
日前,中海达旗下子公司江苏中海达海洋信息技术有限公司(下称海洋公司)正式推出新一代高分辨率宽条带多波束测深系统——iBeam 8120,这是中海达拥有完全自主知识产权的最新设备。
与以往自主产品相比,iBeam 8120体积更小巧,安装更方便,性能更强大!
iBeam 8120甲板单元采用工控机设计,性能高且稳定,换能器重量仅为12KG,导流罩重量不超过5KG,整体重量不超过17KG。

工控机

换能器+导流罩
iBeam 8120可以选择等角或等距工作模式,适应复杂或平坦水下地形,提高工作效率。

±10°实时横摇稳定功能,有效提高效率
在船没有摇晃情况下,多波束扫测如下图所示,工作效率比较高。

事实上,在实际测量过程中,船会左右摇晃,扫测结果会出现下图状况:

如果需要水下全覆盖,以上状况会严重影响工作效率。
若有横摇稳定功能,船体即使摇晃一定幅度,也可达到下图效果,大大提高工作效率。
开角130°,工作频率最大可达30Hz
iBeam 8120覆盖角可达130度,覆盖水深比达4.3倍,工作频率最快达30Hz,可保障以较快船速进行测量。

iBeam 8120多波束可配置HiMAX MBA多波束采集、导航软件,中文界面,方便用户操作和使用。同时在实时3D界面,具备水下障碍物自动量取、标注的功能,非常适用于航道部门对于水下障碍物进行扫测,方便现场判读和事后打捞。


iBeam 8120主要参数技术指标

为了验证iBeam 8120的性能和稳定性,海洋公司对iBeam 8120进行了一次实地测试,用实测数据证明了iBeam 8120的性能。
测试准备
测试时间:2017年5月24日
测试地点:长江乌江段(小黄洲附近)
测试设备:iBeam 8120、KONGSBERG 2040P多波束测深系统
测量水深范围:15~30m
外围辅助传感器: Applanix POSMV Oceanmaster惯导系统+电台差分,提供RTK定位、Valeport SVS表面声速仪
验潮:采用人工验潮,假定同一高程基准
软件:

内符合测试对比



iBeam 8120测试区域采用测线往返和测线交叉进行,以检核内符合精度。

不同条带横断面效果图

不同条带纵断面效果图
从不同条带纵、横断面图可以大致看出测量符合程度良好,大部分控制在20cm以内。
下面从统计角度进行精度分析。
参照IHO特级和一级精度标准进行精度计算:
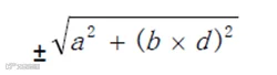
水深误差计算公式:

IHO特级精度要求:a=0.25m b=0.0075

IHO测量规范精度统计
从上面统计数据可以看出,按1.96倍中误差95%的置信度进行统计,所有重合部分精度满足IHO特级精度要求。
另外,从测量绝对误差进行统计,按照《水运工程测量规范》要求:当水深小于20m,误差不超过20cm;当水深超过20m时,误差不超过0.01h(h为水深),依此统计水深差值范围:

从上述统计数据来看,超过90%的数据量的测试误差在20cm以内。
外符合精度对比
上述试验已证明了iBeam 8120的内符合精度,但产品好坏还要看外符合精度。对于外符合,海洋公司与KONGBERG 2040P多波束进行了对比。

2040P测试区域图
海洋公司将两套多波束的水深相减,得到如下水深差值图:

统计分析表明,误差在±0.1m统计量为73.45%,误差在±0.1~±0.2m以内统计量为22.65%。
结论:内外符合测试表明,iBeam8120多波束测深数据同时满足IHO特级精度标准和《水运工程测量规范》。

