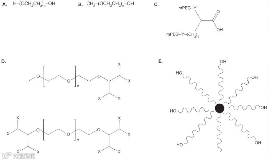
聚乙二醇(Polyethylene Glycol,简称 PEG),也被称为聚环氧乙烷(PEO)或聚氧乙烯(POE),是一种非常重要且应用广泛的合成聚醚化合物。简单来说,它可以被看作是由许多个“乙二醇”单元连接而成的长链分子。其化学结构简式通常表示为 HO(CH₂CH₂O)ₙH,两端是活性的羟基(-OH)
(图源:医药魔方)
|
|
|
|
|
|
|---|---|---|---|---|
|
|
|
|
|
|
|
|
|
|
|
|
|
|
|
|
|
|
|
|
|
|
|
|
|
|
|
|
|
|
|
|
|
|
|
|
|
|
|
|
|
|
|
|
|
|
|
|
|
|
|
|
|
|
|
|
|
|
|
|
|
|
|
|
|
|
|
|
|
|
|
|
|
|
|
|
|
|
|
|
|
|
|
|
|
|
|
|
|
|
(图源:医药魔方)
PEG化修饰在药物方面的应用主要为PEG化蛋白药物、PEG化肽链型化合物、PEG化小分子药物、PEG化脂质体等方面。
5.1 PEG化蛋白药物(PEGylated protein drugs)
PEG化蛋白药物的修饰途径主要包括氨基修饰(包括N端氨基的酰基化修饰、赖氨酸侧链氨基的酰基化修饰、N端氨基的烷基化修饰)、羧基修饰、巯基修饰等。国内外PEG化蛋白药物的研究主要集中在腺苷脱氨酶、天冬酰胺酶、干扰素、粒细胞集落刺激因子、白细胞介素等方面。PEG化的大分子药物目前主要用于治疗癌症、慢性肾病、肝炎、多发性硬化症、血友病和胃肠疾病[20]。
5.2 PEG化肽链型化合物(PEGylated peptide-based compounds)
多肽一般血浆半衰期短、口服生物利用度较低,这是由于体内存在大量的肽酶及其排泄机制,使肽失活、清除。这种不稳定性使得身体能够快速调节激素水平以维持体内平衡,但对许多治疗研发来说很不利。另外口服多肽的生物利用度低是由于口腔中消化酶可以分解摄入蛋白质的酰胺键,也能有效地切断肽激素的相同键,同时肽的高极性和大分子量也严重限制了肠通透性。用PEG对肽进行化学修饰,可以提高肽的多种理化性能和药代动力学性能,且制造成本增加极小。PEG修饰对肽药代动力学的影响具有潜在有益的生物分布变化,包括避免网状内皮系统(Reticuloendothelial System ,RES)清除,降低免疫原性,减少酶解和肾滤过损失。这些效应可以显著增加肽在体内的半衰期,间接改善生物利用度,但不会对肽与配体的结合和活性产生不利影响。PEG化肽链型化合物,如沟降钙素、表皮生长因子,相比于母药,其半衰期长,生物活性高。特别是在PEG的定点修饰中,肽化合物比蛋白质更容易获得。在多肽化合物的PEG化研究中最常见应用的是mPEG。
5.3 PEG化小分子药物(PEGylated small molecule drugs)
目前许多小分子,尤其是抗肿瘤药物,可以采用PEG化技术进行修饰。PEG负载的小分子可以将其许多优良性质转移到偶联物上,使聚合物具有良好的生物相容性。不仅可以改善其溶解性和生物分布,还可以通过改变药物对酶和重要器官的暴露程度来减少其代谢和毒性。许多抗肿瘤药物都是通过高分子量PEG修饰来实现对肿瘤组织的靶向给药。伊立替康、喜树碱、多柔比星、紫杉醇等小分子抗肿瘤药经PEG 修饰制备成前药,其溶解性、体内循环半衰期、不良反应等均得到较大改善,同时具有明显的增强渗透和滞留效应,对肿瘤组织的靶向作用也有所提高。
