点击上方「蓝字」关注我们
非必要不外出
现在疫情形势严峻,为了各位的安全,请积极配合疫情防控工作,落实疫情防控政策,一定要注意个人卫生,按要求做核酸。
聚季铵盐的概念及作用机理
聚季铵盐是由季铵化的脂肪烷基接枝在改性天然聚合物 (糖类、纤维素、蛋白质) 或含双键的阳离子单体合成的聚合物。
聚季铵盐中阳离子具有较高的相对分子质量, 通过离子静电的吸引力牢固地吸附在头发蛋白结构中带负电荷的表面, 使得具有脂肪性的碳氢链被保留在头发角质层表面。沉积在头发表面的脂肪部分起到很好的调理作用, 使头发表面平滑、润滑、柔软、容易梳理;而季铵盐的导电性则可以减少头发静电的积聚, 从而降低头发飘拂和改善头发的梳理性。

阳离子聚合物在洗涤过程中能吸附于头发表面的机理是:清洗和沐浴一般来说是在体系表面活性剂的临界胶束浓度 (cmc) 以上进行的, 在此过程中聚季铵盐保持可溶状态, 而在冲洗时, 表面活性剂会被稀释到接近它的cmc, 聚季铵盐和体系中的阴离子表面活性剂、两性表面活性剂形成凝聚络合物, 从体系溶液中相分离出来, 这种相分离或凝聚被称为“lockhead效应”。
凝聚物中含有大量阳离子电荷, 将高分子附着在负电荷的头发表面, 从而形成一层透明的保护膜, 而表面活性剂被水冲走。凝聚物中包含有水及小颗粒的护发成分如硅酮或去屑有效成分如吡啶硫酮锌 (ZPT) 等。凝聚物的作用如同笼子, 将护发成分包裹保护起来, 当冲洗到一定程度, 凝聚物解散, 护发有效成分从笼子中释放出来而存积在头皮或头发上。

聚季铵盐的种类
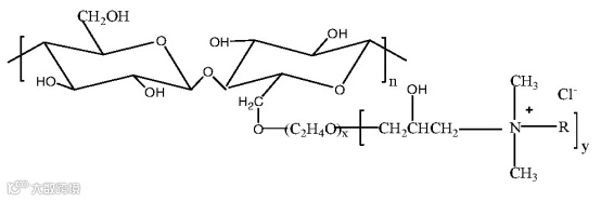
1 阳离子羟乙基纤维素
阳离子羟乙基纤维素即聚季铵盐-10 (JR400) , 是由羟乙基纤维素与2, 3-环氧丙烷三甲基氯化铵反应而制得的聚季铵盐, 具有纤维素的骨架, 它来源于天然的、可再生资源, 最常用的原材料是棉花和木材。
聚季铵盐-10 是在纤维素主链上加入羟基基团来改变结晶结构, 使聚合物变成较易分散于水中的产品, 并通过对羟乙基纤维素的季铵化改性, 产生多个阳离子位点, 表面活性剂上的阴离子的端基可以被吸引到这些阳离子位点上, 同时这些阳离子位点也促进了其在带负电的头发表面的吸附。聚季铵盐-10 的水溶液具有成膜性, 能在头发表面形成均一、透明和有光泽的膜, 从而改善头发外观。

2 阳离子瓜尔胶
阳离子瓜尔胶是瓜尔胶与阳离子醚化剂反应制成。它具有许多优良的性质:
(1) 具有优良的安全性能,可以降低表面活性剂对皮肤的刺激性;
(2) 具有独特支链结构, 阳离子电荷密度低, 不易在头发上产生过多累积效应。
(3) 具有极好的生物降解性。
(4) 具有极强的耐电解质性能, 可应用于“加盐型”调理洗发水中。
阳离子瓜尔胶在洗发水和沐浴露中的应用最广, 因为其调理佳, 附加值高, 常被作为头发及皮肤的调理剂。

3.季铵化水解蛋白
有研究表明:受损后的头发带有更多的负电荷,选用带正电的阳离子化合物能够有效地吸附在头发上,给头发重新覆上一层疏水保护膜,同时可以起到润滑层的作用,使头发变得光滑、柔软。季铵化的蛋白质既具有水解蛋白的水溶性和营养功效,又具有季铵化的吸附性,能够吸附在头发上形成保护膜,令头发具有光泽,更容易梳理。

4.合成类聚季铵盐
合成类聚季铵盐种类较多, 多为阳离子单体的均聚或阳离子单体与其它可聚合单体之间的二元甚至多元共聚。

如果对我们的产品感兴趣,欢迎联系我司业务咨询或索样,谢谢~
E
N
D
想了解更多行业资讯,欢迎关注广州雕龄微信公众号或抖音号(
92693368496)

联系方式:
传真FAX:020-31477707
电话TEL:020-31477707
黄家强13922452249(同微信) 黄川17819777235(同微信)王华瑞15015413933(同微信)
地址:广州市白云区民营科技园科泰二路13-19号
高新区产业创新园6号楼701

