引言
随着年龄的增长,衰老,是每个人最终都会面临的问题。我国科学家发表的最新研究结果显示,30岁和50岁是女性的两个“断崖式衰老”时间节点。
另有研究表明,与人体皮肤弹性和光泽相关的胶原蛋白等在34岁时出现了断崖式的减少,皮肤老化问题日益显著。
2019年斯坦福研究团队刊登了《Nature》上发表的一个研究报告,提出了“衰老不是匀速的而存在三个生理转折点”的观点。
该研究中,这三个出现“断崖式衰老”的年龄分别为34岁、60岁和78岁,而这一发现是基于人体内血浆蛋白质组的起伏变化。
近日,来自中科院和温医大的研究团队联合开展的研究,基于中国女性老龄化的多组学分析发现:30岁和50岁是女性的两个“断崖式衰老”时间节点,可作为监测衰老的重要时期,并推测其中的主要影响因素是激素。
30岁左右,人们主要面临的是代谢水平的变化,表现为脂质累积和类固醇减少。而到了50岁,衰老现象变得更为显著,被称为“断崖式衰老”。
此时,女性在器官、细胞和分子层面均经历剧烈变化,多个与年龄高度相关的指标出现急剧上升或下降。在表型组学层面,载脂蛋白A水平显著升高。
同时,组织健康指标也发生快速变化,如骨密度、肺功能以及肌肉组织蛋白在50岁左右均出现明显下降。
在34岁时,观察到参与结构通路的蛋白如细胞外基质(ECM)断崖式下降。细胞外基质主要有胶原蛋白、弹性蛋白、蛋白多糖和糖蛋白等。
而到了60岁和78岁,波动比较大的是与疾病相关的蛋白质。这也就为什么人们到了60岁以后就开始在一些认知和行动功能上不如从前的原因。
而就在最近,韩国学者发表的最新临床结果表明,干细胞外泌体可以对付皮肤老化问题。
30岁后皮肤胶原蛋白开始断崖式减少
表面上看,身体机能随衰老而显著减弱。在身体内部,衰老还表现为细胞衰老、线粒体功能受损、端粒缩短、基因组不稳定及干细胞功能衰退等特征,其中细胞衰老尤为关键。
为打破时间对衰老的限制,关键在于延缓细胞衰老。研究人员提出了一个潜在方案:利用间充质干细胞外泌体进行抗衰老治疗。
斯坦福大学的研究显示,与皮肤弹性和光泽密切相关的胶原蛋白在34岁时急剧减少,导致皮肤老化问题愈发明显。
皮肤老化主要源于真皮层成纤维细胞的衰老,以及胶原蛋白和弹性蛋白分泌的减少,进而引发色素沉着不均、皱纹、干燥、变薄、松弛和弹性下降等问题。
皮肤老化是由内部影响和外部刺激两个过程引起的复杂现象,外部刺激包括紫外线照射引起的光损伤等,内部影响包括时间因素以及个人遗传因素等。
面部皮肤老化会导致面部外观逐渐改变,从而造成美容问题和社会心理困扰。
近日,在国际知名期刊《cells》的一篇文章中,详细介绍了这种间充质干细胞衍生的外泌体疗法。
许多研究表明,间充质干细胞衍生的外泌体具有抗炎、抗衰老和伤口愈合作用[1]。
这意味着干细胞外泌体不仅可能有助于恢复衰老细胞活性,修复和治疗皮肤老化,还可以应用于各种疾病的治疗,如包括神经系统疾病、心血管疾病、免疫疾病、癌症等。
间充质干细胞具有自我更新能力和分化成各种细胞类型的能力,在各种疾病和再生医学中具有巨大的潜在应用前景,在治疗皮肤老化的应用研究领域也不断有成果输出。
有研究表明,脂肪间充质干细胞的治疗效果是由脂肪组织干细胞来源的外泌体(ASCEs)介导的。
认识外泌体
1. 诺贝奖背书的“细胞通讯官”
2013年,诺贝尔生理学奖揭晓——细胞囊泡运输机制研究获奖!外泌体(Exosomes)作为其中关键角色正式进入科学视野。
✅ 本质:30-150nm的细胞外囊泡,携带来源细胞的蛋白质、mRNA、miRNA等活性物质。
✅ 功能:穿越组织屏障,向靶细胞传递“修复指令”。通俗地来讲,若细胞是城市,那么外泌体就是携带着“年轻密码”的特快专递员。
