数)电荷载流子的散射,导致欧姆热的损失。这发生在太阳能电池的所有结构元素中。
太阳能电池的物理学可以由一些基本方程很好地描述,部分是时间和空间上的微分类型。因此,对太阳能电池性能的精确计算只能通过一到三维的数字模拟器获得。由于健全的多维计算在问题的描述和基于计算机的数字计算方面都很耗时,使用PC1D程序的一维方法可能是模拟太阳能电池最广泛使用的方法[46]。由于模拟器的一维特性,使用了一些块状的参数。表1给出了一组标准参数的概述,这些参数可用于描述和模拟效率为18.0%的丝网印刷单晶硅太阳能电池。
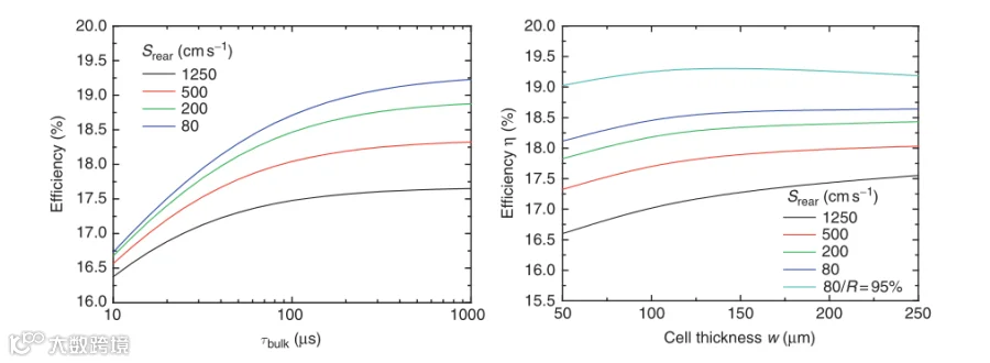
评估相关参数的变化对太阳能电池效率的影响是非常有意义的。三个参数与确定太阳能电池底部的重组最为相关:太阳能电池的厚度、大量载流子寿命和后表面重组速度。改变太阳能电池的厚度和体载流子寿命只能通过改变用于加工的硅片来实现,这具有特殊的重要性,因为硅片在整个太阳能电池中占有很大的成本份额(60-70%)。我们已经进行了PC1D模拟,以可视化这些参数变化对标准工业电池的影响,基于表1所示的参数集,应用后表面重组速度在Srear = 1250 cms-1(不良Al-BSF)、500 cms-1(标准Al-BSF)和200 cms-1(优秀Al-BSF)范围内的变化。到目前为止,只有局部Al-BSF的电介质钝化证明了低至80 cm s-1的值,这也改变了后侧的内部反射率,其值高达95%[50, 51]。


图13 PC1D模拟的电池效率,针对不同的体积寿命τbulk(左,电池厚度w = 200 µm)和电池厚度w(右τbulk=84 µs),不同的后表面重组速度Srear。右图还包括增加内部后方反射率(95%)的结果。Srear= 500 cm s-1可以被视为最先进的。
在图13中,显示了在不同的后部重组速度下,对体积寿命和电池厚度的变化进行PC1D模拟的结果。在10到1000微米的范围内,体寿命对效率的影响很明显。由于更主要的体层重组,降低后部重组速度会大大增加灵敏度。
电池厚度对效率的影响显然取决于后部重组速度。 对于1250cm s-1的高Srear,厚度的减少将大大降低太阳能电池的效率。如果Srear降低到80厘米/秒,这种降低只是很小,但仍然很明显。但是,如果我们进一步开启电介质钝化后部增加的内部反射率,那么效率实际上会增加到100微米左右的厚度,之后只是降低。
1.4 改进的策略
1.4.1 介质表面钝化
1.4.1.1 表面钝化的影响
所有显示效率高于20%的电池结构都有一个有效的电介质表面钝化层。如前所述,特别是后侧是非常重要的。为了实现电池结构的表面钝化,几乎所有的后表面(大约99%)都覆盖有介电层,如SiO2、SiNx或Al2O3,以大大降低后表面重组速度Srear。在后部只有小的点状或线状金属结构形成基底接触(见图14)。
然而,目前工业硅太阳能电池最先进的后表面结构是丝网印刷和热烧的Al-BSF(见1.16.2节),它有两个主要限制。(1)由于烧制过程造成的硅片弯曲和(2)较低的电气性能。

图14 前面和后面的表面钝化(蓝色)的硅太阳能电池。只有小的点状金属点(黄色)形成基底接触。

图15 不同后表面结构的内量子效率(IQE)在1Ωcm 250 µm厚的浮动区(FZ)-硅上的高效前结构。注意。Al-BSF电池短波长的低IQE(开放的钻石)是由于烧制过程中前表面钝化的退化。然而,从900纳米开始的IQE与工业电池的性能是相同的。缩略语,见表2。

和光学质量。特别是,后表面重组速度Srear是一个关键参数,但在文献中发现的数值范围很大。这使得评估Al-BSFs相对于电介质钝化的潜力变得很困难。
因此,对不同的后表面结构与不限制电池性能的高效前结构相结合进行了实验研究[52]。这使得确定表面重组速度Srear和内部反射率Rint相当准确成为可能[53]。
图15显示了不同后部结构的测量的内量子效率(IQEs),从低质量的欧姆铝接触到PERL[53]。
Al接触到PERL[54]/局部后表面场(LBSF)[55]后表面。有效的Srear和Rint是通过将模拟模型与IQE和反射测量进行拟合而提取的(见表2)。应该指出的是,自这次调查以来,Al-BSF形成的质量已经得到了改善。因此,在第1.16.3节的模拟中,已经使用了500cm s-1的Srear值。
1.4.2 介质层的钝化机制
有两种不同的机制导致良好的表面钝化(关于这个主题的全面概述,见参考文献57)。(1)界面状态Dit的减少和(2)场效应钝化,即通过在钝化层中加入固定电荷Qf来强烈减少一种载流子类型。尽管这些机制或两者的结合导致不同的过剩载流子密度Δn的低表面重组速度,但由此产生的S(Δn)曲线显示出不同的特征(见图16)。热生长的SiO2层更有效地达到了界面状态的减少,而场效应钝化连同Dit的适度减少对于PECVD沉积层(如SiNx)更为典型。SiO2的典型值是Dit=1010 cm-2 eV-1和Qf=1010cm-2,而SiNx的值是Dit= 1011 cm-2 eV-1和Qf=1011 cm-2。
1.4.3 表面钝化的层和过程
由于在20世纪80年代成功实现了高效器件的钝化层,在过去的十年中,各自的加工技术一直是一个激烈的研究和发展领域。根据其主要的钝化机制,我们可以将这些层细分为四组。

