6月28日,国家能源局发布《关于公布2020年光伏发电项目国家补贴竞价结果的通知》,拟将河北、内蒙古等15个省(区、市)和新疆生产建设兵团的434个项目纳入2020年国家竞价补贴范围,总装机容量2596.7208万千瓦,其中普通光伏电站295个、装机容量2562.874万千瓦,工商业分布式光伏发电项目139个、装机容量33.8468万千瓦。
《通知》明确,各项目按要求建成并网后依政策纳入国家竞价补贴范围,享受国家补贴。鼓励未纳入竞价补贴范围的申报项目在企业自愿的基础上转为平价上网项目。

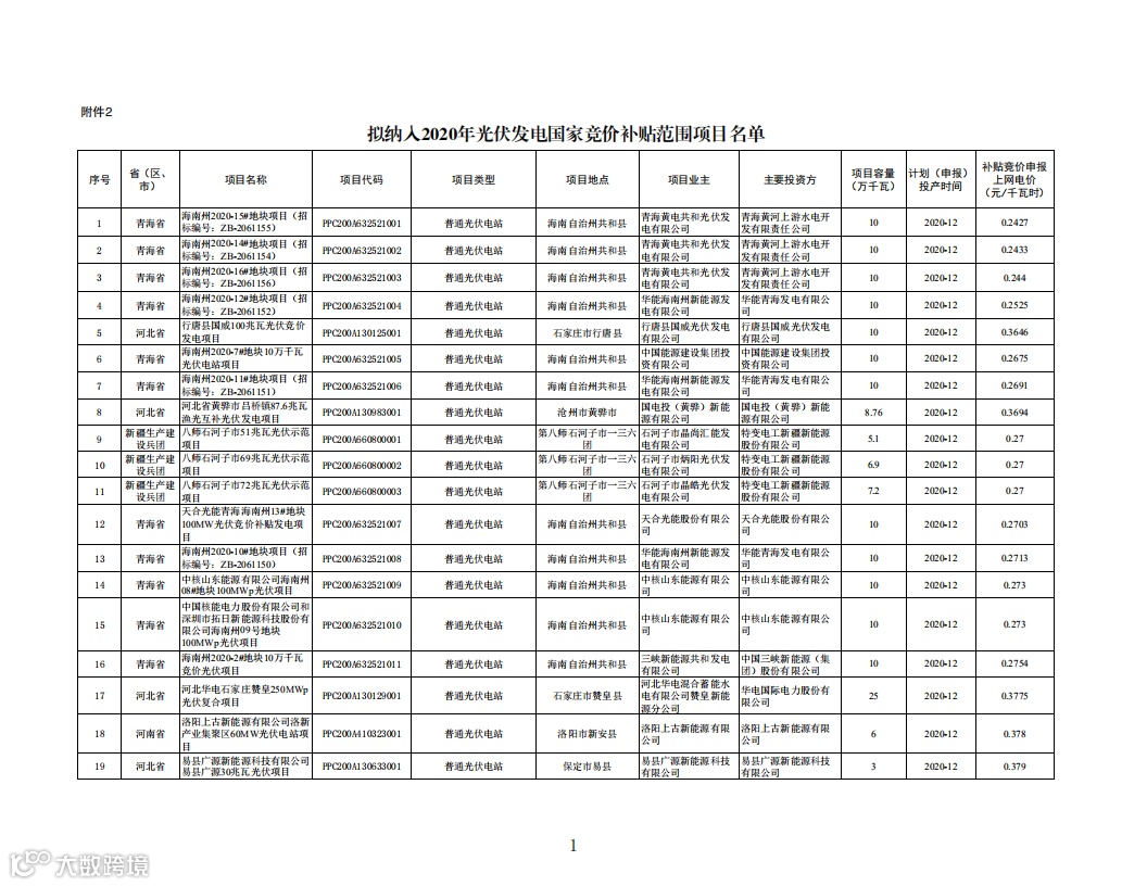
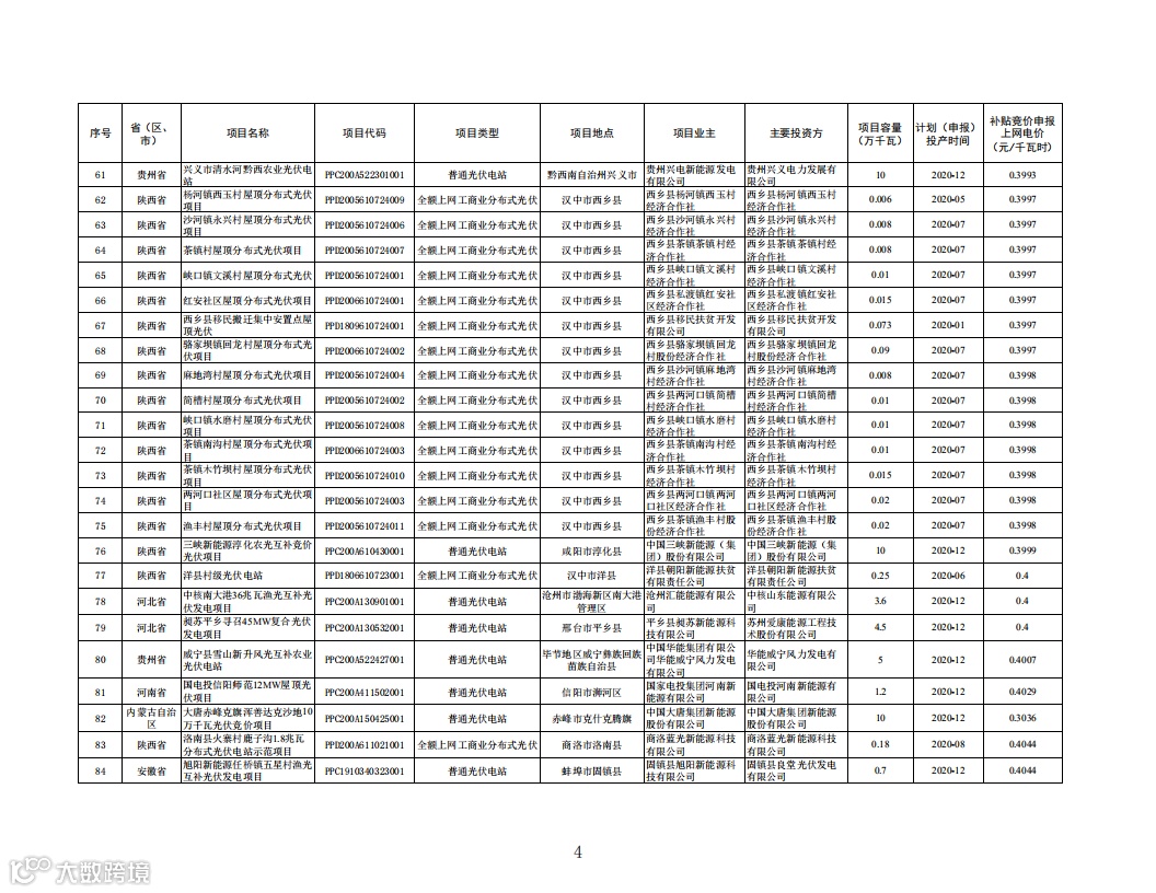
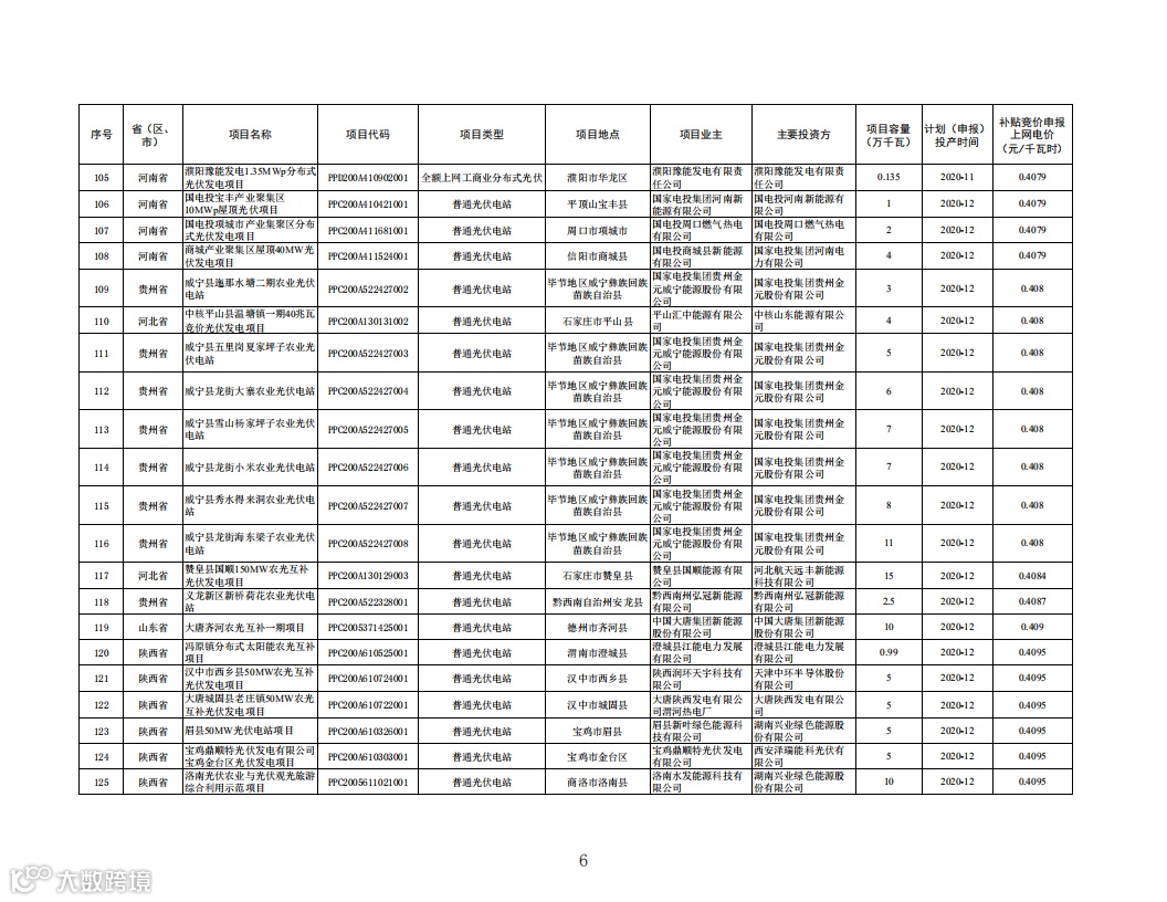
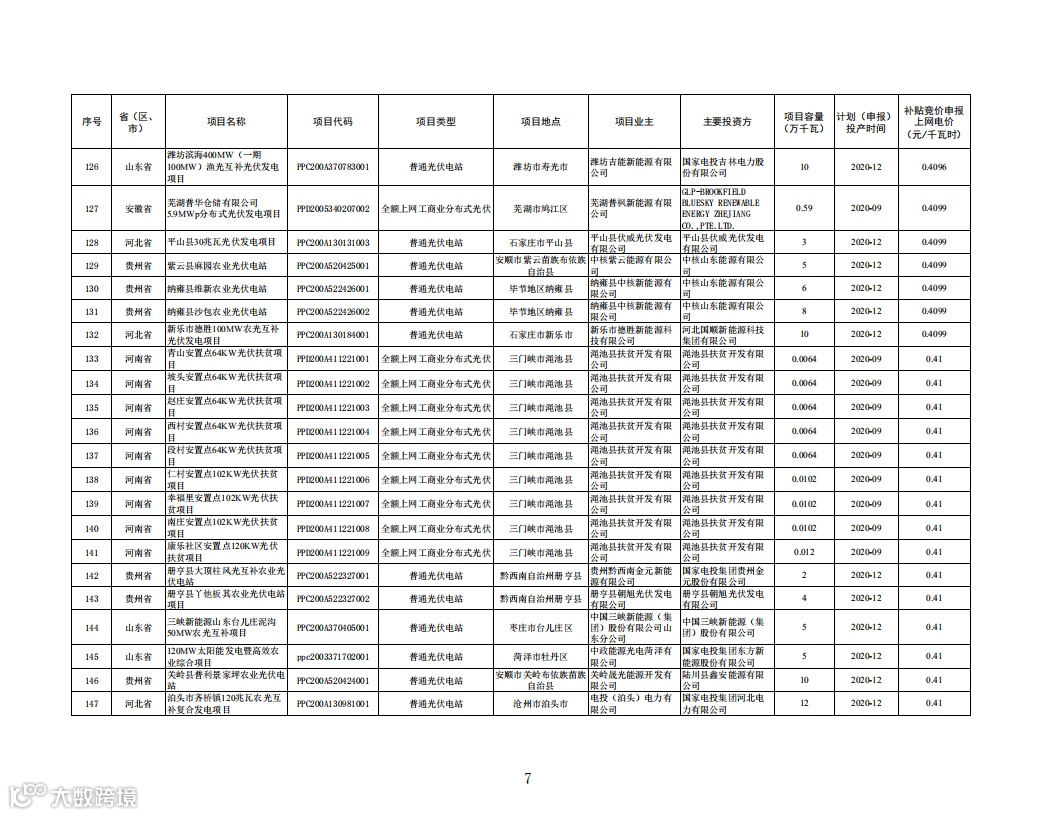
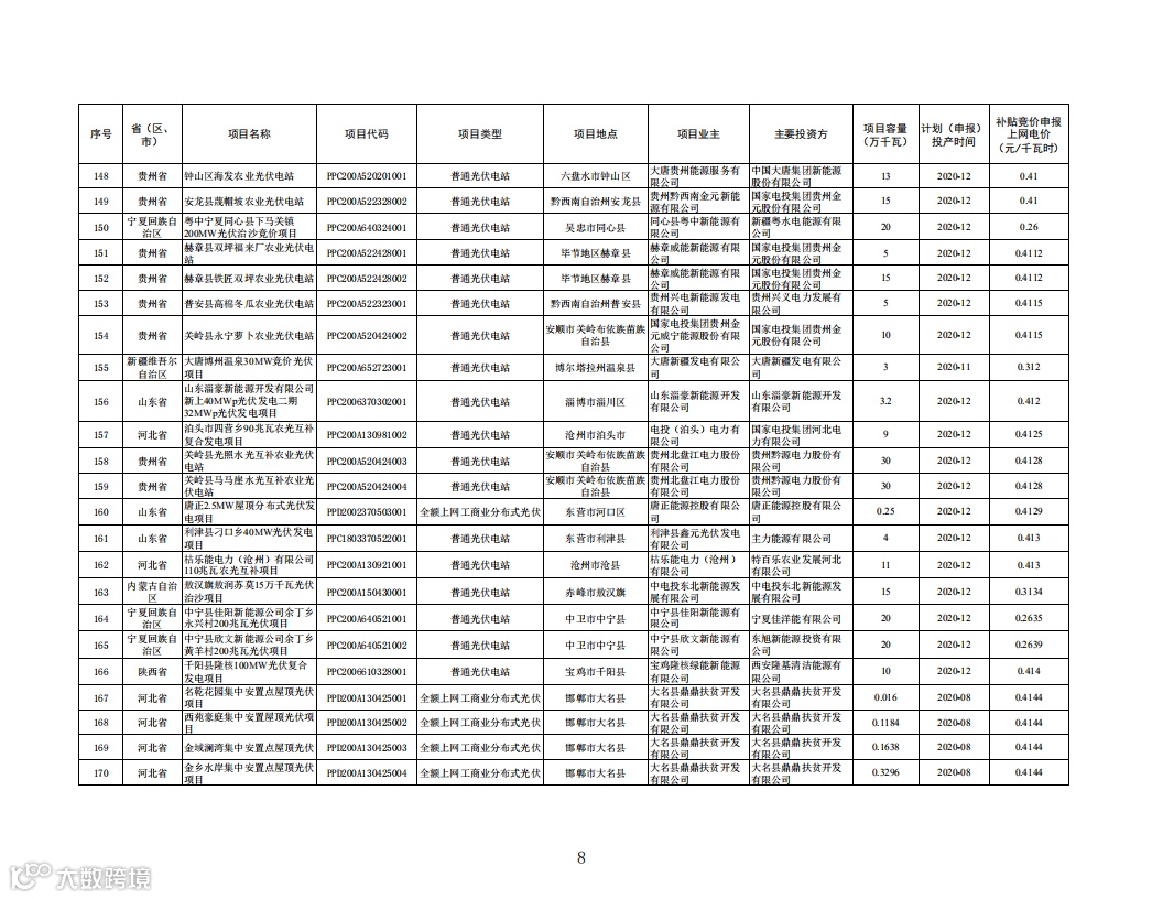
项目具体申报情况如下:
截至6月15日,全国共有22个省份(北京、天津、河北、内蒙古、上海、江苏、浙江、安徽、江西、山东、河南、辽宁、广东、广西、湖南、重庆、贵州、陕西、甘肃、青海、宁夏、新疆)和新疆生产建设兵团组织4168个项目申报光伏发电国家补贴竞价,总装机容量为3350.9114万千瓦。山西、吉林、黑龙江、福建、湖北、海南、四川、云南、西藏9个省份未申报项目。
分省看,申报项目装机容量最多的省份为贵州566万千瓦。装机容量300万以上的省份有4个,为河北、浙江、贵州、宁夏;装机容量在200到300万的省份有2个,为江西、青海;装机容量在100万到200万的省份有4个,为内蒙古、山东、广东、陕西;装机容量在100万以下的省份有13个。
从项目类型看,普通光伏电站项目295个、装机容量2562.874万千瓦,占纳入项目总容量比例为98.7%;全额上网工商业分布式光伏项目137个、装机容量33.0468万千瓦,占纳入项目总容量比例为1.3%;自发自用、余电上网分布式光伏项目2个、装机容量0.8万千瓦,占纳入项目总容量比例为0.03%。
从项目电价看,单个项目最低电价为0.2427元/千瓦时(相比2019年的0.2795元/千瓦时降低0.0368元/千瓦时),加权平均电价为0.3720元/千瓦时(相比2019年的0.4364元/千瓦时降低0.0644元/千瓦时),其中普通光伏电站及全额上网分布式项目平均电价为0.3720元/千瓦时,自发自用、余电上网分布式项目平均电价为0.2895元/千瓦时。
从电价降幅看,单个项目最大降幅为0.1573元/千瓦时,平均降幅为0.0785元/千瓦时,其中普通光伏电站及全额上网分布式项目平均降幅0.0785元/千瓦时,自发自用、余电上网分布式项目平均降幅0.02元/千瓦时。

总体看,今年竞价有以下特点:
1、今年补贴竞争机制更为成熟,主要体现在:
1)、今年首次要求各省公开消纳空间,电网接入合规性明显提高;
2)、各省组织更为规范有力。与去年相比,今年青海、内蒙古等多个省区开展了省内竞争配置工作,竞价更为充分,各项建设条件落实更到位,申报项目各项支持性文件更加齐备,准备更加充分;
3)、国家竞争更为充分。与去年相比,今年未入选项目主要原因是竞价排序在后面,体现了国家统一竞价推动竞争更为充分。
