无ZPT时代,正式来临
中检院为完善化妆品技术标准,发布公开征求18项化妆品标准意见的通知,其中附件9明确“拟将吡硫鎓锌(ZPT,INCI名Zinc Pyrithione )列入《化妆品禁用原料目录》”,征求意见截止至2025年10月9日。
调整后,与欧盟相关规定一致,标志着我国化妆品监管迈向更注重长远安全与生态协调的新阶段。
ZPT作为经典去屑成分,对“马拉色菌”杀灭效果显著,且技术应用成熟,在国内洗护市场占据重要地位。然而,此次调整向“无ZPT”转型,无疑将对产业链带来显著影响。
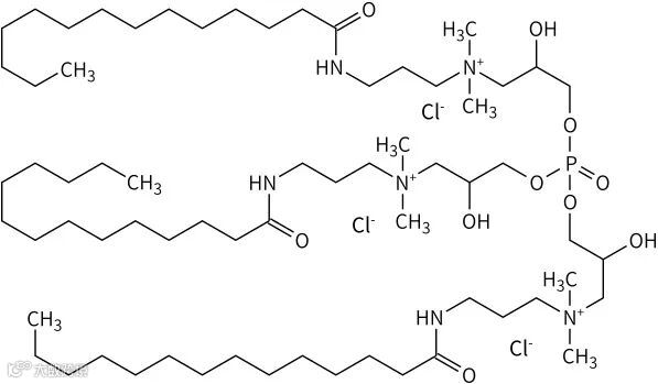
广州雕龄新材料有限公司的植物源仿生磷脂PTM,INCI:肉豆蔻酰胺丙基 PG-二甲基氯化铵磷酸酯,它可与OCT等去屑成分复配,增强去屑及抗菌效果,减少传统防腐剂用量,还能赋予产品柔滑肤感与柔顺亮泽效果,助力企业重构配方,应对产业链变化,满足新规要求。
点击可查看完整视频
PTM
INCI:肉豆蔻酰胺丙基 PG-二甲基氯化铵磷酸酯
专利申请号:202311484057.9
外观Appearance:无色至淡黄色粘稠液体
活性物Active Content %:35.0-37.0
氯化钠Sodium Chloride%:5.0-6.0
PH值PHValue(10%solution):4.0-7.0
溶剂(水)/Alcohol (water):58.0-59.0
游离脂肪酸:≤1.0
游离胺:≤1.0
欢迎咨询索样
仿生磷脂 PTM,INCI:肉豆蔻酰胺丙基 PG - 二甲基氯化铵磷酸酯,是一种以椰子油为天然来源的仿生磷脂复合物,核心优势为 “去屑增效+协同防腐+温和性”。

从结构来看,PTM是由C12-C14的长链烷基季铵盐基团链接着磷脂基团的化合物,而这个C12-C14的烷基结构季铵盐自带杀菌效果,从而使整个化合物具有杀菌的功效,尤其对马拉色菌具有杀灭抑制作用显著,即PTM具有去屑功效。
产品特性
为什么选择PTM?
产品用量
市场应用案例
广州雕龄,乙未之夏,起于羊城,是一家专营国产原材料的成长型企业,历时近十载,已建立一套完整的自主研发、采购、生产和销售体系,拥有国内系列最全的季铵盐产品研发及生产线。公司专耕日化,主营洗护阳离子,打造了一系列符合行业发展需求的优势产品,同时基于成熟的研发积累,能满足广大客户产品差异化定制需求。
广州雕龄于2024年与科莱恩丰益达成深度合作,为公司实现上游原料供应及技术保障,进一步把控产品品质,提升开发水平,建立了更坚实的基础。立足新的起点,恰逢百年未有之大变局,我们深感百业千行,国产化已是不可阻挡之大趋势。今天,国产化替代的释义已从填补空白,发展到铸就优势,各行业都在涌动。在这个充满机遇和挑战的转折点,广州雕龄,已经做好准备,我们愿携手持续深耕之广大同仁,为日化行业国产化代言,为迎接大势而努力奋进!
▻▻▻
电话TEL:020-31477707
邮箱Email: info@dioline.com
地址:广州市白云区民营科技园科泰二路13-19号高新区产业创新园6号楼701
洗护阳离子专家