图16 两种钝化方案的影响简图,减少界面态密度Dit(虚线)和场效应钝化(虚线)。
1. 热生长的二氧化硅是第一个效率高于20%的太阳能电池所使用的钝化层。热生长(800-1000℃)的二氧化硅在p型和n型表面产生了良好的钝化作用。氧化过程是独特的,因为它不像下面描述的所有其他层那样是一个单纯的沉积过程,但它实际上在加工过程中消耗了确定厚度的硅,大约占总层厚度的45%[58]。这导致了一个事实,即只有在几纳米的厚度范围内,层的形成率才是线性的,它受到反应物通过已经存在的氧化层的扩散的限制。因此,增长速度由线性-抛物线模型描述[59, 60]。在标准条件下,氧化作用在两边同时发生。 它可以作为一个相当薄的层,约10纳米或相当在100纳米的范围内。如果该层同时具有光学功能,可作为前面的减反射层或后面的反射层,则通常使用后者的厚度。当硅氧化物被铝覆盖并暴露在500°C以上时,其温度不稳定。在这种情况下,氮化硅盖层是一个合适的选择。氧化被认为过于昂贵,但管式炉的容量较高和在线氧化成本较低[61]。
2. 非晶态氢化氮化硅(a-SiNx:H)[62]、氧化硅(a-SiOx:H)[63]和碳化硅(a-SiCx:H)[64]层对p型表面具有良好的钝化作用。这些层的共同之处在于,它们可以在1012 cm−2范围内提供高密度的固定正电荷,特别是对于氮化硅。这些层的沉积通常使用PECVD进行。溅射也已成功地应用于表面钝化目的[65]。具有高内置正电荷的A- sinx:H钝化层的一个重要实际问题是,它们产生了低掺杂p型硅的反转层,这可能导致非最佳结的转移[66]。原则上,它们更适合于n型硅钝化,在那里它们导致大多数载流子在表面的积累。一般来说,可以使用与抗反射层相同的多种等离子体激发系统来沉积这些层。
3. 基于单片原子层沉积(ALD)技术的研究表明,氧化铝经过热处理后具有良好的钝化性能和高负电荷密度[67]。已经进行了几次尝试,把ALD方法转变为工业上可行的系统。然而,通过PECVD或溅射沉积的层也显示出了优异的钝化效果[68]。 对于工业p型Si钝化,这似乎是一种高质量、低成本的选择。氮化硅覆盖层已被证明可以提高氧化铝的热稳定性,也适用于接触烧结[69]。
4. 本征非晶硅(i a- si)是一种半导体,具有出色的钝化性能[70],但在T > 450°C时热不稳定[71];因此,最好采用全低温工艺,类似三洋的异质结内禀薄层(HIT)方法(见第1.16.6.4节)。
1.5 金属化
1.5.1 前联系
由于正面触点面向太阳,它们必须同时满足各种要求:
• 低遮阳损失,由于有效的电池区域由金属覆盖。
• 金属/硅接触电阻率低。
• 高导电性,以便有效地将电流输送到集电结构(如母线槽或通孔)。
• 可焊性和机械强度对拉拔力的模块。
这导致丝网印刷接触的银浆糊,必须在印刷过程后被点燃。丝网印刷是一个非常可靠的过程,并允许相当小的结构,特别是如果他们是平行排列,如前接触栅线的标准太阳能电池。虽然可以在实验室规模(约60µm)打印出非常细的线条,但目前大部分生产都是如此线条制造更宽的栅线,以允许稳健的生产。印刷方面已经取得了非常显著的进步在设备和材料方面,浆料供应商正在开发能够接触低掺杂高性能发射体的浆料,以非常高的产率保持所有上述要求。除丝网印刷外,模版印刷[72]也用于实验室规模,但至今尚未投入生产。要将这一著名技术从印刷电路板(PCB)行业转移到光伏行业,一个特殊的挑战是太阳能电池的接触网的形状。平行的手指穿过屏幕,大大降低了屏幕的稳定性。小型的桥状结构增加了这种稳定性,但这增加了屏幕的成本,并有可能中断这些地方的接触。另一种形成正面接触的印刷技术是基于挤压。在此过程中,浆料被强制通过一个小的孔板,通过孔板与晶圆的相对运动,在晶圆表面沉积一条非常高的长径比接触线。该技术必须避免堵塞,并应使用一组平行操作孔,以允许高吞吐量。 最近,许多作者已经证明了这种非接触技术非常有前途的结果[73-75]。
一种非常有效的改善正面接触的方法是基于两步过程[76]。 在这个过程中,第一步是种子层的沉积。这种种子层被优化为低接触电阻率和对晶圆片的机械附着力。此外,它可以沉积在非常精细的结构,因为它不必具有高纵横比。在这些精细的结构上,沉积了与种子有电接触的第二种金属。第二层将携带电流,因此必须有相应的横截面积。
实现这种结构有多种选择。不同浆料的双重印刷与标准制作工艺关系最为密切。各种工人已经显示出了很好的结果,甚至生产数据也已经显示出了与标准单张印刷相比的优势[77,78]。
种子层的气溶胶打印[79,80]或喷墨打印[81]允许种子层的非常精细的结构,并且使用电镀步骤可以通过在其上镀金属来强制该种子层。使用光诱导电镀工艺[82-84](图17),可以使用在线电镀系统以非常高效的方式进行该工艺。这种类型的接触形成已经取得了良好的结果,各种材料和生产工具已经在工业生产线和研发环境中测试和使用。
有趣的是,这种类型的电镀也允许镀铜。为了降低太阳能电池的材料成本和避免银资源问题,铜可能变得非常重要[85]。目前,各个小组都取得了很有前景的成果[86-89];特别是铜金属化对太阳能电池性能影响的研究是一个重要的课题,因为有效的铜屏障将允许使用这种具有成本效益的材料[86,90]。
上述种子层的共同之处在于,它们是通过减反射涂层烧制而成的。如果通过先前的工艺已经打开了减反射涂层(例如,通过激光烧蚀或局部蚀刻),则可以使用其他种子层[91,92]。在早期的高效率研究中,采用了金属叠层(如Ti/Pd/Ag)。BP太阳能公司利用了镍会沉积在暴露的硅上这一事实,使用了镀镍触点[93]。 这些镍层可以退火形成硅化镍,这允许良好的机械性能。 在这些种子层上,可以镀银或其他金属(图18)。镍和铜可以成为一种非常具有成本效益的组合,也可以集成在高效率的概念中[94]。

