01
背景
司美格鲁肽片剂用于治疗糖尿病的适应症已经在全球获批,用于治疗减重的适应症目前也在三期临床的过程中。目前上市的司美格鲁肽片剂的口服生物利用度为0.4~1%左右,7天连续口服给药才能和皮下注射1mg相当,并且个体差异性大,体内吸收变异系数大于100%,在连续给药达到血药稳态浓度之后的变异系数降低到约30%。
作为“富可敌国”的司美格鲁肽横空出世,2023年的销售额超越了200亿美金,作为第一个全球上市的GLP-1固体口服制剂,作者将分三期将系统介绍司美格鲁肽片剂的吸收机理,深入浅出的理解本品的相关技术特点。
02
司美格鲁肽及
SNAC的分子结构
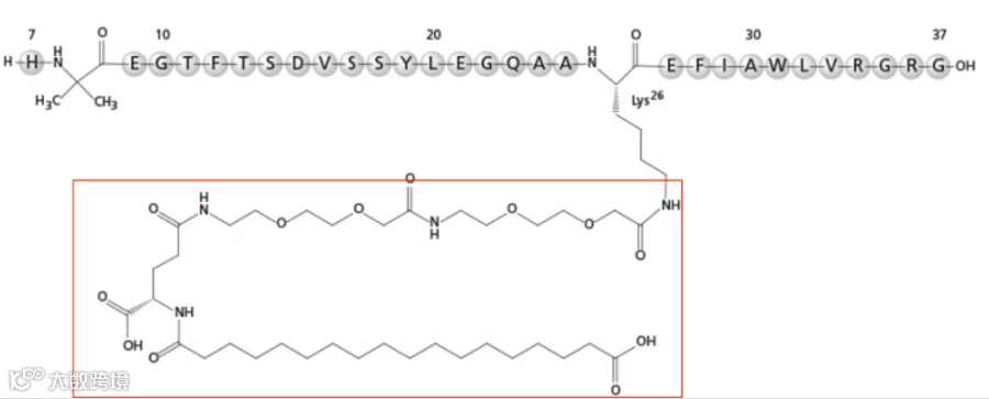
司美格鲁肽分子结构中(图1),关键特征为18碳脂肪酸酰化取代,脂肪酸的酰化作用使司美格鲁肽分子在酸性条件和离子作用下产生多聚体的自主装,并且通过与白蛋白结合减缓酶的降解,从而延长司美格鲁肽的半衰期,由于司美格鲁肽的等电点为5.4,从而影响溶解度和非解离分子的比例。
图1 司美格鲁肽分子结构图
SNAC,化学名N-(8-[2-羟基苯甲酰基]-氨基)辛酸钠,它是一种化学合成的脂肪酸衍生物,最早是由Emisphere公司在众多促渗透剂中筛选出来的高效分子。其化学结构式见下图(图2)
图2 SNAC分子结构式,pKa=5.0,钠盐呈碱性
03
SNAC对司美格鲁肽
吸收和保护机制
关于SANC的作用机制众说纷纭,早上世纪九十年代,Emisphere公司研发团队认为SNAC通过非共价键形式与API结合后,可使API构型改变,暴露出更多疏水区域,从而促进API的跨细胞膜渗透。2006年Emisphere团队提出SNAC的作用模式假说(图3):载体分子SNAC与药物分子结合,形成可运输的复合物(疏水亲脂性),从而进行跨细胞转运;同时,由于二者的弱关联作用,载体和药物在进入血液循环时通过简单的稀释而分离。
图3 SNAC的作用模式假说
司美格鲁肽片剂口服后,其在胃内为跨细胞膜方式进行吸收。胃肠道细胞如同连续并排的门,跨细胞膜方式为从门板中间穿过进入,大多数小分子药物都是跨细胞膜吸收。司美格鲁肽片主要用了吸收促进剂SNAC,用量300mg,整片重量约400mg,除了药物量不同,辅料用量和组成完全一样,其口服吸收原理可以通过下图显示,具体见(图4,图5,图6)。
图4 司美格鲁肽片剂在胃内完全侵蚀
图5 SNAC的缓冲作用通过中和胃酸来提高局部的pH值;较高的局部pH值有助于保护司美格鲁肽免受酶降解并促进单体化
图6 SNAC使脂质膜流化以增加膜渗透性,并允许司美格鲁肽通过跨细胞途径穿过胃肠道的上皮细胞
基于以上图示的分析,司美格鲁肽片剂口服吸收的原理可以总结为如下三个方面:
(1)N-(8-[2-羟基苯甲酰基]-氨基)辛酸钠(SNAC)在胃内提高了胃内局部的pH值,可降低胃蛋白酶的活性,减少司美格鲁肽被酶降解;同时可以提高司美格鲁肽的溶解度,有利于提高浓度梯度而促进扩散;
(2)SNAC可以改变溶液的极性来降低司美格鲁肽疏水链段的相互作用,促进寡聚物解离和提高其单体数量,便于单体暴露的脂肪链能更好的与细胞膜进行融合,推动跨膜吸收;
(3)SNAC可进入胃粘膜细胞的脂质膜层,使其脂质膜发生扰动,进而可逆性地促进司美格鲁肽的跨膜吸收。
胃肠道的生物特性显示:胃肠道的pH值逐渐升高,作为主要吸收单元的上皮细胞层,表面含有大量黏蛋白和各类消化酶,可阻滞药物吸收;药物通过浓度梯度扩散、主动转运、吞噬等方式进入上皮细胞内,再扩散进入到循环系统,跨细胞膜吸收的药物还可能需经历细胞内溶酶体的降解,P-蛋白等的外排等;因此对于大分子药物,胃肠道吸收差,由于分子量大、亲水性强、消化酶降解、黏液蛋白结合等因素,因此吸收难度远远大于小分子化合物。
04
我司司美格鲁肽制剂
研发进度及工作内容汇总
国标医药目前具备司美格鲁肽的原料药来源;
司美格鲁肽注射液、片剂,国标医药目前在小试研究过程中。
如有项目合作洽谈,请来电国标副总经理董总,欢迎垂询!
董总:139 2619 9297
邮箱:yanbin.dong@guobiaotest.com
国标医药是国家级高新技术企业,核心成员包括高校专家、国家药典委委员、权威官方药检机构的技术领头人、全球主流大型仪器公司的核心应用专家、知名药企研发专家。公司拥有出色的技术管理团队,具有丰富的项目立项、研发申报经验,可承接仿制药、创新药的整体委托研发。公司是创新药物与高效节能降耗制药设备国家重点实验室检验检测分中心和华南首家具备完善的药品检测能力的第三方检验检测机构,采用类cGMP和ISO17025双质量管理体系,检测报告的效力等同官方药检机构。
我们始终坚持以“成为全球领先的医药检验检测和创新服务平台”为企业愿景,秉承“一切以客户为中心”的服务理念,专注于为广大药品研发和生产企业提供高性价比、可信赖的药品研发技术服务。

1.
液体制剂药物开发平台
2.
难溶药物口服固体制剂开发平台
3.
粤港澳中成药注册一站式研究平台
4.
药品医疗器械真实世界研究服务平台
5.
特殊制剂体外释放研究平台
6.
难溶药物基因毒杂质研究平台
7.
医用材料相容性和密封性研究平台
8.
药物质量分析检测平台

电话:020-31706062/181 0229 6885(微信同号)
地址:广州市黄埔区开源大道11号B1栋5楼
邮箱:info@guobiaotest.com


