高溶解性苄基酯增塑剂
Santicizer 278
Santicizer 278 是一种具有高溶解性和极低挥发性苄基酯增塑剂,它是专为多种聚合物体系精心设计的高分子量特种增塑剂,与PVC、聚氨酯、聚硫化合物、合成橡胶和天然橡胶等聚合物体系都拥有很好的兼容性,在PVC、TPU、丝印油墨、涂料、密封胶和粘结剂等配方中都有非常不错的表现。
产品特点
耐久性极强的增塑剂,能抵抗渗出和萃取;
与多种聚合物相容,在配方设计上提供灵活性;
在 PVC 体系中是快速融合增塑剂,可提高产量;
在高温加工过程中挥发性低,有助于增塑剂留存;
适用于水洗和织物印刷油墨应用;
低密度在涂料、粘合剂和密封剂应用中具有优势;
在吸音或隔音涂层中有很好的表现。
广泛的应用领域
(1)水洗和织物印刷油墨:
Santicizer 278 在水洗和织物印刷油墨领域表现出色。它能增强油墨的附着性和稳定性,使印刷图案更加清晰、牢固,即使经过多次水洗也不易掉色,满足了人们对织物印刷高品质的需求。
(2)密封胶和填缝剂:
Santicizer 278 拥有低密度和低挥发性的特点,非常适用于丙烯酸填缝剂、乙烯基汽车密封胶和建筑中的聚硫密封胶,特别是在需要低挥发性的情况下。既能减轻产品重量,又不影响其粘性、密封性等关键性能,广泛应用于建筑、汽车、包装等行业。
(3)涂料和油漆:
Santicizer 278 拥有抵抗渗出和强疏水性的特点,在涂料的湿应用上也有突出表现,能够抑制微生物在涂料表面的滋生,如船舶涂料等。另外保证了涂层性能的长期稳定,延长了涂料的使用寿命,减少了因增塑剂流失导致的涂层老化、变色、发脆等问题。
Santicizer 278 的结构中含有“2,2,4-三甲基-1,3-戊二醇异丁酸酯(TMPDMB)”的基团,而TMPDMB是油漆和其他涂层材料历来使用的成膜助剂,因此 Santicizer 278 也可以在涂料和油漆中起到很好的成膜助剂的作用。
(4)吸音或隔音涂层:
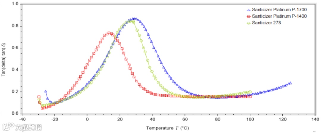
Santicizer 278 具有独特的化学结构。它能有效提升涂层的吸音、隔音效果,为打造安静舒适的环境贡献力量,常用于建筑隔音工程、汽车降噪等领域。
损耗因子(tan δ)是衡量材料阻尼能力的指标。损耗因子峰值越高,说明材料的消音性能越好。
产品典型特性
往期回顾
-
Santicizer 148:具有高效自熄灭特性的磷酸酯增塑剂 -
Lankrostat LA7:通用型抗静电剂&PVC粘度调节剂 -
Lankroflex ED6:环氧硬脂酸辛酯增塑剂 -
粘结剂 Vulcabond TP:用于聚酰胺或聚酯纤维的食品级粘结剂 -
Lankromark LE571:完全不含酚亚磷酸酯抗氧剂 -
不含Phthalate类环保型增塑剂---P-1400 -
生物基初级增塑剂---G-2030 -
环氧硬脂酸辛酯 Lankroflex ED6 在不同类型涂料中的应用
关注我们获取更多更优质的产品信息
免费咨询价格,快速匹配产品,为您提供最适合您的产品建议
记得点击下方“关注”我们