图17光致镀银工作原理太阳能电池在背面接触。通过照亮电池,在正面接触处产生一个负电位,吸引正的银离子。

图18镀前接触指,由薄的Ni种子层(见前面部分)和厚的Ag导电层组成。
1.16.4.1.1 回来联系
当前太阳能电池的背面触点将在第1.16.2.2节和1.16.2.3节中描述。应用的金属浆料在过去已经进行了优化,以允许薄晶圆的使用,而没有太多的晶圆弯。此外,多年来通过各种方法降低了所形成的接触的表面复合速度。Huster和Schubert[35]描述了添加硼对增加背表面场掺杂程度的影响。然而,目前仅有非常有限的文献关注改善铝触点的光学性能[95]。在过渡到太阳能电池后表面的局部接触过程中,铝浆料的作用发生了变化。它将只与一小部分硅接触,而最大的一部分铝将被放置在钝化介质层上,这也会导致高内部反射率。 因此,针对这一目的的浆料优化仍在进行中,但许多工作人员已经报告了使用改性传统铝浆料的PERC太阳能电池的卓越效率。
形成背面接触的另一种方法是使用物理气相沉积方法[96,97]。这里使用的是溅射或热蒸发或电子枪蒸发。由于形成的层具有非常高的导电性,这些方法允许在相当低的金属板厚度下实现相同的性能。
1.5.2 大部分的属性
当然,如果材料质量太低,即使是最好的电池结构也不会导致高效率。因此,研究光电材料的电活性缺陷具有重要的意义。特别是对于mc-Si,由于其含有大量的金属污染[98,99]和晶体缺陷,了解热处理、吸除[100-102]和氢钝化[103],以增加载流子扩散长度非常重要。这些措施对于获得小的(1 cm2为20.4%)[17]和大的(243 cm2为19.5%)[104]多晶衬底上的记录效率非常重要。
在标准电池过程中,吸除主要是通过磷扩散过程完成的。通过这一步可以非常有效地去除金属杂质[100]。然而,如果主要的寿命限制效应是晶体缺陷,那么应用氢钝化技术来提高载流子寿命至关重要[103]。
由mc-Si缺陷引起的其他影响包括分流和结击穿[105,106]。这对于这些电池在组件中的应用尤其重要,在组件中,被遮蔽的太阳能电池可以被其他被照亮的电池反向驱动。
为了降低材料成本,已经进行了一些尝试,使用其他程序,如经典的西门子工艺来清洁冶金硅。由此产生的材料被称为太阳能级或升级的冶金硅(umg-Si)。这类材料的共同特征似乎是掺杂硼和磷原子不可避免的补偿。这会以不同的方式影响电池和材料的性能,目前正在研究中[107-112]。
电池性能对材料质量的依赖可以通过使用更薄的晶圆来降低。因此,扩散长度/厚度的决定比随着厚度的减小而增大。这对于高效电池结构尤其有趣,因为高质量的表面结构能够在电池厚度下降时保持电池性能。例如,采用全表面钝化电池结构的mc-Si硅片在99个µm厚的硅片上的效率达到了20.4%,创世界纪录,而相同材料类型的218个µm厚的硅片[17]的效率仅为19.9%。使用高效电池结构,在小于50µm的极薄单晶晶片上,效率超过20%[113]。
大多数单硅太阳能电池制造商使用掺硼直拉硅(Cz)作为起始材料。这种材料的少数载流子寿命由于光照或载流子注入而严重退化[114,115]在相当短的时间约24小时后达到稳定的最终值。这种寿命降解可导致电池效率下降零点几到绝对超过1%,这取决于电池结构的质量。亚稳态缺陷与硼和氧的存在密切相关[116,117]。

为了计算一个现实的潜力从金刚石Cz硅太阳能电池,一个工业高效细胞结构细致金属化、浅well-passivated发射器和一个后置表面结构与介质钝化和地方laser-fired点联系是考虑(见表3)。
博特等。[48]给出了降解状态下的寿命的基本极限,它是氧和硼浓度的函数。需要注意的是,这个寿命对未加工的晶圆有效。在一些文献[48,49]中,报道了700℃以上的高温步骤可使亚稳态缺陷的浓度降低2-3倍。由于这是我们的细胞过程(发射器扩散,…)的情况,我们假设Bothe等人的基本寿命极限乘以2:

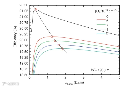
对于这里给出的计算,典型的氧浓度在6到9之间1017cm-3作为参考。图19显示了体扩散长度的结果。没有氧气含量的材料和实际浓度的材料之间的巨大差异是显而易见的。在较低的基极电阻率下,俄歇复合等固有复合通道起主导作用,尤其是对于理想材料。必须记住,我们选择了1000µs的非常高的剩余寿命。这在现实条件下并不总是容易实现的,因为由于大多数金属杂质的不对称俘获截面,即使杂质浓度较低,p型硅的寿命也会降低[123]。然而,在理想条件下评估电池结构的潜力是一个有价值的案例研究。

