原研背景
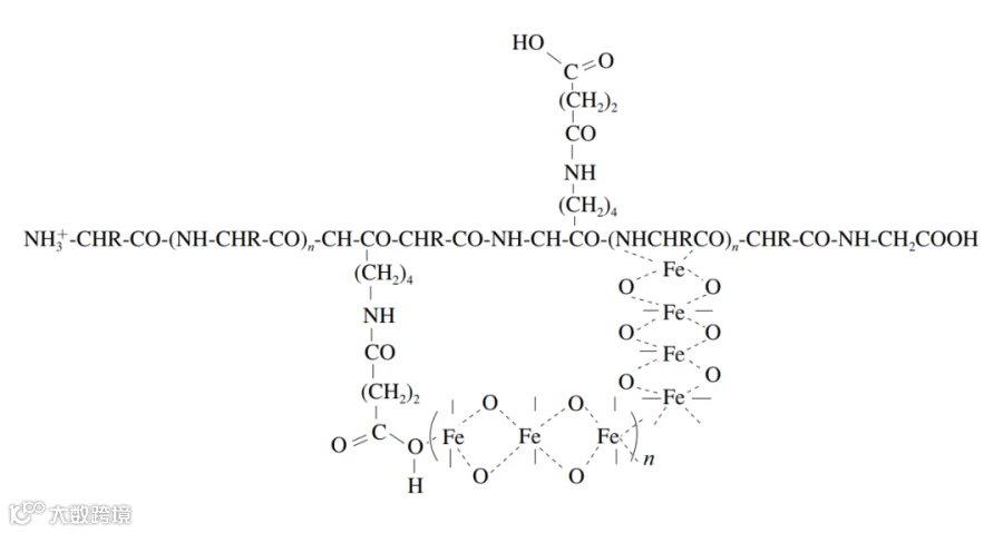
▲ 图1 碱性条件下蛋白琥珀酸铁结构
▲ Fig.1 Structure of protein iron succinate under alkaline conditions
▲ 图2 酸性条件下蛋白琥珀酸铁结构
▲ Fig.1 Structure of protein iron succinate under acidic conditions
01
适用范围
2.1 适应症
用于绝对和相对缺铁性贫血的治疗,由于铁摄入量不足或吸收障碍、急性或慢性失血以及各种年龄患者的感染所引起的隐性或显性缺铁性贫血的治疗,妊娠与哺乳期贫血的治疗。
2.2 用法用量
本品均由口服。
成人:每天1-2瓶(相当于三价铁40-80mg),遵医嘱分两次在饭前口服。
儿童:每天按体重1.5ml/kg(相当于每天三价铁4mg/kg体重),应遵医嘱分两次分两次于饭前口服。
▲ 图3 参比制剂菲普利®/FERPLEX®进口产品图片
02
市场前景
数据格局:城市公立、城市社区、县级公立、乡镇卫生、全国零售
▲ 图4 蛋白琥珀酸铁口服溶液2019-2021全国销售额
根据米内网相关数据,蛋白琥珀酸铁口服溶液2019年-2021年的全国销售金额分别为4.9亿元、5.8亿元、3.8亿元,仅有原研意大泛马克与济川药业瓜分市场,其中济川药业2019年-2021年的市场占比分别为40.81%、51.55%、57.89%,济川药业正逐步抢占原研的市场。
03
特点
4.1
蛋白琥珀酸铁口服溶液以其特有的铁与琥珀酸蛋白结合形成的络合结构,使铁离子在胃中酸性环境下络合稳定,不会释放游离损伤胃黏膜,也不会产生铁腥味;在肠道,因pH值的升高,蛋白膜被胰蛋白酶消化,铁离子有序游离并转化为二价铁离子,在肠绒毛内被吸收而达到补铁效果。
4.2
蛋白琥珀酸铁口服溶液主治缺铁性贫血(孕妇和儿童发病率很高),由于具备铁离子吸收率高、胃肠道副作用小等特点,疗效相比其他补铁类药物也更具优势。
▲ 图5 蛋白琥珀酸铁在胃肠道内消化吸收示意图
04
竞争分析
5.1 国内已上市情况
▲ 表1 蛋白琥珀铁口服溶液国内已上市情况
▲ 图6 济川药业集团-盛雪元®
5.2 2017年至今申报仿制情况
▲ 表2 蛋白琥珀酸铁口服溶液新4类仿制申报情况
05
项目优势
(1) 原料药:本品种已有稳定、合格的原料药供应商,可关联审评。
(2) 制剂(口服溶液):本项目已有相关研究经验;开发周期:T+16月可申报(T为合同签订月,T=0)。
● 注:数据来源:NMPA、CDE、药智网、米内网、戊戌网等。
关 于 国 标

技术平台

合 作 客 户

联 系 我 们
业务咨询请联系181 0229 6885
地址:广州市黄埔区开源大道11号B1栋第五层
国标精选
向右滑动~