4)、企业申报电价更具经验。具有较强实力和竞价经验的大型企业,今年入选规模较大,体现了对竞价机制更为熟悉。
2、竞价机制的第一年,有项目作废等问题,与去年相比,今年申报的项目在建设过程中,不同之处在于:
去年有项目没有完成,主要是受疫情影响,除此之外,土地合规性瑕疵和电网接入没有解决好是这些项目未能完成的最主要原因。企业有了去年经验,在土地和电网合规方面都是非常慎重,因此在这两方面上的结果要好于去年。同时今年国家能源局还要求电网提前公布全年消纳容量,这对企业做电网接入是非常有利的。另外,青海、内蒙等省区先期进行了省内竞争配置,也使项目各项条件更加成熟,今年项目的完成率应该大幅高于去年。
另一方面,今年产能扩张叠加新冠疫情,带来产业链价格提前下降,使更多地区在电价进一步降低的情况下,可以实现预期收益,从而进一步保障顺利建设并网。
3、从今年竞价结果来看,后半年及今年全年的行业发展有望呈现全面开花蓬勃发展的势头
2020年纳入国家竞价补贴范围的项目有2596.7万千瓦,较2019年的2278.9万千瓦,增了317.9万千瓦。同去年竞价结果相比,今年光伏建设单体规模更大,布局更加广泛,这会助推行业集中度持续上升,“大对大”的发展趋势会更加明显。