图19不同氧浓度下,掺硼直拉硅(Cz)体扩散长度随基底电阻率的变化。

图20不同氧浓度下,效率随基底电阻率的变化。每个氧浓度的最大效率用圆表示。根据每个基底电阻率优化后触点的间距。这些点表示每条曲线效率最高的点。
对于后表面结构,我们选择了激光点火触点(lfc)和退火热生长氧化物的组合,因为这样可以产生非常高的效率,而且表面复合速度的掺杂相关参数化是已知的[119,120]。由于技术原因,即沉积温度较低,选择Al2O3作为后表面钝化层可能更好。然而,它不会显著改变我们的计算结果,因为从最近的出版物
[124]众所周知,使用Al2O3可以获得与热生长氧化物几乎相同的电池参数。点触点的俯仰由基于电子表格的软件PitchMaster[125]优化,作为重组损失和基地扩散阻力的折衷。PitchMaster为每个碱基掺杂浓度计算最佳点接触间距的电池参数。 电池厚度W为190µm时,基底电阻率的函数结果如图20所示。
虽然该电池结构提供了超过21%的效率潜力,但氧污染材料的最佳值在低氧浓度和高氧浓度下分别在19.6%和20.1%之间。这清楚地表明,在当今掺硼的cz生长的硅上,电池的潜力降低了,并增加了对替代品的需求。
有三种方案有望减少这种退化: (1)使用更薄的晶圆来提高扩散长度/细胞厚度的比值[126];(2)降低硼或氧浓度以降低光诱导降解[49,127];或
(3)最近Herguth等人证明的再生过程的应用。[128]。
此外,替代材料类型也很有趣。事实上,掺杂镓的硅电池没有出现降解[129]。这种材料出现的唯一问题可能是由于镓的低偏析系数导致锭上掺杂浓度的较大变化。然而,适应的细胞结构在较宽的掺杂范围内表现出良好的结果[130]。
将氧浓度降低到低于1 ppma的值也会导致光诱导降解的完美抑制。磁性直拉硅(MCz)显示出非常高的效率潜力[129,131]。据报道,几年前,另一种材料PV- fz™[132]被引入到大规模光伏生产中,其氧浓度可以忽略不计。这种材料在p-和n-掺杂时表现出非常高和稳定的载流子寿命,但不幸的是,这种材料的可用性目前还不清楚。
另一种感兴趣的材料类型当然是n型硅。n型cz生长的材料即使在显著的氧浓度存在下也不表现出载体诱导的降解[116,133]。 对于mc-Si,我们也测量到了优异的少数载流子寿命[134]。这种优越的材料质量主要是由于对于大多数相关缺陷来说,电子与空穴捕获截面的比值远大于统一[123](图21)。
因此,与p型硅相比,在相同缺陷浓度下,n型硅的少子寿命要大得多,因为该参数主要受空穴捕获截面(σp)的影响。因此,虽然少数载流子的扩散常数约为2.5-3倍,这减少了有效扩散长度,但这一效应远远被现实材料的较高寿命所弥补。
这些优越的复合特性也适用于表面。 常见介电钝化层SiO2或SiNx的硅界面捕获截面也是高度不对称的,即σn l .σp[135-137]。在实践中,这意味着n型表面更容易钝化。与这些物理优势相比,技术上的缺陷是事实
第1.1.2节所述的经典电池工艺与n型硅不直接兼容。
在以下两节中,将分别详细讨论p型和n型硅的电池结构。

图21晶体硅中不同杂质的捕获截面作为能级的函数。转载自MacdonaldD和GeerligsLJ(2004)《应用物理快报》85(18): 4061 - 4063[123]。版权所有,美国物理研究所。
1.6 p型硅上的高效电池结构
1.6.1 p型器件高效的主要途径
幸运的是,有多种选择可以超越目前工业上实现的太阳能电池效率。 这些选择的一部分可以纳入到目前的太阳能电池生产过程中,而不需要显著改变模块的制造,因为在电池的两边都有接触的概念将不会被触动。另一种选择与太阳能电池的结构变化有关。因此,第一个目标是通过形成反向接触太阳能电池来减少遮阳损失。然而,到目前为止,这些概念都没有实现,没有改变模块的制造过程,这是市场进入的障碍。由于这第二组变化也旨在改善整个太阳能电池模块的性能,最终将期望在电池级和模块级获得个人增益,这应该使开发合适的模块技术在中期非常有吸引力。
1.6.2 钝化发射极和后电池
当主流的太阳能电池制造聚焦于Al-BSF太阳能电池时(如1.16.2节所述),不同的研究小组制造了两边都有接触的非常高效的太阳能电池。但技术大规模生产的要求之间的差距和需要洁净室环境中,光刻过程和特殊清洗序列制造高效细胞不允许发达的直接转移概念马上为了提高和改变Al-BSF电池。 目前,各种技术已经进入光伏产业,使得那些在光伏研究初期就已经发展起来,并且在当时已经达到了非常高的性能水平的概念得以转移。
1989年,布莱克等人。 展示了PERC(见图22)太阳能电池,其效率达到22.8%[11],在后来的研究中甚至超过23%[138]。这一概念是基于基本的器件结构改进,通过引入具有局部点接触的介质钝化后表面。由于降低了表面复合速度和改善了光学性能,与不具有介质钝化表面的电池相比,电池参数得到了改善。进一步
减少点接触的重新组合,并允许使用高电阻率材料,PERL(见图23)太阳能电池结构是由赵等人介绍的。在1990年[140]。有了这个概念,电池效率已经达到了25%。这些概念与点接触背接触太阳能电池的钝化和接触概念有关Sinton和同事[141,142]。

图22参考文献11中提出的PERC(钝化发射极和后电池)太阳能电池的结构。经Blakers AW等人许可转载。(1989)《应用物理快报》1363.版权所有1989年,美国物理研究所。

