皮肤覆盖身体表面,直接同外界环境接触,具有保护、排泄、调节体温和感受外界刺激等作用,皮肤是人体最大的器官。男性和女性由于生理差异,在其皮肤的表观、组织形态及部分生理机制方面存在异同之处。目前,美容护理市场主要针对女性消费者,同时消费者对男女皮肤差异的认识比较欠缺,针对男性皮肤特征的美容院几乎为零。
中幸·Mr.悦皮肤科学研究中心的皮肤学博士团队,重点参考中国知网、 Pubmed 、 Web of Science 、 Wiley InterScience 、 Springerlink 等数据资源平台中有关男性皮肤及其相关护理的文献,收集了近20000篇文献,重点分析了其中相关性较强的200余篇文献,对男性皮肤特点及其生理特征进行了系统的梳理,归纳出以下10个核心差异:
6.真皮及皮下组织
真皮层位于皮肤内部的中层,来源于中胚叶,由纤维、基质、细胞构成,皮下组织是皮肤下层的脂肪组织,由带有大量脂肪细胞的结缔组织网状结构组成,其中含有皮下脂肪、血管及神经,它是帮助支撑皮肤的基础部分。本书考察了不同年龄段、不同身体部位的男女真皮与皮肤组织情况,发现:
(1)年轻男性的弹性纤维体积比女性小
(2)男性皮肤中的胶原蛋白含量比女性高1/4
提示:胶原蛋白在皮肤中的作用可能对于男性更有意义
7.毛孔与油脂分泌
本书考察了不同年龄段、不同身体部位的男女皮表毛孔与油脂分泌相关情况,发现:
(1)男性可见毛孔数目明显大于女性(约多30%)、毛孔孔径大于女性(孔径约大10%)、黑头嵌入毛孔比例高于女性(多5%左右)
(2)男性皮脂腺形态更大、男性的皮脂水平显著高于女性、男性面部各部位皮脂分泌量高于女性大于50%
提示:毛孔清洁、油脂分泌调控对男性有重大意义。
8.汗液分泌
汗液是由汗腺分泌的液体,主要成分为液体和固体两部分,液体内主要是水分,固体内有无机物和有机物,有机物中以乳酸及尿素最多,无机物中以氯化钠最多。此外还含有钙、磷、镁、铁。本书考察了不同年龄段、不同身体部位的男女汗液分泌情况,发现:
(1)男性比女性汗液排放量更高,男性为800mL/ h ,女性为450mL/ h ,男性高出40%以上
(2)恒载循环( CON )和间隔循环( INT )试验中,男性的平均出汗率显著高于女性超过40%以上, CON 与 INT 循环期间,男性的汗液总乳酸量均显著高于女性。
提示:对于男性汗液分泌的调控,策略应有所不同。
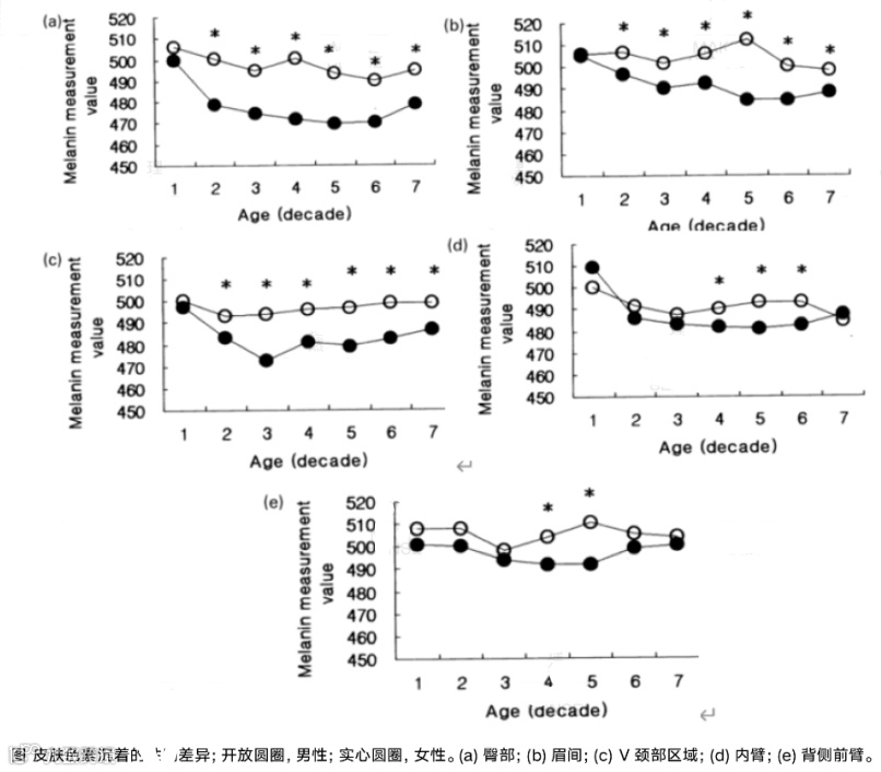
9.色素沉着
男性和女性皮肤的色素沉着程度存在差异。女性的肤色总体上比男性浅。本书考察了不同年龄段、不同身体部位的男女色素沉着情况,发现:男性各个部位皮肤色素沉着均比女性的深,其中颈部色素与臀部色素男女差别很大,其次是眉间。
提示:色素沉着在男性群体的表现显著,干预策略应有所不同。
10.毛发及附属物
毛发是皮肤的附属物,是人皮肤的特征之一。本书考察了男性毛发及附属物的特点,发现:(1)胡须是男性独特的面部特征性的末端毛发,胡须生长在口、鼻周围长胡须易沾染上细菌和尘埃等污物
(2)男性颈部毛发凸出角度较低,皮肤粗糙,新生毛囊的形貌类似于一个土丘或火山状结构(如图)
(3,男性头皮毛发基于男性的皮脂腺分泌较旺盛,外界活动多,接触粉尘或有害物质较多易使头发沾染上污物,同时雄性激素性脱发也是男性毛发健康的一个重要问题。
提示:对于男性胡须、头发等相关部位的毛发附属物的护理,应有更多的关注并采取不一样的护理方式。
(1-5点请见往期推送2万篇文献阅后总结,男女皮肤差异点在哪里——中幸·Mr.悦男士皮肤科学研究中心报告)