尽管PEG化的蛋白质和多肽取得了显著的成功,但PEG化小分子药物的开发进展有限。这可能是由于天然药物生物活性的丧失、化学偶联和纯化困难以及不良反应等问题。如PEG化喜树碱[21],Enzon制药公司已于2005年依据2b期临床试验的数据,宣布停止进一步开发此药物。临床试验结果显示,与商业配方相比,该结合物具有高度耐受性,毒性显著降低。然而,该结合物在体内的快速水解导致了与天然药物平行的毒性,导致该结合物的药物开发失败。
5.4 PEG化脂质体(PEGylated liposomes)
脂类是两亲分子,分子中有亲水(hydrophilic)和疏水(hydrophobic)两部分。当脂类与水接触时,分子疏水段与溶剂的不利相互作用导致脂类的自组装,通常以脂质体的形式出现。脂质体是由一个或多个同心脂质双层膜形成的球形自封闭结构,其中心和双层膜之间包裹着水相,由天然脂质或合成脂质组成。20世纪60年代,剑桥大学Babraham研究所的Alec D Bangham首次发现了脂质体,并提出了用脂质体作为药物传递载体的想法。由于脂质体的大小、疏水和亲水特性(除了生物相容性),脂质体是很有前途的药物输送系统,具有很多优势。脂质体可以通过改变药物吸收、降低代谢、延长生物半衰期或降低毒性等手段来改善新药或已上市药物的治疗指标。药物分布主要由载体的性质来控制,而不再仅仅由原料药的理化特性来控制。
图3 胶束(左)、脂质体(中)和脂质双分子层(右)的空间结构
(图源:医药魔方)
脂质体也存在许多缺点,如生产成本高,包封药物/分子时易渗漏和融合,磷脂有时会发生氧化和水解反应。脂质体最主要缺陷是快速被RES捕获,导致半衰期短、溶解度低、稳定期短。而PEG化脂质体(PEG化长循环脂质体,PEGylated long-circulating liposomes)可以解决这些问题。PEG化后,PEG链通过在脂质体表面建立一层亲水保护膜使得脂质体表面的亲水性增加,与单核吞噬细胞的亲和力降低,从而逃避RES的识别,减少脂质体的捕获,阻止脂质体与其他分子,如各种血清成分的相互作用,故又称隐形脂质体(stealth liposomes)。该技术应用的一个著名例子是Doxil®,它是由美国Sequus公司开发的。它是美国FDA批准的首个脂质体药物,也是首个纳米药物。
虽然PEG化脂质体具有许多优点,但随着研究的深入,PEG化脂质体也带来了相应的问题。PEG链的空间位阻抑制靶细胞摄取脂质体,PEG干扰基因和蛋白药物携带的pH敏感脂质体(pH-sensitive liposomes,PSL)的“核内逃逸”,导致这些药物在溶酶体中降解;另外在同一动物体内反复注射PEG化脂质体可引起“血液清除加速”现象。这一系列的负面影响被称为“PEG困境”。“PEG困境”给PEG化脂质体的发展带来了严峻的挑战。
5.5 其他应用
PEG化亲和配体和辅因子用于双水相分布系统中生物大分子和细胞的纯化和分析。PEG化糖可作为新型药物的材料和载体。PEG化寡核苷酸能提高溶解度、对核酸酶的抗性和细胞膜的通透性。PEG化生物材料可以减少血栓形成,减少蛋白质和细胞黏连。
品牌优势
捷倍斯生物可以提供专业和完善的核酸分离纯化解决方案,有硅胶柱法、磁珠法与溶液直接法的核酸纯化产品,在二代测序的样品前处理方面有着专业的技术与积累,有完善的针对唾液、血液与血浆等样品的保存、运输与高通量核酸纯化等整套的解决方案。 在诊断试剂原料方面,捷倍斯生物可以提供生物染色剂、高端的表面活性剂、显色底物、生物缓冲剂以及酶制剂与其稳定剂等系列产品。
做值交往的人|做值得信赖的产品