图23 PERL(钝化发射极,后部局部扩散电池)太阳能电池结构。经赵等人许可转载。(1990)太阳能材料与太阳能电池41-42:87 - 89。[139]。版权1990爱思唯尔。
虽然PERC和PERL的这些结果都是在高质量的FZ硅片上取得的,但使用这些结构在mc-Si衬底[101,143]和Cz硅[144,145]上也取得了出色的结果。所谓的RP-PERC(随机金字塔、钝化发射极和后部单元)方法大大降低了工艺的复杂性,其中,除其他外,用于正面纹理的倒金字塔工艺已被随机金字塔纹理取代(另见第1.16.2节),节省了多达四个光刻步骤,在小面积的FZ器件上实现了高达21.6%的出色效率[144]。进一步的工作集中在通过使用激光烧蚀工艺打开介质钝化来简化局部后部接触的形成[146]。
使用LFC方法,在铝层已经存在的情况下,用激光将点接触打穿钝化层,可以明显地降低工艺的复杂性和成本[147]。 另外,也可以采用所谓的工业钝化发射器和后置电池(i-PERC)工艺[148],其中在丝网印刷铝沉积之前打开电介质层,随后进行烧制。 i-PERC工艺已被不同的小组成功应用[50, 149]。 各种研究人员对复杂的局部合金化过程进行了详细的分析[150-152]。据报道,在合金化过程中,来自局部接触以下体积的相当数量的硅分布在铝层中,铝层中的液相允许硅在熔体中快速运输[150]。这种硅的耗尽可能导致空洞,这取决于工艺条件和接触的大小,目前正在进行调查[152, 153]。
Nekarda等人[154]证明了LFC方法也与丝网印刷的铝层兼容,这使得LFC可以被整合到已经很普遍的丝网印刷铝背接触工艺中,这也与丝网印刷的正面接触兼容。文献[96, 104, 155-158]报道了使用这种类型的电池所取得的最新进展,表明效率超过19%。使用LFC技术,甚至在多晶硅衬底上也取得了令人瞩目的高值,导致大面积多晶硅太阳能电池的最高效率为19.5%[104]。在本文中,我们也用这种电池制造了模块,导致了17.8%的多晶硅基模块的效率,这代表了一个新的世界纪录。
使用高容量的系统,铝层也可以通过物理气相沉积(PVD)大量制造[97],并且在使用LFC与PVD层相结合方面取得了显著进展[159]。
由于这些改进也伴随着对基础物理学的改进和支持,我们鼓励读者查阅相关的出版物,以深入了解相应的结构[53,120, 121, 125, 160-163]。
1.6.3 金属包覆式太阳能电池
看一下标准的Al-BSF太阳能电池,由母线引起的大面积遮挡立即变得明显。在目前的模块中,使用了多达三条母线(宽度约为1.5毫米),这使得总的遮阳损失约为入射光线的3%(基于156×156平方毫米大小的太阳能电池)。此外,互连带不能做得很厚,但必须考虑到对电池的机械影响,这导致使用相当薄的互连带,导致模块中的串联电阻损失。基于这一挑战,Kerschaver等人提出了金属包覆(MWT)的概念。[164].在这个概念中,太阳能电池的母线被放置在后表面。一组小的金属化通孔,可以通过激光加工钻出来,将这个母线穿过晶圆与前面的接触网连接起来(见图24)。通孔的大小和数量在很大程度上取决于整个电池的设计,但可以有很大的自由度来改变。如果大部分太阳能电池的电流要通过孔来传输,那么直径通常要大一些,以便以允许孔的低串联电阻贡献。这导致了所谓的PUM(引脚模块)的想法[165, 166],这与休斯飞机公司在1975年就提出的概念密切相关[167, 168]。

