《全国社会保障基金条例》颁布后,全国社保的增量资金投资A股市场将有章可依,在各方准备就绪之后,有“最稳健资金”之称的社保增量资金有望加快入市步伐。
这个条例的出台不仅表明掌管着近两万亿元资产的全国社保基金理事会终于可以有法可依地运营人民的“养命钱”,而且也意味着基本养老金入市的脚步渐行渐近了。
全国社保基金规模15年增逾74倍 年均投资收益率8.82%
全国社会保障基金是国家社会保障储备基金,由全国社会保障基金理事会管理运营,由中央财政预算拨款、国有资本划转、基金投资收益和以国务院批准的其他方式筹集的资金构成,用于人口老龄化高峰时期的养老保险等社会保障支出的补充、调剂。
国务院财政部门、国务院社会保险行政部门按照各自职责对基金的收支、管理和投资运营情况实施监督,发现存在问题的,依法处理;不属于本部门职责范围的,依法移送有关部门处理。国务院外汇管理部门、国务院证券监督管理机构、国务院银行业监督管理机构按照各自职责对投资管理人投资、托管人保管全国社会保障基金情况实施监督。审计署每年对基金进行审计,审计结果向社会公布。全国社会保障基金理事会通过公开招标选聘会计师事务所对基金进行审计,并通过其官方网站、全国范围内发行的报纸每年向社会公布基金的收支、管理和投资运营情况,接受社会监督。
截至2015年12月底,全国社会保障基金规模已由2000年设立时的200亿元发展到15085.92亿元,累计投资收益额为7133.34亿元,年均投资收益率为8.82%,超过同期年均通货膨胀率6.47个百分点。可以预见,随着全国社会保障基金规模的不断扩大,对我国人口老龄化高峰时期的养老保险等社会保障支出的补充、调剂作用也会不断增强,必将成为我国社会保障制度的一块“压舱石”。
华泰金融团队首席分析师罗毅:增量资金“正能量”肯定会有 但不宜解读为“政策护盘”
拔升全国社会保障基金规范运作的战略高度。此前,全国社会保障基金在法律监管上一直沿用2001年财政部、劳动和社会保障部发布《全国社会保障基金投资管理暂行办法》,《条例》从国家最高行政机关意志出发规范全国社会保障基金管理运营,将进一步提升基金筹集和使用方案上的审慎性,投资运作的稳健性,更利于实现资金保值增值。
本次从国家层面允许地方社会保险基金委托全国社会保障基金管理运营,是以国家信誉为背书为全国社会保险基金的投资运营提供一个安全的出口,增强地方养老保险基金向中央归集的力度,避免地方分散投资的低效和盲目投资的风险,促进全国社会保障基金从短期集中管理运行过渡到中长期的多元化基金管理模式。
去年8月,官方曾发布投资指导方针,允许地方养老金投资于更大范围的高风险资产,股票和股票总净资产的最高比例定为30%。分析认为,随着《条例》的颁布,养老金增量资金投资二级市场,从操作层面来看已指日可待。
但需要注意的是,此前官方渠道已经发布消息,不能将养老金买入A股看成是“政策救市”。养老金是风险厌恶型,且追求高度安全性的稳健资金,在权益类资产的配置上,不会太激进。“增量资金确实会有,对市场也是正面的信心激励,但不能夸大解读”,一位私募基金经理表示。
社保入市加强股市流动性壮大机构占比
A股市场在15年全年和16年初的过山车式的行情下,已基本上完成了“去泡沫化”、“去杠杆化”的进程,市场的系统性风险已基本上得到了充分的释放。因此,未来无论是社保基金,还是养老基金,其逐渐入市的策略,都在情理范围之内。
从长远角度考虑,随着社保基金和养老基金入市步伐的加快,在给股市带来流动性资金的同时,也将进一步提升机构投资者的整体占比,从而增强机构投资者对股票市场的整体影响力,利于将价值投资的理念注入至市场之中,使得整个市场投资逐步趋于理性。
同时,社保基金的入市增加了其投资运用渠道,有利于其在保值的基础上实现增值的目的。从改革角度出发,社保基金作为一个“航母”级的机构投资者进入证券市场,并不是简单的资金堆积,其规模经济的要求,将会促进证券市场深层次的产品创新和制度创新。
