最近几个周末北京的天气格外好,朋友们都外出撒开了欢。蔚蓝的天、雪白的云、活蹦乱跳的娃娃……在笔者的微信朋友圈呈现得淋漓尽致,猛烈地刺激着笔者那颗宅宅的心。终于有一天,在美好大自然的召唤下,笔者决定褪下那件被世人标榜的宅男外衣,去感受一下冬去春来时节北京的美景。思索不到5秒钟,我就决定了目的地是奥林匹克森林公园。经过近40分钟的地铁辗转,我终于踏入公园,戴上耳机,选中歌曲“平凡之路”,开始了踏青之旅。
北京有如此蓝天白云的日子实在是难得呀,在奥森溜达了一圈后,笔者仍感意犹未尽。忽然,有几个骑着黄色自行车的年轻孩子从我身边擦肩而过。看着黄色自行车上的标志性logo“ofo”,笔者决定登上小黄车,吹着春风,踩着单车去鸟巢……
回顾一下ofo的发展历程,从2014年创立开始到现在,仅仅用了3年的时间,连接单车数量超过100万,注册用户数超过2000万!单车市场的潜在空间的确很惊人。

资料来源:百度百科
就像当年打车领域的滴滴、快的、UBER等一样,在“出行最后一公里”的领域,“小黄车”、“小橙车”、“小蓝车”也正在进行着激烈的角逐。共享单车为什么能引起资本的追逐?共享单车究竟能不能盈利?笔者在心中简单地算上了一笔。当然,很多假设是建立在经验之上的保守估计,如果有更完整的数据就会更理想了。
以ofo为例:
(1) 不考虑押金利息收入
每辆单车成本270元,每辆单车使用1小时内收费 1 元。假设平均每辆单车每天使用3次,每次使用1小时以内,则在正常计费情况下每辆单车回收成本的时间为3个月。
每辆单车月收入:1× 3 × 30 = 90元(假设一个月30天)
回收单车成本月数:270 /(1× 3 × 30) = 3个月
(2) 考虑押金利息收入
目前连接单车数量超过100万(记单车数100万),注册用户数超过2000万(记用户数2000万),每个使用用户(指交了押金的注册用户)押金99元。假设注册用户数转化为使用用户数的比例仅为50%,且年利率为3.5%(参考余额宝),则每辆单车每月押金利息收入为2.89元。
每辆单车押金用户数:2000万 × 50% / 100 万= 10
每辆单车每月的押金利息收入:10 × 99 × 3.5% / 12 = 2.89元
每月总押金利息收入:2.89× 100 万= 289万元
每年总押金利息收入:289× 12= 3468万元
上面还只是最保守的估计,在实际生活中,每辆单车每天使用次数大于3次,回收每辆单车的成本小于3个月,如果每天使用次数达到6次,那回收每辆单车的成本只需要1.5个月;注册用户数转化为使用用户数的比例大于50%,年利率大于3.5%,每辆单车每月的押金利息收入大于2.89元,每年总押金利息收入大于3468万元,如果注册用户数达到2亿,那每年仅总押金利息收入就超过3.468亿了。再考虑到未来拥有的海量用户出行数据资产,及在庞大用户基础上带来的广告收益!
算到此处,笔者着实惊叹了一番(好多钱啊!)。回归到现实,此刻笔者已经找到了一处自行车的存放地,一排排小黄车、小橙车、小蓝车参差不齐的存放在那里(还是有待规范化管理呀)。走到近处,挑选了一辆卖相不错的小黄车,正准备扫码骑走,突然发现车座有些小问题,大概需要简单维修后才能使用,于是只能换另外一辆小黄车。
有了小黄车的代步,接下来的路程也快了很多,但此时笔者已经完全没有心思去欣赏美景了,脑中一直闪现着小黄车何时维修、何时重购才能最小化单车运营成本,从而最大化公司利润。
顾城曾说过:“黑夜给了我黑色的眼睛,我却用它来寻找光明”。而笔者的追求却是“恩师传授了我宝贵的知识,我要用它来探索世间万物”。
离开鸟巢后,笔者赶紧回到家中,准备好纸笔,开始了详细的探索研究。
业务场景描述:
共享单车公司提供自行车出行服务,将自己购置的自行车共享给市民,市民付出固定押金和每次较少的使用费用,享受多辆自行车使用的权利。由于自行车存在零部件老化和使用故障问题,需进行不定期的维修或重购。共享单车公司需制定一个单车更新策略,使其在3年内的单车运营成本(维修成本和重购成本)最小。
以下表格为每辆单车重购成本和维修成本在3年内不同月份的变化情况。