图24 MWT(金属包覆)太阳能电池的图片和结构。
在与Kerschaver最初的设计建议[164]类似的概念中,应用了更多和更小的孔,这与指头平行的标准前栅兼容。在这两种情况下,太阳能电池的特点是在正面有一个电流收集网格,但互连终端位于背面,这使得新的模块概念可以被应用。这样一来,串联互连可以通过将太阳能电池连接到一个结构化的导电基片上来完成[169]。已经证明,这种类型的互连可以通过非常有效的取放自动化来进行,导致非常高的产量和非常低的破损率[170, 171]。在这项技术中没有使用互连带,这使得在标准模块制造过程中出现的电阻损失最小化。此外,使用导电粘合剂成为可能,这可以大大减少模块内的机械应力。总的来说,不同的工作者已经证明,MWT技术允许在电池层面上获得0.4-0.6%的绝对效率,在模块层面上获得0.3-0.4%的额外效率,从而使基于MWT的模块获得大约1%的绝对效率[172-174]。这导致了mc-Si上高达16.4%的出色的模块效率,这代表了当时的模块世界纪录[174]。相应提出的MWT太阳能电池的制造工艺与大多数用于制造Al-BSF太阳能电池的标准工艺非常接近。对标准电池工艺的唯一修正是钻孔和后部接触隔离,其应用是为了确保后部负母线与铝制正极的分离。如果后部负母线(同时对通孔进行金属化处理)使用的浆料与用于正极性焊盘的浆料不同,则可以选择增加第三道工序。选择不同的浆料可以带来轻微的效率优势,这可以过度补偿额外工艺的成本。各种公司和机构已经证明,这种电池的制造似乎是可行的[175-178]。目前,模块生产技术和相关材料的成本似乎是引进MWT太阳能电池的限制因素,尽管目前非常有前途的技术正在发展,使MWT模块的近期大批量制造成为可能。
1.6.4 MWT-PERC
通过前面章节中描述的PERC电池的优点与上一节中描述的MWT太阳能电池的优点相结合,得到了一个非常有吸引力的具有钝化表面的MWT太阳能电池的概念,即所谓MWT-PERC。这种电池已经被不同的小组证明了[179-181],并且已经证明了这个概念--因为它仍然非常接近于标准的制造工艺--从大多数最初旨在支持标准电池的发展中获益,这样MWT-PERC电池就能够利用标准工艺的改进,同时允许显著提高效率[182]。最有趣的是,MWT-PERC太阳能电池的结构优势可以通过将后部减去母线放在后部钝化层的顶部来实现。这样就实现了协同效应,因为母线不仅被移到了后表面,而且在重组方面也被消除了,因为它被放在钝化层上。 高性能MWT(HIP-MWT)方法实现了MWT-PERC电池的进一步简化,其中后部负母线不仅被置于后部钝化层的顶部,而且还位于p型掺杂区的顶部,而后部表面发射器则被省略。这种方法允许通过应用简单的单面蚀刻工艺来制造HIP-MWT-PERC太阳能电池,这导致了一个非常简单的工艺顺序,允许在125×125平方毫米的FZ基板上获得超过20.2%的出色效率,正如Thaidigsmann等人最近提出的那样。[183].这一数值代表了在P型衬底上使用丝网印刷的接触和扩散结所达到的最高效率。
扩散结在p型衬底上取得的最高效率,显示了MWT-PERC方法的巨大力量,该方法最近才进入世界各地的研发中心。在研究前表面的金属化时,可以发现改进MWT太阳能电池的进一步选择,因为它不需要与焊接技术兼容,也不需要形成母线。 因此,它可以完全优化接触电阻方面的优良接触质量,即在高长径比下的最小遮蔽。可以应用种子和平板技术以及点胶技术的简化方法,并进一步与选择性发射器概念相结合。
1.6.5 发射器包覆式太阳能电池
与前几节所述的MWT太阳能电池相比,发射器贯穿式(EWT)太阳能电池概念包括完全禁止正面金属化(由Gee等人首次提出)。[184]).这是通过用一组密集放置的小直径(约50微米)的通孔(约每平方毫米的电池面积有一个通孔)来取代前面的接触结构。晶片的后表面和通孔具有进一步的发射器结构,通过通孔与前表面的发射器连接。在EWT概念中,只有位于后表面的发射器被金属化。后面的发射器是以有规律的、相当密集的(间距约为2毫米)模式中断的,以便暴露出单元的基础,形成接触。这样就可以形成一个相互交错的金属网,从而实现有效的电流传输(图25)。
前面和后面的发射器正在收集载流子,这使得EWT电池对低寿命的材料非常有吸引力。早期的EWT太阳能电池显示出相当有限的填充系数,这是因为EWT太阳能电池存在两个主要挑战。第一个挑战是长暴露的pn-结,它是在发射器中断时形成的,以允许暴露的基础。由于这种结构的间距大约为2毫米,对于156×156平方毫米的电池来说,这种开放式pn-结的总长度大约为20米。这个问题通过引入钝化层和合适的技术来克服,以暴露基底而不形成高度重组的开放式pn-junction。第二个主要挑战是EWT太阳能电池的串联电阻。首先,通过通孔的电流传输导致额外的损失,而且后表面更严重的互插接触网格图案导致非常长的指状结构,基本上延伸到所用晶圆的总长度。各个小组已经用不同的技术方法解决这些挑战[185-189]。利用高性能的洁净室技术,有可能证明EWT太阳能电池原则上能够产生非常高的效率。 Kray等人 [190]利用光刻工艺在非常薄的基材上实现了22%的显著高效率。Mingirulli等人[191]展示了效率为18.8%的EWT太阳能电池,其丝网印刷的手指(电池尺寸约为40×40平方毫米)允许达到可接受的串联电阻。为了降低EWT太阳能电池的串联电阻,Eikelboom等人提出了一种无母线太阳能电池。[192]提出了一种无母线的EWT太阳能电池和相应的基于导电胶的互连方法。 在后来的工作中,Gee和Hacke再次提出了电池/模块的概念,目的是通过分布式终端降低串联电阻[193-195],但在2009年金融风暴期间,AdventSolar没有机会将这些想法推向市场,最终被应用材料公司接管,Gee能够继续一些EWT的工作,显示出出色的结果,在大面积Cz基板上的EWT电池效率为19%,具有分布式丝网印刷的接触终端[196]。在开发具有丝网印刷触点的EWT的同时,Engelhart等人也在开发一种太阳能电池。[197]研究了一种太阳能电池,该电池的特点是蒸发触点,它是在没有光刻技术的情况下,使用PVD金属化工艺和非常独特的触点分离工艺,称为RISE(后置插接式单一蒸发)。此外,他们还优化了太阳能电池的发射器,利用了正面发射器不需要接触的事实;因此,它可能具有相当低的表面浓度,这使得与非常有效的钝化一起实现了低片状电阻的发射器(约40-50Ωsq-1),它仍然具有非常低的饱和电流密度,约为100fA cm-2,这对于实现高开路电压非常重要。这种结构允许实现非常高的电导率,并导致在91.9平方厘米的Cz衬底上达到21.4%的出色效率[198]。Ulzhöfer等人[199, 200]继续进行这种电池结构的工作,这大大增加了人们对限制性的EWT太阳能电池的因素。鉴于每年关于该主题的出版物很少,EWT太阳能电池的前景目前还不清楚;目前,它似乎不是研发的主要焦点。然而,该电池概念的优点仍然保留着,如果制造这种电池的技术基础变得更加先进,可以重新考虑这一概念。