从上游制造端来看,将带动制造端的需求,提高产能利用率,产业链各环节价格经历上半年的大幅下滑后,将趋于稳定;从下游应用端来看,项目规模的扩大能够有效降低集采价格,从而提升项目经济性,减少项目作废的风险,保障全年的市场需求及并网规模。考虑到全球疫情影响的大幅缓解,行业有望在下半年呈现全面开花的蓬勃发展势头。
4、在降价幅度等方面,从目前来看,竞价机制对于光伏高质量发展发挥了推动作用
2020年平均竞价幅度达到0.0785元/千瓦时,按20年经营期测算相当于为国家节省了约500亿元补贴资金,充分体现了竞价机制在补贴退坡中的作用。竞价机制下,入选企业普遍实力较强,项目单体规模较去年有所提高,有利于规模化、集约化建设,推动光伏高质量发展。
5、对于正处于走向平价关键时期的光伏行业,政策和行业还需要在以下方面发力:
目前,光伏发电在全球很多地区已是最便宜电源,明年我国也将迎来全面平价时代,这是政策助推和行业努力的共同成果,来之不易,我们要备加珍惜。政策方面,一是要确保保障性收购小时数及购电协议的执行,比如平价项目20年不变的购电协议、竞价项目各类地区的保障性收购小时数等重要政策固定下来,同时希望尽快将平价项目的政策常态化,模版化。二是还要协力财税,国土等部委,将光伏项目当前占比越来越高的非技术成本降下来,具体来说就是尽快在耕占税和土地使用费上有个明确指导意见,免征或按很少的比例征收。第三是,发改,财政,能源三部委延续今年好的做法,在促进电网公布消纳容量,督促各省不断加大可再生能源消纳和使用等方面继续加大工作力度。
在行业方面,首先,我们还要继续加大各技术研究和产业化开发,不断降低发电成本;第二,要在借鉴国际先进经验,结合中国国情,研究新的商业模式,包括光伏和储能的结合,提高光伏发电对电网的友好性;第三,电力市场化交易是大势,行业要研究光伏发电在未来这种波动性电价体制下的盈利模式。最后,对单个企业来说,粗放式开发时代已经过去,未来只有技术领先,市场嗅觉灵敏,工作精细化程度高的企业才能留下来,而且会过的不错,这是光伏产业高质量发展的必然结果。
以下为政策原文:

























推荐阅读
据说 点 亮 星 标后
不会错过光合能源每条推送哦!
好看的人都点了在看哟

