8月21日,国际权威期刊《eClinicalMedicine》(《柳叶刀》子刊,2024 IF=10.0)发表了由中国医学科学院血液病医院张磊教授团队牵头,联合全国12家中心*共同完成的重磅研究成果——"TE-ITP研究"。
这项开创性的随机对照试验基于血小板计数制定个体化剂量调整策略,头对头比较了重组人血小板生成素(rhTPO)优化给药方案与艾曲泊帕在成人免疫性血小板减少症(ITP)治疗中的疗效与安全性。研究结果显示,基于个体血小板反应的rhTPO优化给药法能快速安全升高血小板、提高反应率、降低出血风险,为ITP的个体化/精准治疗提供了高级别循证医学证据。
研究标题
Dose-optimised recombinant human thrombopoietin versus eltrombopag in patients with immune thrombocytopenia: a multicenter, randomised controlled trial (The TE-ITP Study)
比较rhTPO优化给药法与艾曲泊帕治疗成人ITP的疗效与安全性的多中心、随机对照研究(TE-ITP研究)
研究背景
先前研究已证实rhTPO固定剂量(300 U/kg/天给药2周)给药方案在ITP治疗中具有良好的疗效和安全性,亦有研究报道rhTPO高剂量30 000 U/天×14天治疗ITP安全有效,提示剂量优化rhTPO方案或可在ITP治疗中取得更大临床获益。本研究比较了基于血小板反应的rhTPO优化给药方案对比艾曲泊帕的疗效和安全性,旨在为ITP患者带来新的治疗选择。
研究方法
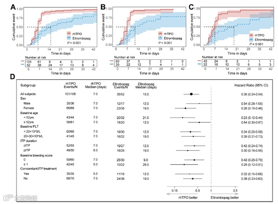
2022年11月22日至2024年1月16日期间,本研究最终纳入157例病程至少3个月且基线血小板计数<30×109/L的成年经治ITP患者,依据基线血小板计数水平(<20×109/L vs ≥20×109/L)和2:1比例随机入组至rhTPO优化给药组(起始剂量为300U/kg/天或600U/kg/天,皮下注射)或艾曲泊帕组(起始剂量为25mg/天或50mg/天,口服),并接受为期6周的治疗。治疗期内将根据患者个体血小板反应进行剂量调整,rhTPO的最大剂量为600U/kg/天,艾曲泊帕的最大剂量为75mg/天。主要终点为自治疗开始至首次连续两次检测血小板计数≥50×109/L的时间(Clinicaltrials.gov NCT05583838)。
研究结果
两组患者人口学和基线特征均衡。主要终点分析结果显示,rhTPO优化给药组患者自治疗开始至达到首次血小板计数≥50×109/L的中位时间为7天,快于艾曲泊帕组的15天(p<0.001)。按基线血小板水平、年龄、性别等分层的亚组分析结果与主分析一致。同时,rhTPO优化给药降低了患者的出血风险,较艾曲泊帕组降低了47.7%(OR 0.523,95% CI 0.360–0.758;p<0.001)。
研究结论
TE-ITP研究首次表明,rhTPO优化给药法在提升血小板计数、提高治疗反应率和降低出血风险等方面均优于艾曲泊帕。这一发现为ITP患者提供了一种更有效、更安全的治疗选择,尤其是在需要快速提升血小板计数和降低出血风险的患者中,rhTPO的个体化给药方案显示出优势,有望改写ITP二线治疗的临床实践。随着相关临床研究的进一步深入,rhTPO 有望在 ITP 治疗领域发挥更为重要的作用,为广大患者带来更多治疗希望与选择。
*参与本研究的12家中心分别是中国医学科学院血液病医院(中国医学科学院血液学研究所)、内蒙古医科大学附属医院、哈尔滨医科大学附属第二医院、昆明医科大学第二附属医院、空军军医大学西京医院、陕西省人民医院、河南省肿瘤医院、西安市中心医院、广西医科大学第二附属医院、华北理工大学附属医院、大连医科大学附属第二医院和天津医科大学第二医院。
参考资料:
Yunfei Chen ao,Ting Sun ao,Da Gao,et al.Dose-optimised recombinant human thrombopoietin versus eltrombopag in patients with immune thrombocytopenia: a multicenter, randomised controlled trial (The TE-ITP Study).eClinicalMedicine,2025.
关于三生制药
三生制药是一家集研发、生产和销售为一体的生物制药领军企业,致力于以高品质的药品提高患者生存质量,为人类健康造福。目前,公司拥有100余项国家发明专利授权,40余种上市产品,覆盖肾科、肿瘤科、自身免疫性疾病、眼科及皮肤科等多种治疗领域。公司拥有抗体药物国家工程研究中心以及生物药和化药双平台的4大研发中心,共有30种在研产品,4大生产基地及4大CDMO基地。未来,三生制药将继续秉持“珍爱生命、关注生存、创造生活”的理念,全力打造全球领先的中国生物制药企业。请访问www.3sbio.com获取更多信息。
About 3SBio