2 N 型硅上的高效结构
在上一节中,我们表明,具有良好表面钝化的改进型电池结构有可能达到非常高的效率。但正如第1.16.4.3节所示,电池的性能也受限于块体特性。因此,使用具有优异物理特性的n型Cz硅可能是有用的(见1.16.4.3节)。然而,不可能使用众所周知的可靠的磷扩散法来形成发射器,必须找到替代方法。
2.1 铝合金背结
在n型硅上实现太阳能电池的最简单方法是利用标准工业p型电池结构的全面积丝网印刷的铝合金BSF作为n型电池的p+-背结。由于前表面的有效钝化是背结电池高效率的重要前提,已经开发了一种用于气溶胶印刷网格的特殊金属墨水,它也允许弱掺杂的表面被接触(图26)。 即使在背面没有额外的钝化层,大型电池[201, 202]和小型电池[203]的效率也达到了19.3%的高水准(见表4)。
通过在后部发射器表面添加钝化层,可以减少发射器的暗饱和电流(Joe)[204],增加内部光学反射率。通过这种方式,已经证明效率超过20%[203]。
通过在后表面使用结构化的掺铝发射器,有可能通过形成一个相互交错的结构将正面接触移到太阳能电池的后表面,其中正负极以密集的方式交替出现。这样形成的电池是一个背接触的背结太阳能电池。 Gong等人。 [205]提出了这样一种太阳能电池,他们使用丝网印刷的铝浆,在快速烧结炉中进行合金化,形成发射器。在这项初步工作中,铝被印在一个光刻结构的掩模上,以便形成结构化的铝发射器。在形成合金后,铝膏的残留物以及扩散屏障被蚀刻掉。这样,在随后的过程中,铝发射器可以被钝化,从而实现低发射器重组。这个过程导致了在n型Cz基板上制造的19.1%(孔径面积2×2厘米)的高效太阳能电池。Bock等人。[206]在无掩膜的晶圆上应用了印刷铝浆。在烧制浆料并蚀刻掉浆料残留物和部分共晶层后,后表面被结构化,并进行了磷扩散,以便在电池的指定区域形成n++区域。电池的两面都被钝化,并与PVD工艺接触,然后进行接触分离步骤,从而形成互不相干的网格[206]。在这种方法中,19.0%(孔径面积为3.97平方厘米)的高效太阳能电池已经在n型Cz衬底上实现。使用丝网印刷的触点,如果形成发射器的印刷铝浆也可以用作导体,那将是非常经济的。此外,负极性接触可以在同一烧制步骤中通过含银浆料。这种方法由Woehl等人证明。[207].相应的太阳能电池在图27中显示。这种方法在n型FZ硅衬底上产生了效率为20.0%(孔径面积为16.65平方厘米)的太阳能电池[208]。
由于本节中总结的各种方法仍处于非常早期的开发阶段,因此有很大的潜力来提高所实现的效率。


图27 背面接触的背结太阳能电池的结构,使用丝网印刷的浆料来形成铝合金发射器和接触网[208]。
2.2 带有硼扩散前发射器的n型电池
为了在n型硅上制造太阳能电池,从而利用这种材料的优越特性,人们可以直接转换标准太阳能电池的结构,形成p+nn+结构(图28)。p+-发射器是由硼扩散产生的,而n+-BSF是由磷扩散产生的。在一个工业过程中,两个轮廓都是在一个共同扩散过程中制造的。这样的结构目前正在向工业界转移[209, 210]。在实验室和试验线生产中,已经达到了超过19%的明显的效率[211, 212]。
磷BSF是很好理解的,可以像p型电池的标准发射器一样进行钝化和接触。前端硼发射体的接触,特别是钝化,要求更高。标准的钝化层SiNx[213-215]和热生长的SiO2层[213, 216-218]都显示出很差的性能。因此,必须要开发新的层。在大多数情况下,这种电池的前表面层包括一个钝化掺硼发射器的薄层和一个作为抗反射涂层和储氢器的PECVD-SiNx厚层。一个容易实现的层是通过在硝酸溶液中的湿化学钝化产生的[219]。与带有纯PECVD-SiNx层的电池相比,这大大增加了蓝色响应。为了实现更好的表面钝化,值得仔细研究一下钝化系统。因此,具有对称的硼和磷掺杂的发射器的寿命样品用热生长的SiO2进行钝化。随后,用电晕装置对氧化层进行充电,并对载流子寿命进行测量。测量的寿命可以很容易地转换为隐含电压,这表明发射器的电位包括钝化(见图29)。
当没有施加电荷时,氧化物钝化发射体的隐含电压要比掺硼发射体的隐含电压好得多。 掺磷发射体可以通过增加正电荷导致多数载流子的积累而得到改善。同样的场效应钝化也可以通过在SiO2钝化的掺硼发射体上添加负电荷来实现。事实上,对于导致强积累的电荷,两种发射器的质量是相同的。因此,掺硼发射体的理想表面钝化应该有一个强大的负电荷。
一个满足这一要求并能在相当低的温度下沉积的电介质层是Al2O3。Hoex等人[221]已经表明,通过ALD沉积的Al2O3层可以非常有效地减少发射器暗饱和电流乔。在Al2O3钝化的硼发射器上测得的发射器饱和电流低至10 fA cm-2,允许开路电压远高于700 mV和完美的蓝色响应。
为了评估这种发射器在电池层面的潜力,Benick等人制造了图30所示的电池结构。[220].图中电池的后侧用热生长的氧化物和局部扩散的磷BSF进行钝化。


图29在用SiO2层钝化的掺硼和掺磷发射器的寿命样品上测得的隐含电压与电晕电荷密度的关系。转载自BenickJ, Hoex B, van de Sanden MCM, et al.(2008)Al2O3钝化的硼发射体上的高效n型硅太阳能电池。应用物理学通讯》92(253504)。253504/253501-253503[220].

图30 带有硼扩散的前发射器的电池结构。
尽管这种电池仍然没有选择性发射器,这就有了进一步改进的余地,但最近在校准的孔径区域(照明区域包括母线)测量中,效率达到了23.9%[222](见表5)。
为了将这项技术从实验室转移到工业环境中,必须简化几个过程。使用掩膜氧化物和光刻技术的实验室工艺的局部扩散P-BSF对于工业应用来说太复杂了。因此,我们开发了一个由两个步骤组成的新工艺。(1)PECVD沉积含磷钝化层系统,称为PassDop;(2)用激光同时打开该层并产生局部P-BSFs(见图31)。使用这种新的、易于制造的后表面工艺[223],有可能达到22.4%的最高效率(见表5)。
2.2.2 带有硼扩散后结的背接触太阳能电池
SunPower公司的A-300电池[224](比较图32)是最初在斯坦福大学为聚光器应用开发的点接触电池的强烈简化版本[13]。