2. 外泌体与面部衰老的关联
研究表明,皮肤老化机制复杂,包括基因突变、DNA损伤、细胞衰老(如角质形成细胞、成纤维细胞与黑素细胞)、金属蛋白酶对细胞外基质的破坏、炎症反应和活性氧生成等[1],其临床表现为表皮与真皮的厚度减少、细纹加深、色素沉着、毛孔扩大,以及软组织弹性减弱。
而外泌体可通过PI3K/Akt 和 Notch 信号传导等分子途径增强胶原蛋白合成、调节炎症并促进血管生成。此外,外泌体能够将生物活性分子精确地输送到目标细胞,这凸显了其在皮肤修复和抗衰老应用中的潜力。此外,这些纳米级细胞外囊泡表现出卓越的生物利用度、生物相容性和免疫调节特性,解决了传统皮肤抗衰老难题。
减缓细胞衰老程度改善身体功能
来自《stem cells》的一篇论文,研究人员提取并纯化了间充质干细胞外泌体,与衰老的干细胞在同一培养皿进行培养,发现干细胞外泌体可以有效激发原本衰老的干细胞的生长。
图示:人类干细胞外泌体有效善了衰老干细胞的生长
这主要是因为干细胞外泌体中有着很高含量的PRDX1和PRDX2。
作为一种主要位于细胞内具有氧化还原功能的抗氧化酶,它们可以有效减少衰老细胞内活性氧ROS水平,降低氧化应激对细胞的损伤并减少细胞的衰老程度。
不仅如此,在另外一项动物研究中,研究人员每周将纯化的外泌体注射到雌性小鼠体内,发现纯化外泌体显著延长了老年小鼠的寿命,中位寿命甚至延长了10.2%。
研究人员表示,这是因为外泌体内含有一种烟酰胺磷酸脲基转移酶(eNAMPT),它可以促进体内NAD+水平提高,从而显著改善身体活动、睡眠质量、认知功能、葡萄糖代谢和光感受器功能,这再次表明外泌体可以作为一种潜在的抗衰老干预措施。
抗衰黑科技:干细胞外泌体
近年来,间充质干细胞外泌体在面部老化治疗中的研究日益增多。韩国首尔中央大学医学院的Kui Young Park团队在《Journal of Cosmetic Dermatology》上发表了研究,评估了人脂肪组织干细胞外泌体溶液(HACS)结合微针疗法对面部皮肤老化的治疗效果,结果显示该联合疗法安全有效。
此项研究共纳入了28位参与者,参与者每3周接受3次治疗为一个疗程,一共两个疗程,并在最后一次干预后随访6周。
在每个疗程中,一侧面部给予HACS和微针治疗(HACS组),另一侧面部给予生理盐水溶液和微针治疗作为对照(对照组)。
图示:人脂肪组织干细胞来源的含外泌体溶液的组成
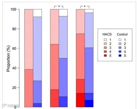
1.面部老化整体改善
接受治疗后,参与者面部两侧的全球美学改善量表(GAIS)评分逐渐升高,其中接受HACS治疗的面部改善效果更明显。
随着时间发展,第6周时HACS组面部改善效果显著优于对照组。
在最后一次随访(第12周)时,相比于对照组,HACS组在面部皮肤老化方面的改善效果更显著,表明了HACS改善面部老化的有效性。
图示:HACS和对照侧的皮肤老化GAIS评分
2.改善皮肤皱纹和皮肤弹性
与基线(治疗前评估的情况)相比,两侧的皮肤皱纹都有所改善,但HACS组的治疗效果明显优于对照组。
在最后的随访中,HACS组的平均粗糙度(Ra),粗糙度分布的最大高度(Rt)和粗糙度的平均最大高度(Rz)的平均下降百分比分别为12.4%、14.4%和13.4%。相比之下,对照组分别为6.6、6.8和7.1%。
图示:基于仪器测量的皮肤皱纹评估
这三个参数一致表明,HACS在治疗皮肤皱纹方面是有效的。
除此之外,每次评估都能观察到HACS侧皮肤弹性显著增加,但对照组的皮肤弹性没有明显改善。