数据来源:笔者模拟
经过对业务场景的详细分析,笔者发现此问题属于运筹学中动态规划范畴,在纸上仔细演算一番后,终于找到以下思路。
定义:
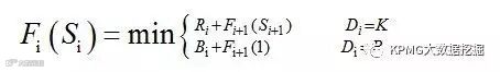
(1) 阶段Si 代表第i个月初保有单车已用的月数,当Si=t时表示第i个月初保有单车已用了t个月,t<i
(2) Di代表第i个月的决策,当Di=K 时表示第i个月采用维修策略,当Di=P时表示第i个月采用重购策略
(3) Ri代表第i个月采用维修策略时的维修成本
(4) Bi代表第i个月采用重购策略时的重购成本
(5) Fi(Si)代表在第i个月初保有已经用了Si个月的单车时的最小运营成本,则有
当i > 1 时:

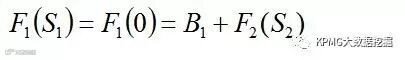
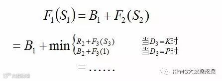
当 i = 1 时:

(6) i, t 为正整数,且1<=i<= 36,1<= t<i
于是,业务问题转化为如下求最小值的数学模型问题:

求解过程:
第一步,初始化维修成本和重购成本系数矩阵,初始化参数c为最大月数,初始化参数k为1。

第二步,计算Fc-k(Sc-k),其中Sc-k分别为1,2,……,c-k-1;将参数k赋值为k+1。
第三步,判断c-k是否等于1,如果不等于1返回第二步,否则结束。
流程图如下:
(1)最优单车运营成本计算流程

(2)最优单车更新策略计算流程

为了便于理解,笔者先用excel展示一下计算过程:

是不是感觉好繁琐呀,用excel要粘贴36遍,并且要在每个单元格配置不同计算公式才能出结果,而且扩展性极差,完全不符合笔者作为一名专业攻城狮的职业素养,必须要自动化!!!
经过几个小时的码砖,笔者写出如下不太优雅的代码,请大神们轻喷哈~



运行代码,得到如下执行结果:
每辆单车最优更新策略为第1个月和第18个月采用重购策略,其他月份采用维修策略;每辆单车最优运营成本为1645元。

盯着屏幕上输出的结果,瞬间一种 “当今天下,舍我其谁”的自豪感油然而生。正沉浸在YY中时,突然一阵阵咕噜咕噜的声音突然从耳边传来,这才想起笔者从下午回来还没吃晚饭呢。抬头瞅了一下墙上的时钟,哇,已经午夜12点10分了,看来又要叫外卖或者煮面了,好心酸……
注:以上内容纯属作者本人观点,还有很多待完善之处,比如考虑不同折旧程度的单车带来的收益不同、同批次采购的单车在相同月份维修成本不同等因素对单车最优更新策略的影响。
此外,作者建议可以尝试按照单车损坏程度分类(如极好、较好、一般、较差、极差)去探索最优单车更新策略(其实只要更新维修成本和重购成本系数矩阵,文章中程序可自动运行出结果)。如果有感兴趣的朋友,欢迎联系作者一起研究学习。
长按二维码即可关注!也请随手推荐我们给你的小伙伴 ↓↓↓↓


