广州雕龄
洗护阳离子专家
头发作为天然带负电的生物纤维体系,日常化学损伤与机械摩擦会让它的负电荷更加密集。而阳离子聚合物作为带正电荷的功能性原料,通过库仑力作用精准吸附于发丝表面,形成保护膜。
通过构建“微观作用机理-宏观性能表征-终端需求映射”的原料性能参数认知图谱,可实现从分子相互作用到消费体验的精准转化。特别是在洗护发产品开发中,阳离子聚合物的沉积效能直接决定了产品的核心调理性能,包括顺滑度、抗静电性及损伤修复效果等关键指标。
本次选取行业常用的 7 款阳离子瓜尔胶及 2 款聚季铵盐作为研究对象,采用与头发理化性质高度相似的羊毛纤维作为模拟载体,借助直接红 - 80 染料与阳离子聚合物的静电显色特性,通过色差分析技术定量表征不同原料的界面吸附量,探究阳离子聚合物的分子结构 - 沉积性能关联机制,为洗护发产品的配方优化提供科学的数据支撑与技术参考。
展示仅为部分产品
实验中使用的原料信息
(1)广州雕龄新材料有限公司
2000PR:聚季铵盐-78
(2)某市售产品:
PQ3903:聚季铵盐-39
点击可查看大图
(3)广饶六合化工有限公司——7款瓜儿胶点击查看更多瓜儿胶原料信息
瓜儿胶羟丙基三甲基氯化铵
型号:
LH-1460
LH-1465
LH-1470
LH-1500
LH-1720
LH-1410C
羟丙基瓜儿胶羟丙基三甲基氯化铵
型号:
LH-1601C
点击可查看大图
首先将羊毛布裁剪为3cm×3cm的测试载体,经10% K12溶液预处理,通过磁力搅拌3分钟确保充分去脂后烘干备用。
在基础洗发水配方中精准复配0.4%目标阳离子聚合物,取0.25g处理液均匀涂布于预处理羊毛布表面,经1分钟机械搓洗模拟日常使用场景,辅以2分钟静置促进分子吸附,随后彻底冲洗去除未结合物质。
将处理后的样品浸入0.01%直接红-80显色体系(20mL/片)进行5分钟染色,通过染料分子与沉积层的特异性结合实现可视化表征。
每组实验设置三平行样确保数据可靠性,并以未添加阳离子聚合物的空白配方作为阴性对照,最终通过色差仪定量分析染色强度差异,建立阳离子聚合物沉积量与显色深度的量化关系。
<01.>
实验一
点击可查看大图
结论一
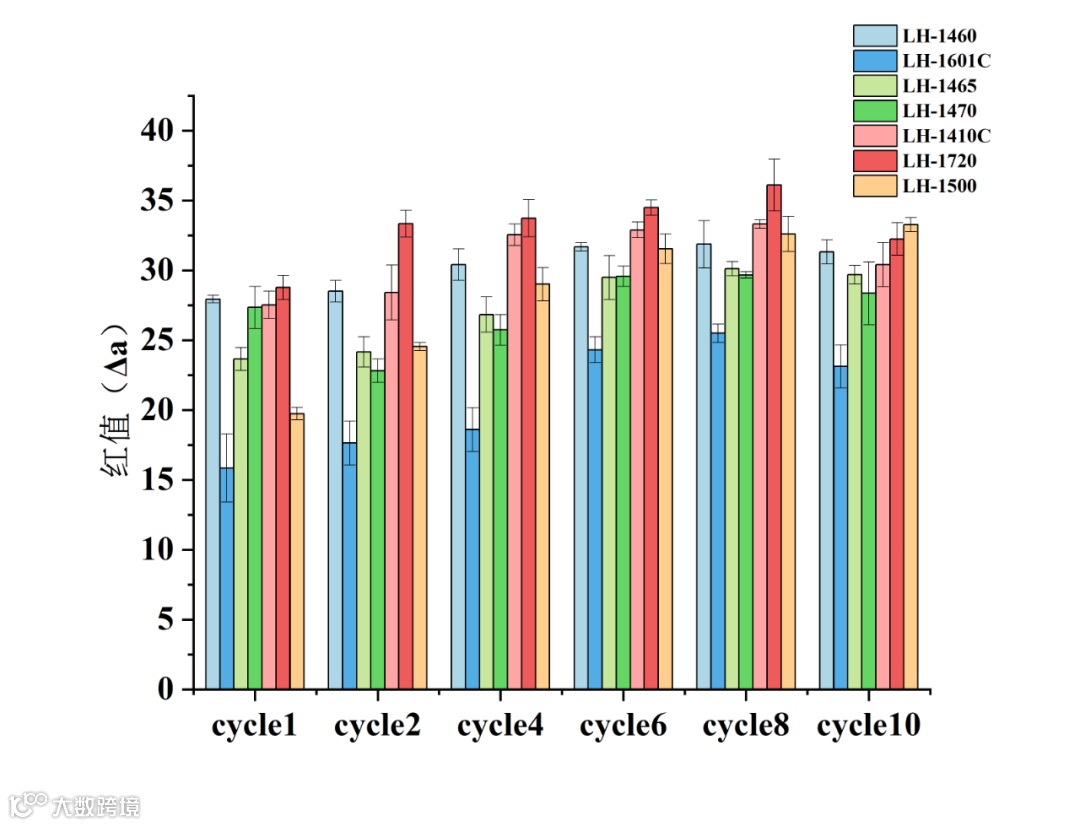
在电荷密度相近的条件下(LH-1460/LH-1465/LH-1470/LH-1500),对四种阳离子瓜尔胶的界面沉积行为进行定量分析。经单次冲洗处理后,显色深度测定结果显示:羊毛布表面沉积量呈现LH-1460>LH-1470>LH-1465>LH-1500的梯度差异,该序列与样品含氮量大小测试结果完全吻合。
其中 LH-1460 的红值表现最优,证实其在羊毛布表面的沉积量最高。