最后一次随访时,HACS组的皮肤弹性比基线平均增加了11.3%,但令人意外的是,对照组的皮肤弹性下降了3.3%。
图示:基于仪器测量的皮肤弹性和水合作用评估
3.改善皮肤水合作用及色素沉着
与基线相比,在整个治疗期间,两种治疗方法都显著增加了皮肤水合作用。
其中,HACS一侧的皮肤水合作用持续增加,第12周时平均增加6.5%,而对照组只观察到4.5%的增幅。
在研究期间,对照组的黑色素指数没有显著变化。而HACS侧的黑色素指数显著下降。
第12周时,HACS侧黑色素指数平均下降9.9%,对照组为1.0%。以上表明了HACS可以显著改善皮肤水合作用及色素沉着。
图示:皮肤色素沉着评估
4.胶原和弹性纤维的密度更高
在最后一次随访时,从HACS侧获得的组织学标本显示,与基线时相比,胶原和弹性纤维的密度更高,粘蛋白和新合成的胶原的沉积也增加。
此外,虽然在对照侧也观察到类似的组织学变化模式,但这些变化不如HACS侧明显。病理数据直观的展示了参与者接受治疗后的改善情况,肯定了HACS的治疗效果。
图示:基线和随访之间HACS和对照侧面部皮肤组织的组织病理学变化
5.外泌体治疗具有安全性
研究期间未报告严重不良事件。参与者经历了短暂的红斑、水肿和瘀点,但这些症状轻微且一周内自行消失,未出现永久性皮肤变化或疤痕,证明了HACS治疗的安全性。
外泌体的研究始于1984年的“囊泡释放”发现,至今人类对其认识日益加深。
外泌体在人体中类似于“快递小哥”,在复杂的物流运输系统中精准传递货物。
外泌体避坑指南
面对“鱼龙混杂”的外泌体产品,广大爱美人士又该如何正确选择和看待呢?
1. 选对“源头”才安全
▶ 认准正规机构与合法来源(如间充质干细胞来源外泌体)
▶ 要求查看质检报告及资质证明!
2. 效果≠“一次换脸”
▶ 外泌体属再生型抗衰,需2-8周逐步显效
▶ 多次疗程效果更持久,单次改善有限
3. 个体差异需理性
▶ 年龄、肤质、衰老程度不同,效果存在差异
▶ 维持时间约6-12个月,定期维护效果更佳
比起传统护肤的理念,外泌体抗衰,不是粗暴干预,而是着眼于深层修复!利用生长因子等活性物质,参与皮肤的基因表达与生物信号传递,完成生物学意义的皮肤生理机能重建!从细胞层面焕发你的年轻光彩!
参考文献:
[1] 王婷,林福永,艾金伟,等.间充质干细胞及其外泌体在医学美容领域的研究进展[J].皮肤科学通报,2024,41(05):479-484.
[2] Park GH, Kwon HH, Seok J, Yang SH, Lee J, Park BC, Shin E, Park KY. Efficacy of combined treatment with human adipose tissue stem cell-derived exosome-containing solution and microneedling for facial skin aging: A 12-week prospective, randomized, split-face study. J Cosmet Dermatol. 2023 Dec;22(12):3418-3426. doi: 10.1111/jocd.15872. Epub 2023 Jun 28. PMID: 37377400.
图文来源网络免责声明 | 文章旨在知识交流与分享,版权归原作者及原出处所有,不作商用,也不作为相关医疗指导或用药建议,仅作参考。如涉及版权等问题,请马上与我们后台联系,我们将会及时处理。