引导外部资金入市,是刘主席上台之后最先的一个表态。推动养老金等长期资金入市、培育壮大机构投资者已成为发展多层次资本市场的一项重点任务。根据国务院去年发布的《基本养老保险基金投资管理办法》,基本养老基金投资股市的上限为30%。按养老金委托投资运营资金约2万亿元规模测试,最多大概有6000亿元资金可入市。目前A股蓝筹股估值仍然处于历史底部区域,正是长期资金入场的最好时机。长期资金入市,将是推动资本市场稳定、健康发展的重要保障。
这不是利空,大家不要慌
1、社保基金一直都在市场,已经存在了很久。从2000年就开始运营投资。
2、条例5月1日起施行不等于五一劳动节之后才入市。因为一直都在啊
3、去年全国社保基金投资收益总额2287.04亿元,收益率15.14%,超过巴菲特同期。截至2015年底,社保基金会管理的基金资产总额达到19139.76亿元,基金权益17968.05亿元。其中,全国社保基金15085.92亿元,比上年末增加2676.39亿元。
4、社保基金一直都在,所以不存在说“大跌之后社保基金才入市”,这是典型阴谋论。社保基金没有那么大的能量
5、为什么社保基金存在这么多年,条例到今天才出来?之前是社保基金管理办法,出条例是一个更新的过程,也可能是为了地方养老金入市做配套
6、社保基金跟地方养老金不是一回事。
社保基金投资股市,是多年来收益率高的原因之一。而据了解,社保基金运作核心是长期投资,基本是以精选个股取胜,较少做择时。必须的说,我们市场需要更多的这种长线资金。
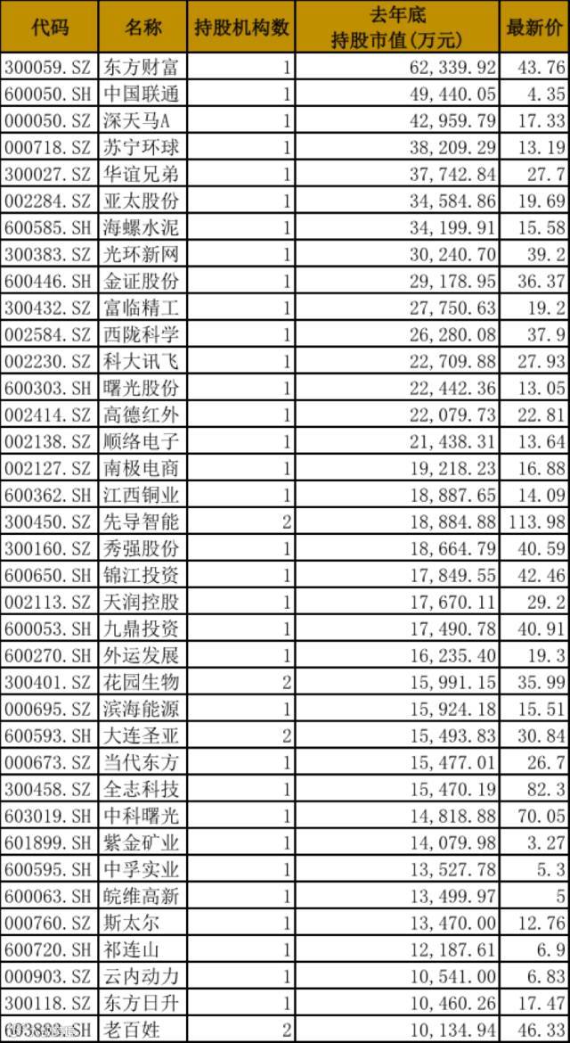
从这个角度看,社保基金所积极布局的个股尤其值得大家关注。整理下目前年报所泄露的社保基金重仓股,给大家一个投资参考。
1、 持有市值较高的股票:
数据显示,截至今日,社保基金现身了217只个股的前十大流通股东名单之列(年报还未披露完毕,持续关注),重点看看持有市值高于5亿的品种。
2、 多只社保都持有的股票
一只社保基金看好还不够,可能多只社保基金都现身股票的前十大流通股东名单之列,才值得重点关注。
以下是3只社保基金同时现身前十大流通股东的个股:
3、 社保去年四季度新进的股票
社保基金去年四季度新进了63只个股,其中持有市值超1亿的如下:
为养老金投资管理探路?
全国社会保障基金财产应当独立于全国社会保障基金理事会、投资管理人、托管人的固有财产,独立于投资管理人投资和托管人保管的其他财产。同时,《条例》对参与投资运营的相关责任方划定了明确的红线。
全国社会保障基金投资管理人、托管人不得有下列行为:将全国社会保障基金财产混同于其他财产投资、保管;泄露因职务便利获取的全国社会保障基金未公开的信息,利用该信息从事或者明示、暗示他人从事相关交易活动;法律、行政法规和国务院有关部门规章禁止的其他行为。
此外,任何单位和个人不得侵占、挪用或者违规投资运营全国社会保障基金。一旦违反上述规定,由国务院证券监督管理机构、国务院银行业监督管理机构责令改正,没收违法所得,并处违法所得1倍以上5倍以下罚款;没有违法所得或者违法所得不足100万元的,并处10万元以上100万元以下罚款;对直接负责的主管人员和其他直接责任人员给予警告,暂停或者撤销有关从业资格,并处3万元以上30万元以下罚款;构成犯罪的,依法追究刑事责任。
值得注意的是,2015年6月,人社部、财政部会同有关部门研究起草的《基本养老保险基金投资管理办法》,正式向社会公开征求意见。那么,此次公布社会保障基金条例,是否也是在为《基本养老保险基金投资管理办法》的出台做准备呢?
前海开源基金执行总经理杨德龙此前表示,引导外部资金入市,是证监会主席刘士余上台之后最先的一个表态,推动养老金等长期资金入市、培育壮大机构投资者已成为发展多层次资本市场的一项重点任务。





