
编辑|Jane
来源:环球人力资源智库(GHRlib)
在市场上,我们总能听到HR和企业高管抱怨,“招人太难了”。看他们的招聘JD,吓了一跳——这要求也太高了!
拿医药行业举例,过去5-10年医药行业大量资本涌入,招聘需求也旺盛,但很多医药公司招不到人。
我看了他们的招聘JD,发现这些公司不管是招经理、总监、还是VP,通用的基础要求就是本行业15-20年的经验。
我很震惊,询问这些公司的老板:“咱们国家生物医药行业也不超过25年,你随便就要求20年经验,这样的人即使来了,你用的起吗?”
好几家医药企业的老板都答:“背后有资本用得起。”
我又问:“如果你的竞争对手出更多钱,挖走经验丰富的员工怎么办?”
这些老板就说,发展内部人才,做人才培养。
当问到谁是内部人才,他们却答不出来了。

你真的会招人吗?
许多企业外部招聘、内部选拔通常有这些要求:学历达标、专业对口、工作经验丰富、稳定、忠诚度高,最好薪资要求
这不仅拉高了招聘难度,更重要的是,会错过许多人才。
与其一味追求完美,不如明确需求选择更“合适”的人;
其中有几点十分重要:
· 绩效好;
· 心胸宽广,愿意分享成功或失败的经验;
· 学习能力,愿意不断提升自我能力;
· 员工文化与企业文化一致。
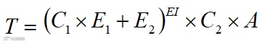
根据这几点,我们拟出一个挑选人才的数学模型(HCTS模型):



人才是员工胜任力、敬业度、对组织的贡献、企业文化与价值观的整合,只要胜任力与敬业度合格,经验的缺少并不能否定一个人的潜力,在这一切的基础上,员工的自我情绪调节是加分项。
运用HTCS模型能够清晰、快速对人员进行人才判断,为企业招收更多合适的人。
除了招人的问题,留人也是一大难题。

不深究人才流失的原因,
最后将留不住任何一个人才
我曾是某家咨询公司的HR顾问,某次开管理层月会之前,我一再询问HR总监,公司的离职率数据。对方说有数据,但具体拿不出数据。
到了月会当天,这位HR总监终于阐述了公司前6个月的离职数据,他是这样说的,“A部门1月至今走了16人,B部门26人,这两个部门员工走得太多,负责人要小心!”
我追问,有没有详细分析员工为什么走?相比之下,去年同期员工流失原因是什么?员工流失静态、动态分析有没有?
HR总监答不出所以然。
一个公司连人才流失的原因都不知道,更无法完成人才选、用、预、留。像这样不做人才流失分析的公司还有很多,这也是人才经营的一大挑战。

人才招来了,为什么留不住呢?每当遇到这个问题,人力资源们就会把问题归结为钱给少了。其实未必是钱的问题。
国内有家芯片公司连续2年都出现核心技术人员、高管离职的情况。而离职人员股票、年薪都已高达上百万。
在这种很难有公司开出极具吸引力的薪酬情况下,这群高薪人员会因为什么离职呢?
我们要从他们面临的压力开始分析。

现代职场人的生活条件都挺不错,我们每天吃得饱、穿得暖、生活在舒适的环境里,可抑郁症的发病率是一年比一年高,这是为什么?
从心理学角度看,我们每天重复干着同样的事情,很容易出现职业倦怠。这种时候最需要的是什么?是休息。但有多少人能在周末、假日做到短信、电话一概不回,完完整整的休息呢?
说个有意思的事,我曾看到过一组数据,关于节假日、请假日员工使用手机办公情况。结果78%的员工会在休息的时候主动查看工作消息,仅有2%的员工选择关机不被打扰。
可见大多数人在工作中处于焦虑状态,但这只是职场人压力的一部分。

生存压力只是基础,工作压力、职业压力、氛围压力、健康压力、心理压力等等无一不是担在当今职场人肩上的巨石,有一块重量增加,人就被压垮了。
了解了职场人面临的压力后,我们就能知道员工需要什么,从而制定人才经营战略,减少人才流失。
想要做好人才经营,我们先要明白,需要去经营的不单单是“人”,更是一种体系。
企业忧虑招不到外部人才,内部人才又不断流失,不仅人才荒,心里也慌。其实这就是人才体系的缺失。

管人才,要有经营思维
人才是一个系统,需要有定义、选拔工具、负责人、培养发展计划等等环节,但大多数公司都没有搞清楚“人从哪来,谁去发掘,谁去挖掘,谁去培养,谁来担责”的问题,笼统的将所有事交给HR,这就导致人才系统的缺失,形成人才荒的现象。
所以,人才经营有一个前提,那就是明确责任人。

1、谁是人才经营的责任人?
谁是人才经营的责任人呢?老板?HR?项目经理?
事实上,当一个老板作为作为人才经营责任人时,他们手头上的事一多,项目基本上会不了了之;
而当HR作为责任人时,项目往往因为缺少话语权开展不下去,
最后,只有将责任落实到用人经理身上,才能更好地运行。

2、基于胜任力的人才经营体系
完善的人才经营体系,是在胜任力模型的基础上,通过观察员工一年的绩效表现,不断优化以下几个方面:
培训发展:通过一年绩效管理,查看员工哪些能力未达标。将未达标的能力作为下一财年的培训方向。
薪酬激励:薪酬激励与绩效表现挂钩,但除了现金激励外,还需注意非现金激励
继任计划:对潜力员工的职业发展计划。

3、学会淘汰

人才经营战略思维不是只有选、用、预、留4个环节,还有一个关键点——学会淘汰。
我们可以把员工分为4个类型:
A类:有潜力、认同企业文化、绩效表现不错
B类:认同企业文化、有潜力、绩效表现较差
C类:文化认同度高、绩效表现不错、潜力不足
D类:潜力较低、绩效平平、对企业文化认同度不高
面对这几类员工,我们应该留下哪些,又淘汰哪些呢?
首先,A类员工有潜力、绩效好,认同企业文化,毫无疑问这是所有企业想要的;
其次,C类员工认同企业文化、有绩效,但未必有潜能,这类员工通常占企业的70%;
再者,B类员工也很常见,他们认同企业文化,但绩效平平,对于这种员工我们不仅要,更要想方法把它导向C类员工;
最后,D类员工潜力、绩效都不高,也不太认同企业文化,对于这种员工,我们建议直接淘汰。
如果没有淘汰规则,人才体系将是一潭死水。及时淘汰D类员工,通过胜任能力的人才经营体系,不断帮助员工提升自我能力,才能源源不断的吸引、培养出合适企业的人才,才能将人才体系经营起来。
END