这种22%效率的电池在大规模生产中的主要特点[225]是在正面没有任何金属触点,因为两个电极都放在后表面作为一个相互交错的网格。因此,几乎所有的载流子都必须从光生的前表面扩散到后表面的收集pn-结上。因此,体扩散长度必须很高(见前一节),特别是前面的表面重组速度必须非常低。这项任务是由低掺杂n+的前表面场上的优秀钝化SiO2层管理的。 尽管背接触电池在效率和美学方面显然非常有吸引力,但它们也对材料质量和工艺技术提出了非常高的要求。特别是后表面结构的制造,即p-和n-扩散区域或p-和n-电极的分离,是一个问题。这项任务的一个有趣的机会是使用激光技术[226]。
后置接触太阳能电池的另一个重要设计方面是所谓的 "电遮蔽"效应[225, 227-229]。尽管后置接触型太阳能电池在正面没有金属触点,因此避免了光学遮挡,但会出现收集效率较低的区域。由于工业背结电池中BSF区域的宽度是电池厚度的几倍,在该区域产生的少数载流子必须比直接在收集发射器上方产生的载流子走得更长(见图33)。即使在高寿命的材料中,这些载流子的收集效率也会降低,导致较低的短路电流,如图33右侧所示。因此,BSF区域应减少到最低限度。SunPower公司在生产中已经成功地减少甚至消除了电遮挡,并将效率提高了1%以上[225]。
然而,当减少BSF区域时,必须考虑到p型触点的金属化应与发射器触点的宽度大致相同。因此,在成品电池中,n型触点将与发射器区域重叠,必须采取措施避免分流。这可以通过所谓的 "埋藏发射器"概念来实现,其中发射器的轮廓被表面的BSF过度补偿[230-233],从而提高电池性能[234]。另一种可能性是用钝化和绝缘层覆盖后表面,避免分流(见图34),并允许发射器/BSF和网格几何的解耦。这样的层是可用的,并导致电池具有优良的性能和无电遮蔽[227]。
最近一代的A300电池还使用了钝化触点,以减少金属-半导体界面重组的影响。 这些电池的记录效率为24.2%,开路电压为721mV[235]。

图33 背结太阳能电池和电遮蔽效应。在n-BSF(后表面场)上方的灰色区域产生的少数载流子必须横向移动到收集p-发射器。由于距离与电池厚度相比要大得多,该区域的载流子收集被强烈削弱(见右侧的光束诱导电流图)[229]。EQE,外部量子效率。

图34 使用钝化和绝缘薄膜的具有去耦发射器/BSF和栅格几何形状的交错式背结太阳能电池[227]。
2.3 异质结太阳能电池
三洋公司[236, 237]的HIT电池的n基上的p+发射器不是基于硼扩散,而是由p掺杂的a-Si层沉积形成的异质结(见图35)。另外,后表面被一个a-Si层钝化,以获得单晶n型硅的全部潜力。三洋公司的HIT电池证明了带有异质结的太阳能电池的优良表面钝化质量,在98微米厚的n型硅片上,电压达到743毫伏[239]。使用这种电池结构可以达到远高于22%的效率。


图36互插异质结背接触电池的结果。BSF,后表面场;ARC,抗反射涂层。经许可转载自MingirulliN等人。(2011) Physica Status Solidi RRL 5(49):159-161[253].Copyright2011, Wiley VCH, Weinheim, Germany.
到目前为止,HIT电池只由三洋公司生产,但这种情况将会改变,因为重要的专利已经用完。因此,一些研究所和设备制造商已经加强了他们的研究活动,以开发类似HIT的电池结构[240-248]。
HIT电池结构的主要优势是其完美的表面钝化,这允许非常高的开路电压。相比之下,实现的电流只是适度的。这是由于光子在正面的非晶发射器中的寄生吸收。 扩散长度相当小,所以短波长光子的IQE相对较低。因此,带有正面异质发射器的电池结构总是在高电压、良好的传输特性和蓝色响应之间做出妥协。避免这种寄生效应的一种可能性是在互插的背结电池设计中使用异质结。有几个小组已经在这个领域工作[249-252]。迄今为止报告的最佳效率是20.2%[253],但当然这种结构的潜力要高得多,因为它以一种理想的方式结合了背接触太阳能电池(大电流)和标准异质结电池(高电压)的优点(图36)。
2.4 替代发射器
2.4.1 多晶硅发射器
人们也可以不使用非晶硅,而是沉积掺杂的多晶硅[254-256]。这样做的好处是多晶硅的吸收率更低,温度稳定性更高。为了获得最好的结果,使用一个薄的中间电介质层来钝化界面并阻止多晶硅发射极的扩散,从而形成一个非常突然的结(图37)是有利的。使用现代微电子设备和薄的快速热氧化物(RTO)作为界面层,重新审视了这个概念[257]。用这种有希望的方法,开路电压已达到678 mV。

2.4.2 注入式发射器
来自微电子工业的另一项产生掺杂层的技术是离子注入法。 离子注入可以产生精确定义的掺杂轮廓并实现非常均匀的掺杂。离子注入后,晶圆必须进行退火处理,以消除注入过程中带来的损害。这对太阳能电池来说是非常关键的,以获得低发射器饱和电流,乔。最近,有研究表明,通过适当的高温退火工艺,可以实现硼和磷发射体的非常低的饱和电流,分别为20和24 fA cm-2 [222]。这将使这两种情况下的开路电压超过700mV。
离子注入的一个有趣的特点是原地掩蔽注入,允许局部定义的掺杂轮廓。这一特点被用来生成带有离子注入的选择性发射器的单晶电池。已经实现了大于19%的效率[258]。局部掺杂对于背面有复杂掺杂图案的互换式背结太阳能电池来说甚至更加有趣。使用这种技术,已经报道了高达20%的效率[259]。
2.5 总结
本章介绍了晶体硅光伏的现状和新的活动,只能对这一领域巨大的研究和技术活动提供一点启示,因此注定是不完整的。另一方面,这对于晶体硅光伏的可持续性来说也是一个非常好的迹象。强大的研究活动表明,通常被认为是光伏 "老技术 "的晶体硅光伏,仍然生机勃勃,并将在未来几十年内保持这种状态。为了确保这样一个光明的未来,研究和工业之间的紧密合作是至关重要的。