从分子作用机制分析,随着聚合物相对分子质量的增加,分子链间的范德华色散力显著增强,促使阳离子瓜尔胶与羊毛布表面的静电吸附作用进一步强化,最终表现为沉积量的提升。该实验结果揭示了高分子量阳离子瓜尔胶在单次洗护场景中具有更优异的初始沉积性能。
结论二
实验数据表明,LH-1460、LH-1465、LH-1610C 及 LH-1720 等阳离子瓜尔胶在循环冲洗过程中呈现典型的沉积动力学特征:随冲洗次数增加,沉积量先呈持续累积趋势,但在第 10 次冲洗时红值出现显著下降,提示沉积量进入衰减阶段。
从界面吸附 - 解吸平衡角度分析,每次洗护过程均伴随双重作用机制:一方面水流冲刷会导致部分已沉积阳离子聚合物发生解吸;另一方面新的聚合物分子又会通过静电作用重新吸附于纤维表面。
第 10 次冲洗时红值降低,科学解释为解吸量超过新吸附量,致使界面净沉积量出现负增长。该现象揭示了阳离子聚合物在多次洗护场景中,沉积 - 解吸动态平衡对最终护发效果的关键影响。
<02.>
实验二
点击可查看大图
结论
聚季铵盐的沉积结果显示,其在第 2 次冲洗循环时2000PR与PQ3903红值达到峰值,随后随冲洗次数增加而衰减并逐步趋于稳定。与阳离子瓜尔胶相比,聚季铵盐的整体沉积量表现出显著差异,实验数据证实其沉积能力较弱。
2000PR
从分子结构角度分析,阳离子瓜尔胶分子链中富含羟基官能团,这一结构特征使其兼具优异的亲水性和氢键形成能力。在纤维界面吸附过程中,羟基通过多重氢键作用与羊毛布表面形成附加锚定效应,协同静电吸附作用显著提升了沉积量。而聚季铵盐因羟基含量较低,缺乏此类次级相互作用,导致其在纤维表面的沉积驱动力主要依赖单一的静电吸附,最终表现为沉积能力的差异。
广州雕龄,乙未之夏,起于羊城,是一家专营国产原材料的成长型企业,历时近十载,已建立一套完整的自主研发、采购、生产和销售体系,拥有国内系列最全的季铵盐产品研发及生产线。公司专耕日化,主营洗护阳离子,打造了一系列符合行业发展需求的优势产品,同时基于成熟的研发积累,能满足广大客户产品差异化定制需求。
广州雕龄于2024年与科莱恩丰益达成深度合作,为公司实现上游原料供应及技术保障,进一步把控产品品质,提升开发水平,建立了更坚实的基础。立足新的起点,恰逢百年未有之大变局,我们深感百业千行,国产化已是不可阻挡之大趋势。今天,国产化替代的释义已从填补空白,发展到铸就优势,各行业都在涌动。在这个充满机遇和挑战的转折点,广州雕龄,已经做好准备,我们愿携手持续深耕之广大同仁,为日化行业国产化代言,为迎接大势而努力奋进!
▻▻▻
电话TEL:020-31477707
邮箱Email: info@dioline.com
地址:广州市白云区民营科技园科泰二路13-19号高新区产业创新园6号楼701
洗护阳离子专家

